
Date Issued: 30
Septemer 2013
Latest version:
http://www.imsglobal.org/lis/
IPR and
Distribution Notices
Recipients of
this document are requested to submit, with their comments, notification of any
relevant patent claims or other intellectual property rights of which they may
be aware that might be infringed by any implementation of the specification set
forth in this document, and to provide supporting documentation.
IMS takes no
position regarding the validity or scope of any intellectual property or other
rights that might be claimed to pertain to the implementation or use of the
technology described in this document or the extent to which any license under
such rights might or might not be available; neither does it represent that it
has made any effort to identify any such rights. Information on IMS’s
procedures with respect to rights in IMS specifications can be found at the IMS
Intellectual Property Rights web page: http://www.imsglobal.org/ipr/imsipr_policyFinal.pdf.
Copyright ©
2013 IMS Global Learning Consortium. All Rights Reserved.
Use of this
specification to develop products or services is governed by the license with
IMS found on the IMS website: http://www.imsglobal.org/license.html.
Permission is
granted to all parties to use excerpts from this document as needed in
producing requests for proposals.
The limited
permissions granted above are perpetual and will not be revoked by IMS or its
successors or assigns.
THIS
SPECIFICATION IS BEING OFFERED WITHOUT ANY WARRANTY WHATSOEVER, AND IN
PARTICULAR, ANY WARRANTY OF NONINFRINGEMENT IS EXPRESSLY DISCLAIMED. ANY USE OF
THIS SPECIFICATION SHALL BE MADE ENTIRELY AT THE IMPLEMENTER'S OWN RISK, AND
NEITHER THE CONSORTIUM, NOR ANY OF ITS MEMBERS OR SUBMITTERS, SHALL HAVE ANY
LIABILITY WHATSOEVER TO ANY IMPLEMENTER OR THIRD PARTY FOR ANY DAMAGES OF ANY
NATURE WHATSOEVER, DIRECTLY OR INDIRECTLY, ARISING FROM THE USE OF THIS
SPECIFICATION.
c.
Nomenclature
d.
References
a.
Data for the Servce Operations
.
Overview
a.
Messages
This document
is a part of the IMS Global Course Management Service (CMS) v1.0.1 specification.
The binding details how the Course Management Service Information Model is
realised as a Web Service; in the form of a Web Services Description Language
(WSDL) file. The CMS binding is contained in a set of WSDL, XSD and vocabulary
files. The vocabulary files are instances of the IMS Vocabulary Definition
Exchange specification [VDEX, 04a], [VDEX, 04b]. The IMS Global Learning Information Services
(LIS) Best Practice and Implementation Guide [LIS, 13b]
provides non-normative guidance on how to use the Binding and Information
Model. For a conceptual overview of the LIS Specification, please see the
overall services description [LIS, 13a]. For a
discussion of potential applications, see the Best Practice Guide.
The IMS Global CMS
WSDL Binding v1.0 is used in conjunction with the following documents:
This WSDL
binding takes the Course Management Service Information Model and produces an
encoding of that description in WSDL. This WSDL binding is generated as
recommended by the IMS Global General Web Services documents [GWS,
06a], [GWS, 06b]. The WSDL is created using the
IMS Global Binding Auto-generation Tool-kit (I-BAT) [I-BAT,
06].
The structure
of this document is:
|
2. Platform Specific Model of the Binding |
The description platform specific models in the form of the IMS
GLC UML-Profile service/data models representation of the IMS Global CMS
specification information model. This representation is used by the IMS Global
I-BAT tool to auto-generate the corresponding WSDL/XSDs; |
|
3. Application of the Binding Guidelines |
Explanation of how the platform specific model is realised as
the WSDL/XSD binding. This addresses how the information model is realised as
a Web Service; |
|
4. WSDL File Documentation |
The description of the Web Services used to realise the service
model components of the binding. This part of the binding document was
created using the schema documentation tool provided as part of the Oxygen
12.2 product; |
|
5. XSD File Documentation |
The description of the elements used within the data model
components of the binding. This part of the binding document was created
using the schema documentation tool provided as part of the Oxygen 12.2
product; |
|
6. Vocabulary Binding Using VDEX Instances |
Contains the description of how the set of external vocabulary
files realised as VDEX files; |
|
Appendix A - Listing of the WSDL Files |
This is the full listing of the CMS WSDL files; |
|
Appendix B - Listing of the XSD Files |
This is the full listing of the CMS XSD files; |
|
Appendix C - Vocabulary VDEX Instance File Listings |
This is the full listing of the set of external vocabulary VDEX
instance files; |
|
Appendix D - Examples SOAP Messages |
Examples of the SOAP messages that are exchanged to realise the
service. |
|
BDEMS |
Bulk Data Exchnage Management Service |
|
CMS |
Course Management Service |
|
HTTP |
HyperText Transfer Protocol |
|
I-BAT |
IMS Global Binding Auto-generation Tool-kit |
|
IMS Global |
IMS Global Learning Consortium |
|
LIS |
Learning Information Services |
|
MDA |
Model Driven Architecture |
|
PIM |
Protocol Independent Model |
|
PSM |
Platform Specific Model |
|
UML |
Unified Modelling Language |
|
VDEX |
Vocabulary Definition Exchange |
|
W3C |
World Wide Web Consortium |
|
WSDL |
Web Services Description Language |
|
XMI |
XML Meta-data Interchange |
|
XML |
Extensible Mark-up Language |
|
XSD |
XML Schema Definition |
|
XSL |
Extensible Stylesheet Language |
|
XSLT |
XSL Transformations |
|
IMS Global Course Management Services Information Model
Specification v1.0.1 Final Release, L.Feng, B.Lee and C.Smythe, IMS
Global Learning Consortium, September 2013. |
|
|
IMS Global General Web Services Base Profile Specification Final
Release v1.0, C.Schroeder, J.Simon and C.Smythe, IMS Global Learning
Consortium, January 2006. |
|
|
IMS Global General Web Services WSDL Binding Guidelines Final
Release v1.0, C.Schroeder, J.Simon and C.Smythe, IMS Global Learning
Consortium, January 2006. |
|
|
IMS Binding Auto-generation Toolkit Manual v1.0, C.Smythe, IMS
Global Learning Consortium, July 2006. |
|
|
IMS Global Learning Information Services Specification v2.0.1 Final
Release , L.Feng, B.Lee and C.Smythe, IMS Global Learning Consortium,
September 2013. |
|
|
IMS Global Learning Information Services Best Practice and
Implementation Guide v2.0.1 Final Release, L.Feng, B.Lee and C.Smythe, IMS
Global Learning Consortium, September 2013. |
|
|
[SDN11, 06] |
IMS Global Specification Note 11: Vocabulary Definition, Registration
& Maintenance Procedures, C.Smythe, IMS Global Learning Consortium,
October 2006. |
|
IMS Vocabulary Definition Exchange Information Model
Specification Final Release v1.0, A.Cooper, IMS Global Learning Consortium,
February 2004. |
|
|
IMS Vocabulary Definition Exchange XML Binding Specification
Final Release v1.0, A.Cooper, IMS Global Learning Consortium, February
2004. |
Figure 2.1 is
the PSM of the service group model description for the CMS. This information is
used to establish the mapping to the binding flavors of WSDL.

Figure 2.1 The PSM representation of the
service group model description for the CMS.
Figure 2.2 is
the PSM of the service model description for the CMS. The PSM is derived from
the Platform Independent Model that was documented within the information model
for the CMS specification [CMS, 13].

Figure 2.2 The PSM representation of the
service model description for the CMS.
The data model
for the service opertaions is shown in Figure 2.3 and 2.4. Figure 2.3 shows the
data models for the set of parameters. Figure 2.4 is the data model for the
Status Information and other WSDL-specific binding data structures.

Figure 2.3 The PSM representation of the
parameters data model description for the CMS.

Figure 2.4 The PSM representation of the
status information data model description for the CMS.
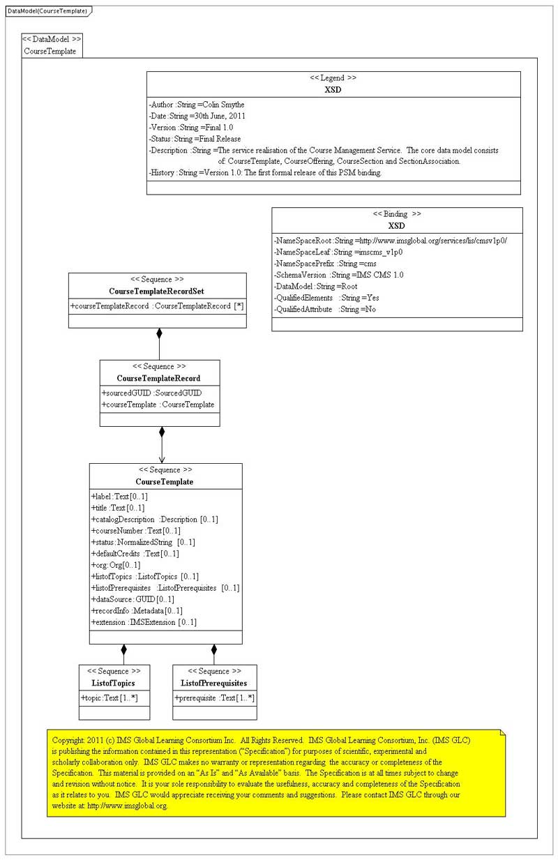
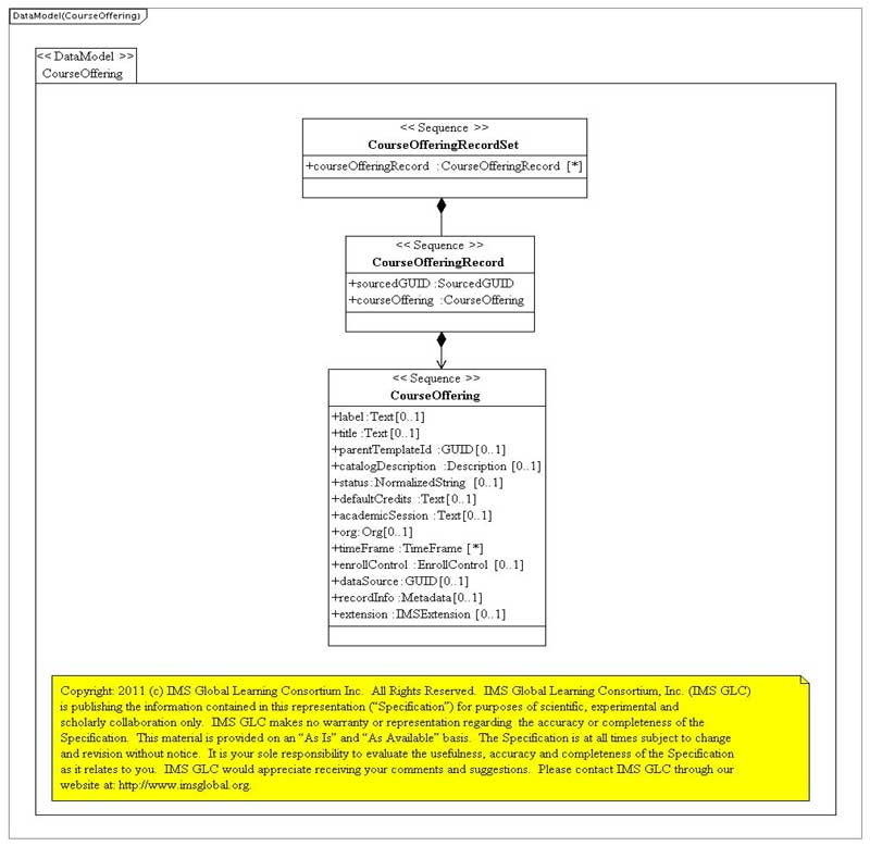
The PSM for the
Course data models are shown in Figures 2.5, 2.6, 2.7, 2.8 and 2.9. Figure 2.5
is the CourseTemplate data model, Figure 2.6 is the CourseOffering data model,
Figure 2.7 is the CourseSection data model, Figure 2.8 is the
SectionAssociation data model and Figure 2.9 contains the set of common data
model classes.

Figure 2.5 The PSM representation of the
CourseTemplate data model description for the CMS.

Figure 2.6 The PSM representation of the
CourseOffering data model description for the CMS.

Figure 2.7 The PSM representation of the
CourseSection data model description for the CMS.

Figure 2.8 The PSM representation of the
SectionAssociation data model description for the CMS.

Figure 2.9 The PSM representation of the
common data models description for the CMS.
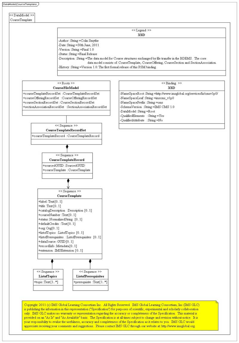
The PSM for the
file-based Course data models are shown in Figures 2.10, 2.11, 2.12, 2.13 and
2.14. Figure 2.10 is the CourseTemplateRecord data model, Figure 2.11 is the
CourseOfferingRecord data model, Figure 2.12 is the CourseSectionRecord data
model, Figure 2.13 is the SectionAssociationRecord data model and Figure 2.14
contains the set of common data model classes.

Figure 2.10 The PSM representation of the
CourseTemplateRecord data model description for file storage in the CMS.

Figure 2.11 The PSM representation of the
CourseOfferingRecord data model description for file storage in the CMS.

Figure 2.12 The PSM representation of the
CourseSectionRecord data model description for file storage in the CMS.

Figure 2.13 The PSM representation of the
SectionAssociationRecord data model description for file storage in the CMS.

Figure 2.14 The PSM representation of the
common data model description for file storage in the CMS.
The WSDL/XSD
bindings have been generated using the methodology documented in [GWS 06a] and [GWS, 06b]. Only
the synchronous service binding has been created. The binding files are
available in three forms:
It is
recommended that only the combined form is used (many WSDL-based code
generation tools do not process the 'import' instructions).
The mapping
between the PIM and PSM descriptions is detailed in Table 3.1.
Table 3.1 Mapping between the PIM, PSM and XSD
descriptions for the data models.
|
PSM Reference |
PIM Reference |
XSD Reference |
||||
|
Name |
UML Type |
Figure |
Type |
Table |
Name |
Type |
|
CourseTemplateRecordSet |
Class |
2.5 |
– |
– |
CourseTemplateRecordSet.Type |
ComplexType |
|
Attribute |
2.5 |
CourseTemplateRecord |
– |
courseTemplateRecord |
Element |
|
CourseTemplateRecord |
Class |
2.5 |
– |
5.2 |
CourseTemplateRecord.Type |
ComplexType |
|
Attribute |
2.5 |
SourcedGUID |
5.3 |
sourcedId |
Element |
|
Attribute |
2.5 |
CourseTemplate |
– |
courseTemplate |
Element |
|
SourcedGUID |
Class |
2.5 |
– |
5.107 |
SourcedGUID.Type |
ComplexType |
|
Attribute |
2.5 |
NormalizedString |
5.108 |
refAgentInstanceId |
Element |
|
Attribute |
2.5 |
SourcedId |
5.109 |
sourcedId |
Element |
|
CourseTemplate |
Class |
2.5 |
– |
5.10 |
CourseTemplate.Type |
ComplexType |
|
Attribute |
2.5 |
Text |
5.11 |
label |
Element |
|
Attribute |
2.5 |
Text |
5.12 |
title |
Element |
|
Attribute |
2.5 |
Description |
5.13 |
catalogDescription |
Element |
|
Attribute |
2.5 |
Text |
5.14 |
courseNumber |
Element |
|
Attribute |
2.6 |
External Vocabulary |
5.15 |
status |
Element |
|
Attribute |
2.5 |
Text |
5.16 |
defaultCredits |
Element |
|
Attribute |
2.5 |
Org |
5.17 |
org |
Element |
|
Attribute |
2.5 |
ListofTopics |
5.18 |
listofTopics |
Element |
|
Attribute |
2.5 |
ListofPrerequisites |
5.19 |
listofPrerequisites |
Element |
|
Attribute |
2.5 |
GUID |
5.20 |
dataSource |
Element |
|
Attribute |
2.5 |
Metadata |
5.21 |
recordInfo |
Element |
|
Attribute |
2.5 |
IMSExtension |
5.22 |
extension |
Element |
|
ListofPrerequisites |
Class |
2.5 |
– |
5.23 |
ListofPrerequisites.Type |
ComplexType |
|
Attribute |
2.5 |
Text |
5.24 |
prerequisite |
Element |
|
ListofTopics |
Class |
2.5 |
– |
5.25 |
ListofTopics.Type |
ComplexType |
|
Attribute |
2.5 |
Text |
5.26 |
topic |
Element |
|
CourseOfferingRecordSet |
Class |
2.6 |
– |
– |
CourseOfferingRecordSet.Type |
ComplexType |
|
Attribute |
2.6 |
CourseOfferingRecord |
– |
courseOfferingRecord |
Element |
|
CourseOfferingRecord |
Class |
2.6 |
– |
5.4 |
CourseOfferingRecord.Type |
ComplexType |
|
Attribute |
2.5 |
SourcedGUID |
5.5 |
sourcedId |
Element |
|
Attribute |
2.6 |
CourseOffering |
– |
courseOffering |
Element |
|
CourseOffering |
Class |
2.6 |
– |
5.27 |
CourseOffering.Type |
ComplexType |
|
Attribute |
26 |
Text |
5.28 |
label |
Element |
|
Attribute |
2.6 |
Text |
5.29 |
title |
Element |
|
Attribute |
2.6 |
GUID |
5.30 |
parentTemplateId |
Element |
|
Attribute |
2.6 |
Description |
5.31 |
catalogDescription |
Element |
|
Attribute |
2.6 |
Text |
5.32 |
defaultCredits |
Element |
|
Attribute |
2.6 |
External Vocabulary |
5.33 |
status |
Element |
|
Attribute |
2.6 |
External Vocabulary |
5.34 |
academicSession |
Element |
|
Attribute |
2.6 |
Org |
5.35 |
org |
Element |
|
Attribute |
2.6 |
TimeFrame |
5.36 |
timeFrame |
Element |
|
Attribute |
2.6 |
EnrollControl |
5.37 |
enrollControl |
Element |
|
Attribute |
2.6 |
GUID |
5.38 |
dataSource |
Element |
|
Attribute |
2.6 |
Metadata |
5.39 |
recordInfo |
Element |
|
Attribute |
2.6 |
IMSExtension |
5.40 |
extension |
Element |
|
CourseSectionRecordSet |
Class |
2.7 |
– |
– |
CourseOfferingRecordSet.Type |
ComplexType |
|
Attribute |
2.7 |
CourseSectionRecord |
– |
courseSectionRecord |
Element |
|
CourseSectionRecord |
Class |
2.7 |
– |
5.6 |
CourseSectionRecord.Type |
ComplexType |
|
Attribute |
2.5 |
SourcedGUID |
5.7 |
sourcedId |
Element |
|
Attribute |
2.7 |
CourseSection |
– |
courseSection |
Element |
|
CourseSection |
Class |
2.7 |
– |
5.41 |
CourseSection.Type |
ComplexType |
|
Attribute |
2.7 |
Text |
5.42 |
label |
Element |
|
Attribute |
2.7 |
Text |
5.43 |
title |
Element |
|
Attribute |
2.7 |
GUID |
5.44 |
parentOfferingId |
Element |
|
Attribute |
2.7 |
Description |
5.45 |
catalogDescription |
Element |
|
Attribute |
2.7 |
External Vocabulary |
5.46 |
status |
Element |
|
Attribute |
2.7 |
Text |
5.47 |
defaultCredits |
Element |
|
Attribute |
2.7 |
External Vocabulary |
5.48 |
status |
Element |
|
Attribute |
2.7 |
Integer |
5.49 |
maxNumberofStudents |
Element |
|
Attribute |
2.7 |
Integer |
5.50 |
numberofStudents |
Element |
|
Attribute |
2.7 |
External Vocabulary |
5.51 |
academicSession |
Element |
|
Attribute |
2.7 |
Org |
5.52 |
org |
Element |
|
Attribute |
2.7 |
TimeFrame |
5.53 |
timeFrame |
Element |
|
Attribute |
2.7 |
EnrollControl |
5.54 |
enrollControl |
Element |
|
Attribute |
2.7 |
Text |
5.55 |
locaton |
Element |
|
Attribute |
2.7 |
Text |
5.56 |
locaton |
Element |
|
Attribute |
2.7 |
Text |
5.57 |
locaton |
Element |
|
Attribute |
2.7 |
GUID |
5.58 |
dataSource |
Element |
|
Attribute |
2.7 |
Metadata |
5.59 |
recordInfo |
Element |
|
Attribute |
2.7 |
IMSExtension |
5.60 |
extension |
Element |
|
SectionAssociationRecordSet |
Class |
2.8 |
– |
– |
CourseOfferingRecordSet.Type |
ComplexType |
|
Attribute |
2.8 |
SectionAssociationRecord |
– |
sectionAssociationRecord |
Element |
|
SectionAssociationRecord |
Class |
2.8 |
– |
5.8 |
CourseSectionAssociationRecord.Type |
ComplexType |
|
Attribute |
2.5 |
SourcedGUID |
5.9 |
sourcedId |
Element |
|
Attribute |
2.8 |
SectionAssociation |
– |
sectionAssociation |
Element |
|
SectionAssociation |
Class |
2.8 |
– |
5.61 |
SectionAssociation.Type |
ComplexType |
|
Attribute |
2.8 |
Text |
5.62 |
label |
Element |
|
Attribute |
2.8 |
Text |
5.63 |
title |
Element |
|
Attribute |
2.8 |
External Vocabulary |
5.64 |
status |
Element |
|
Attribute |
2.8 |
ListofCourseSectionIds |
5.65 |
courseSectionIdList |
Element |
|
Attribute |
2.8 |
GUID |
5.66 |
dataSource |
Element |
|
Attribute |
2.8 |
Metadata |
5.67 |
recordInfo |
Element |
|
Attribute |
2.8 |
IMSExtension |
5.68 |
extension |
Element |
|
ListofCourseSectionIds |
Class |
2.8 |
– |
5.69 |
ListofCourseSectionIds.Type |
ComplexType |
|
Attribute |
2.8 |
GUID |
5.70 |
courseSectionId |
Element |
|
EnrollControll |
Class |
2.9 |
– |
5.76 |
EnrollControll.Type |
ComplexType |
|
Attribute |
2.9 |
Boolean |
5.77 |
enrollAccept |
Element |
|
Attribute |
2.9 |
Boolean |
5.78 |
enrollAllowed |
Element |
|
Org |
Class |
2.9 |
– |
5.71 |
Org.Type |
ComplexType |
|
Attribute |
2.9 |
Text |
5.72 |
orgName |
Element |
|
Attribute |
2.9 |
Text |
5.73 |
orgUnit |
Element |
|
Attribute |
2.9 |
Text |
5.74 |
type |
Element |
|
Attribute |
2.9 |
Text |
5.75 |
id |
Element |
|
TimeFrame |
Class |
2.9 |
– |
5.79 |
TimeFrame.Type |
ComplexType |
|
Attribute |
2.9 |
DateTime |
5.80 |
begin |
Element |
|
Attribute |
2.9 |
DateTime |
5.81 |
end |
Element |
|
Attribute |
2.9 |
Boolean |
5.82 |
restrict |
Element |
|
Attribute |
2.9 |
Text |
5.83 |
adminPeriod |
Element |
|
Description |
Class |
2.9 |
– |
5.84 |
Description.Type |
ComplexType |
|
Attribute |
2.9 |
Text |
5.85 |
shortDescription |
Element |
|
Attribute |
2.9 |
Text |
5.86 |
longDescription |
Element |
|
Attribute |
2.9 |
FullDescription |
5.87 |
fullDescription |
Element |
|
FullDescription |
Class |
2.9 |
– |
5.88 |
FullDescription.Type |
ComplexType |
|
Attribute |
2.9 |
Enumerated |
5.89 |
mediamode |
Element |
|
Attribute |
2.9 |
Enumerated |
5.90 |
contentRefType |
Element |
|
Attribute |
2.9 |
NormailzedString |
5.91 |
mimeType |
Element |
|
Attribute |
2.9 |
Text |
5.92 |
descriptionText |
Element |
|
Metadata |
Class |
2.9 |
– |
5.95 |
Metadata.Type |
ComplexType |
|
Attribute |
2.9 |
AnyURI |
5.96 |
metadataNameVocabulary |
Element |
|
Attribute |
2.9 |
AnyURI |
5.97 |
metadataTypeVocabulary |
Element |
|
Attribute |
2.9 |
ExtensionField |
5.98 |
metadataField |
Element |
|
IMSExtension |
Class |
2.9 |
– |
5.100 |
IMSExtension.Type |
ComplexType |
|
Attribute |
2.9 |
AnyURI |
5.101 |
extensionNameVocabulary |
Element |
|
Attribute |
2.9 |
AnyURI |
5.102 |
extensionTypeVocabulary |
Element |
|
Attribute |
2.9 |
ExtensionField |
TBD |
extensionField |
Element |
|
ExtensionField |
Class |
2.9 |
– |
5.103 |
ExtensionField.Type |
ComplexType |
|
Attribute |
2.9 |
NormalizedString |
5.104 |
fieldName |
Element |
|
Attribute |
2.9 |
NormalizedString |
5.105 |
fieldType |
Element |
|
Attribute |
2.9 |
NormalizedString |
5.106 |
fieldValue |
Element |
|
Text |
Class |
2.9 |
– |
5.93 |
Text.Type |
ComplexType |
|
Attribute |
2.9 |
NormailzedString |
5.94 |
language |
Element |
|
Attribute |
2.9 |
String |
5.95 |
textString |
Element |
|
imsx_StatusInfo |
Class |
2.4 |
– |
See IMS GWSv1.0 |
imsx_StatusInfo.Type |
ComplexType |
|
Attribute |
2.4 |
n/a |
See IMS GWSv1.0 |
imsx_codeMajor |
Element |
|
Attribute |
2.4 |
n/a |
See IMS GWSv1.0 |
imsx_severity |
Element |
|
Attribute |
2.4 |
n/a |
See IMS GWSv1.0 |
imsx_messageRefIdentifier |
Element |
|
Attribute |
2.4 |
n/a |
See IMS GWSv1.0 |
imsx_operationRefIdentifier |
Element |
|
Attribute |
2.4 |
n/a |
See IMS GWSv1.0 |
imsx_description |
Element |
|
Attribute |
2.4 |
n/a |
See IMS GWSv1.0 |
imsx_codeMinor |
Element |
|
imsx_CodeMinor |
Class |
2.4 |
– |
See IMS GWSv1.0 |
imsx_CodeMinor.Type |
ComplexType |
|
Attribute |
2.4 |
n/a |
See IMS GWSv1.0 |
imsx_codeMinorField |
Element |
|
imsx_CodeMinorField |
Class |
2.4 |
– |
See IMS GWSv1.0 |
imsx_CodeMinorField.Type |
ComplexType |
|
Attribute |
2.4 |
n/a |
See IMS GWSv1.0 |
imsx_codeMinorFieldName |
Element |
|
Attribute |
2.4 |
n/a |
See IMS GWSv1.0 |
imsx_codeMinorFieldValue |
Element |
|
imsx_StatusBinding |
Class |
2.4 |
– |
See IMS GWSv1.0 |
imsx_StatusBinding.Type |
ComplexType |
|
Attribute |
2.4 |
n/a |
See IMS GWSv1.0 |
imsx_syncRequestHeaderInfo |
Element |
|
Attribute |
2.4 |
n/a |
See IMS GWSv1.0 |
imsx_syncResponseHeaderInfo |
Element |
|
imsx_RequestHeaderInfo |
Class |
2.4 |
– |
See IMS GWSv1.0 |
imsx_RequestHeaderInfo.Type |
ComplexType |
|
Attribute |
2.4 |
n/a |
See IMS GWSv1.0 |
imsx_version |
Element |
|
Attribute |
2.4 |
n/a |
See IMS GWSv1.0 |
imsx_messageIdentifier |
Element |
|
imsx_ResponseHeaderInfo |
Class |
2.4 |
– |
See IMS GWSv1.0 |
imsx_ResponseHeaderInfo.Type |
ComplexType |
|
Attribute |
2.4 |
n/a |
See IMS GWSv1.0 |
imsx_version |
Element |
|
Attribute |
2.4 |
n/a |
See IMS GWSv1.0 |
imsx_messageIdentifier |
Element |
|
Attribute |
2.4 |
n/a |
See IMS GWSv1.0 |
imsx_statusInfo |
Element |
Key:
I.
The 'PSM Reference' field refers to information in the PSM
description (Section 2 in this document). The sub-fields
are:
a.
Name – the name of the data structure in the PSM and PIM
b.
UML Type – the type of UML construct i.e. either Class or
Attribute
c.
Figure – the reference Figure number in this document;
II.
The 'PIM Reference' field refers to infomation in the CMS
Information Model [CMS, 12]. The sub-fields are:
.
Type – the type of the data structure in the Information Model
a.
Table – the reference number of Tabular description in the
corresponding Information Model document;
III.
The 'XSD Reference' field refers to information in the XSD
descriptions (Section 5 in this document). The sub-fields
are:
.
Name – the name of the field in the XSD(s)
a.
Type – the type of XSD construct i.e. either a ComplexType or
Element.
WSDL file:
"CourseManagementServiceSyncSingle.wsdl"
Target
namespace: http://www.imsglobal.org/services/lis/cms1p0/wsdl11/sync/imscms_v1p0
|
WSDL Definition |
|
|
Name |
Documentation |
|
CourseManagementServiceSyncServices |
WSDL File Information
Services:
CourseManagementService (Synchronous Communications) Author: Colin
Smythe Date: 30 June
2011 Version:
Final 1.0 Status: Final
Release Description:
The Course Management Service. This is a part of the IMS Learning Information
Services (LIS) v2.0 specification. History:
Version 1.0: This is the first formal release of this service. This service
was not a part of the IMS Enterprise Services v1.0. WSDL Binding:
WSDL Binding is based upon the IMS General Web Services Base Profile v1.0 The
IMS GWS Basic Profile is derived from the WS-I Basic Profile v1.1. This
profile uses: WSDL 1.1, SOAP 1.1, HTTP 1.1 and XML 1.0. Extension profiles to
the IMS GWS Base Profile are available but are not supported using this tool
version. License: IPR,
License and Distribution Notices This machine
readable file is derived from IMS Global Learning Consortium (GLC)
specification IMS Global Course Management Service Version 1.0 found at
http://www.imsglobal.org/lis/cmsv1p0/imscmsv1p0_InfoPDv1.pdf and the original
IMS schema binding or code base
http://www.imsglobal.org/lis/cmsv1p0/imscmsv1p0_BindPDv1.html. Recipients of
this document are requested to submit, with their comments, notification of
any relevant patent claims or other intellectual property rights of which
they may be aware that might be infringed by the schema binding contained in
this document. IMS Global takes no position regarding the validity or scope of any
intellectual property or other rights that might be claimed to pertain to the
implementation or use of the technology described in this document or the
extent to which any license under such rights might or might not be
available; neither does it represent that it has made any effort to identify
any such rights. Information
on IMS Globals procedures with respect to rights in IMS Global specifications can
be found at the IMS Global Intellectual Property Rights web page:
http://www.imsglobal.org/ipr/imsipr_policyFinal.pdf. Copyright ©
IMS Global Learning Consortium 1999-2011. All Rights Reserved. License Notice for Users
Users of
products or services that include this document are hereby granted a
worldwide, royalty-free, non-exclusive license to use this document. Distribution Notice for Developers
Developers of
products or services that are not original incorporators of this document and
have not changed this document, that is, are distributing a software product
that incorporates this document as is from a third-party source other than
IMS, are hereby granted permission to copy, display and distribute the
contents of this document in any medium for any purpose without fee or
royalty provided that you include this IPR, License and Distribution notice
in its entirety on ALL copies, or portions thereof. Developers of
products or services that are original incorporators of this document and
wish to provide distribution of this document as is or with modifications and
developers of products and services that are not original incorporators of
this document and have changed this document, are required to register with
the IMS Global community on the IMS Global website as described in the following
two paragraphs:-
The limited
permissions granted above are perpetual and will not be revoked by IMS Global or
its successors or assigns. THIS
SPECIFICATION IS BEING OFFERED WITHOUT ANY WARRANTY WHATSOEVER, AND IN
PARTICULAR, ANY WARRANTY OF NONINFRINGEMENT IS EXPRESSLY DISCLAIMED. ANY USE
OF THIS SPECIFICATION SHALL BE MADE ENTIRELY AT THE IMPLEMENTERS OWN RISK,
AND NEITHER THE CONSORTIUM NOR ANY OF ITS MEMBERS OR SUBMITTERS, SHALL HAVE
ANY LIABILITY WHATSOEVER TO ANY IMPLEMENTER OR THIRD PARTY FOR ANY DAMAGES OF
ANY NATURE WHATSOEVER, DIRECTLY OR INDIRECTLY, ARISING FROM THE USE OF THIS
SPECIFICATION. UML Source File Information
Choreography:
Sync Transport:
SOAPv1.1 Source XSLT File Information
XSL
Generator: UMLtoWSDLTransformv0p9p5.xsl XSLT
Processor: Xalan Release: 1.0
Beta 4 Date: 31st
March, 2011 IMS Global Auto-generation Binding Tool-kit
(I-BAT)
This file was
auto-generated using the IMS Global Binding Auto-generation Tool-kit (I-BAT).
While every attempt has been made to ensure that this tool auto-generates the
files correctly, users should be aware that this is an experimental tool.
Permission is given to make use of this tool. IMS Global makes no claim on the
materials created by third party users of this tool. Details on how to use
this tool are contained in the IMS Global "I-BAT" Documentation
available at the IMS Global web-site. Tool
Copyright: 2005-2011 (c) IMS Global Learning Consortium Inc. All Rights
Reserved. |
|
Services |
||
|
Name |
Documentation |
|
|
||
|
Service : CourseManagementServiceSyncService |
||||
|
Port Name |
Binding |
Address Extensibility |
Documentation |
|
|
CourseTemplateManagerSyncSoapPort |
|
|
||
|
CourseOfferingManagerSyncSoapPort |
|
|
||
|
CourseSectionManagerSyncSoapPort |
|
|
||
|
SectionAssociationManagerSyncSoapPort |
|
|
||
|
Binding : CourseTemplateManagerSyncSoapBinding |
|
|
Port Type |
|
|
Extensibility |
|
|
Operations |
createCourseTemplate, createByProxyCourseTemplate,
deleteCourseTemplate, readCourseTemplate, readAllCourseTemplateIds,
readCourseTemplateIdsFromSavePoint, readCourseTemplates,
readCourseTemplatesFromSavePoint, readCourseOfferingIdsForCourseTemplate,
updateCourseTemplate, replaceCourseTemplate, discoverCourseTemplateIds,
changeCourseTemplateIdentifier, |
|
Binding : CourseOfferingManagerSyncSoapBinding |
|
|
Port Type |
|
|
Extensibility |
|
|
Operations |
createCourseOffering, createByProxyCourseOffering,
createCourseOfferingFromCourseOffering, deleteCourseOffering,
readCourseOffering, readAllCourseOfferingIds,
readCourseOfferingIdsFromSavePoint,
readAllActiveCourseOfferingIdsForAcademicSession,
readCourseSectionIdsForCourseOffering, readCourseOfferings,
readCourseOfferingsFromSavePoint, updateCourseOffering,
updateCourseOfferingStatus, replaceCourseOffering, discoverCourseOfferingIds,
changeCourseOfferingIdentifier, |
|
Binding : CourseSectionManagerSyncSoapBinding |
|
|
Port Type |
|
|
Extensibility |
|
|
Operations |
createCourseSection, createByProxyCourseSection,
createCourseSectionFromCourseSection, deleteCourseSection, readCourseSection,
readAllCourseSectionIds, readCourseSectionIdsFromSavePoint,
readCourseSections, readCourseSectionsFromSavePoint, updateCourseSection,
updateCourseSectionStatus, replaceCourseSection, discoverCourseSectionIds,
changeCourseSectionIdentifier, |
|
Binding : SectionAssociationManagerSyncSoapBinding |
|
|
Port Type |
|
|
Extensibility |
|
|
Operations |
createSectionAssociation, createByProxySectionAssociation,
deleteSectionAssociation, readSectionAssociation,
readAllSectionAssociationIds, readSectionAssociationIdsFromSavePoint,
readSectionAssociations, readSectionAssociationsFromSavePoint,
addCourseSectionId, removeCourseSectionId, updateSectionAssociation,
replaceSectionAssociation, discoverSectionAssociationIds,
changeSectionAssociationIdentifier, |
|
Port Type : CourseTemplateManagerSyncPortType |
||||
|
Operation Name |
Input message |
Output message |
Documentation |
|
|
createCourseTemplate |
The 'createCourseTemplate' operation is responsible for creating
a new CourseTemplate object on the service provider. The service consumer
supplies the 'sourcedId' to be used to identify the new CourseTemplate. |
|||
|
createByProxyCourseTemplate |
|
|||
|
deleteCourseTemplate |
|
|||
|
readCourseTemplate |
|
|||
|
readAllCourseTemplateIds |
|
|||
|
readCourseTemplateIdsFromSavePoint |
|
|||
|
readCourseTemplates |
|
|||
|
readCourseTemplatesFromSavePoint |
|
|||
|
readCourseOfferingIdsForCourseTemplate |
|
|||
|
updateCourseTemplate |
|
|||
|
replaceCourseTemplate |
|
|||
|
discoverCourseTemplateIds |
|
|||
|
changeCourseTemplateIdentifier |
|
|||
|
Port Type : CourseOfferingManagerSyncPortType |
||||
|
Operation Name |
Input message |
Output message |
Documentation |
|
|
createCourseOffering |
|
|||
|
createByProxyCourseOffering |
|
|||
|
createCourseOfferingFromCourseOffering |
|
|||
|
deleteCourseOffering |
|
|||
|
readCourseOffering |
|
|||
|
readAllCourseOfferingIds |
|
|||
|
readCourseOfferingIdsFromSavePoint |
|
|||
|
readAllActiveCourseOfferingIdsForAcademicSession |
|
|||
|
readCourseSectionIdsForCourseOffering |
|
|||
|
readCourseOfferings |
The 'readCourseOffering' operation requests the service provider
to return all of the data stored for the identified set of CourseOffering
objects. |
|||
|
readCourseOfferingsFromSavePoint |
|
|||
|
updateCourseOffering |
|
|||
|
updateCourseOfferingStatus |
|
|||
|
replaceCourseOffering |
|
|||
|
discoverCourseOfferingIds |
|
|||
|
changeCourseOfferingIdentifier |
|
|||
|
Port Type : CourseSectionManagerSyncPortType |
||||
|
Operation Name |
Input message |
Output message |
Documentation |
|
|
createCourseSection |
The 'createCourseSection' operation is responsible for creating
a new CourseSection object on the service provider. The service consumer
supplies the 'sourcedId' to be used to identify the new CourseSection. |
|||
|
createByProxyCourseSection |
The 'createByProxyCourseSection' operation is responsible for
creating a new CourseSection object on the service provider. The service
provider supplies the 'sourcedId' to be used to identify the new
CourseSection. |
|||
|
createCourseSectionFromCourseSection |
|
|||
|
deleteCourseSection |
|
|||
|
readCourseSection |
|
|||
|
readAllCourseSectionIds |
|
|||
|
readCourseSectionIdsFromSavePoint |
|
|||
|
readCourseSections |
The 'readCourseSection' operation requests the service provider
to return all of the data stored for the identified set of CourseSection
objects. |
|||
|
readCourseSectionsFromSavePoint |
|
|||
|
updateCourseSection |
|
|||
|
updateCourseSectionStatus |
|
|||
|
replaceCourseSection |
|
|||
|
discoverCourseSectionIds |
|
|||
|
changeCourseSectionIdentifier |
|
|||
|
Port Type : SectionAssociationManagerSyncPortType |
||||
|
Operation Name |
Input message |
Output message |
Documentation |
|
|
createSectionAssociation |
|
|||
|
createByProxySectionAssociation |
|
|||
|
deleteSectionAssociation |
|
|||
|
readSectionAssociation |
|
|||
|
readAllSectionAssociationIds |
|
|||
|
readSectionAssociationIdsFromSavePoint |
|
|||
|
readSectionAssociations |
|
|||
|
readSectionAssociationsFromSavePoint |
|
|||
|
addCourseSectionId |
|
|||
|
removeCourseSectionId |
|
|||
|
updateSectionAssociation |
|
|||
|
replaceSectionAssociation |
|
|||
|
discoverSectionAssociationIds |
|
|||
|
changeSectionAssociationIdentifier |
|
|||
|
Part Name |
Element |
Type |
Documentation |
|
|
Parameters |
tns:createCourseTemplateRequest |
N/A |
|
|
|
HeaderInfoParameters |
tns:imsx_syncRequestHeaderInfo |
N/A |
|
|
Part Name |
Element |
Type |
Documentation |
|
|
Response |
tns:createCourseTemplateResponse |
N/A |
|
|
|
HeaderInfoResponse |
tns:imsx_syncResponseHeaderInfo |
N/A |
|
|
Part Name |
Element |
Type |
Documentation |
|
|
Parameters |
tns:createByProxyCourseTemplateRequest |
N/A |
|
|
|
HeaderInfoParameters |
tns:imsx_syncRequestHeaderInfo |
N/A |
|
|
Part Name |
Element |
Type |
Documentation |
|
|
Response |
tns:createByProxyCourseTemplateResponse |
N/A |
|
|
|
HeaderInfoResponse |
tns:imsx_syncResponseHeaderInfo |
N/A |
|
|
Part Name |
Element |
Type |
Documentation |
|
|
Parameters |
tns:deleteCourseTemplateRequest |
N/A |
|
|
|
HeaderInfoParameters |
tns:imsx_syncRequestHeaderInfo |
N/A |
|
|
Part Name |
Element |
Type |
Documentation |
|
|
Response |
tns:deleteCourseTemplateResponse |
N/A |
|
|
|
HeaderInfoResponse |
tns:imsx_syncResponseHeaderInfo |
N/A |
|
|
Part Name |
Element |
Type |
Documentation |
|
|
Parameters |
tns:readCourseTemplateRequest |
N/A |
|
|
|
HeaderInfoParameters |
tns:imsx_syncRequestHeaderInfo |
N/A |
|
|
Part Name |
Element |
Type |
Documentation |
|
|
Response |
tns:readCourseTemplateResponse |
N/A |
|
|
|
HeaderInfoResponse |
tns:imsx_syncResponseHeaderInfo |
N/A |
|
|
Part Name |
Element |
Type |
Documentation |
|
|
Parameters |
tns:readAllCourseTemplateIdsRequest |
N/A |
|
|
|
HeaderInfoParameters |
tns:imsx_syncRequestHeaderInfo |
N/A |
|
|
Part Name |
Element |
Type |
Documentation |
|
|
Response |
tns:readAllCourseTemplateIdsResponse |
N/A |
|
|
|
HeaderInfoResponse |
tns:imsx_syncResponseHeaderInfo |
N/A |
|
|
Part Name |
Element |
Type |
Documentation |
|
|
Parameters |
tns:readCourseTemplateIdsFromSavePointRequest |
N/A |
|
|
|
HeaderInfoParameters |
tns:imsx_syncRequestHeaderInfo |
N/A |
|
|
Part Name |
Element |
Type |
Documentation |
|
|
Response |
tns:readCourseTemplateIdsFromSavePointResponse |
N/A |
|
|
|
HeaderInfoResponse |
tns:imsx_syncResponseHeaderInfo |
N/A |
|
|
Part Name |
Element |
Type |
Documentation |
|
|
Parameters |
tns:readCourseTemplatesRequest |
N/A |
|
|
|
HeaderInfoParameters |
tns:imsx_syncRequestHeaderInfo |
N/A |
|
|
Part Name |
Element |
Type |
Documentation |
|
|
Response |
tns:readCourseTemplatesResponse |
N/A |
|
|
|
HeaderInfoResponse |
tns:imsx_syncResponseHeaderInfo |
N/A |
|
|
Part Name |
Element |
Type |
Documentation |
|
|
Parameters |
tns:readCourseTemplatesFromSavePointRequest |
N/A |
|
|
|
HeaderInfoParameters |
tns:imsx_syncRequestHeaderInfo |
N/A |
|
|
Part Name |
Element |
Type |
Documentation |
|
|
Response |
tns:readCourseTemplatesFromSavePointResponse |
N/A |
|
|
|
HeaderInfoResponse |
tns:imsx_syncResponseHeaderInfo |
N/A |
|
|
Part Name |
Element |
Type |
Documentation |
|
|
Parameters |
tns:readCourseOfferingIdsForCourseTemplateRequest |
N/A |
|
|
|
HeaderInfoParameters |
tns:imsx_syncRequestHeaderInfo |
N/A |
|
|
Part Name |
Element |
Type |
Documentation |
|
|
Response |
tns:readCourseOfferingIdsForCourseTemplateResponse |
N/A |
|
|
|
HeaderInfoResponse |
tns:imsx_syncResponseHeaderInfo |
N/A |
|
|
Part Name |
Element |
Type |
Documentation |
|
|
Parameters |
tns:updateCourseTemplateRequest |
N/A |
|
|
|
HeaderInfoParameters |
tns:imsx_syncRequestHeaderInfo |
N/A |
|
|
Part Name |
Element |
Type |
Documentation |
|
|
Response |
tns:updateCourseTemplateResponse |
N/A |
|
|
|
HeaderInfoResponse |
tns:imsx_syncResponseHeaderInfo |
N/A |
|
|
Part Name |
Element |
Type |
Documentation |
|
|
Parameters |
tns:replaceCourseTemplateRequest |
N/A |
|
|
|
HeaderInfoParameters |
tns:imsx_syncRequestHeaderInfo |
N/A |
|
|
Part Name |
Element |
Type |
Documentation |
|
|
Response |
tns:replaceCourseTemplateResponse |
N/A |
|
|
|
HeaderInfoResponse |
tns:imsx_syncResponseHeaderInfo |
N/A |
|
|
Part Name |
Element |
Type |
Documentation |
|
|
Parameters |
tns:discoverCourseTemplateIdsRequest |
N/A |
|
|
|
HeaderInfoParameters |
tns:imsx_syncRequestHeaderInfo |
N/A |
|
|
Part Name |
Element |
Type |
Documentation |
|
|
Response |
tns:discoverCourseTemplateIdsResponse |
N/A |
|
|
|
HeaderInfoResponse |
tns:imsx_syncResponseHeaderInfo |
N/A |
|
|
Part Name |
Element |
Type |
Documentation |
|
|
Parameters |
tns:changeCourseTemplateIdentifierRequest |
N/A |
|
|
|
HeaderInfoParameters |
tns:imsx_syncRequestHeaderInfo |
N/A |
|
|
Part Name |
Element |
Type |
Documentation |
|
|
Response |
tns:changeCourseTemplateIdentifierResponse |
N/A |
|
|
|
HeaderInfoResponse |
tns:imsx_syncResponseHeaderInfo |
N/A |
|
|
Part Name |
Element |
Type |
Documentation |
|
|
Parameters |
tns:createCourseOfferingRequest |
N/A |
|
|
|
HeaderInfoParameters |
tns:imsx_syncRequestHeaderInfo |
N/A |
|
|
Part Name |
Element |
Type |
Documentation |
|
|
Response |
tns:createCourseOfferingResponse |
N/A |
|
|
|
HeaderInfoResponse |
tns:imsx_syncResponseHeaderInfo |
N/A |
|
|
Part Name |
Element |
Type |
Documentation |
|
|
Parameters |
tns:createByProxyCourseOfferingRequest |
N/A |
|
|
|
HeaderInfoParameters |
tns:imsx_syncRequestHeaderInfo |
N/A |
|
|
Part Name |
Element |
Type |
Documentation |
|
|
Response |
tns:createByProxyCourseOfferingResponse |
N/A |
|
|
|
HeaderInfoResponse |
tns:imsx_syncResponseHeaderInfo |
N/A |
|
|
Part Name |
Element |
Type |
Documentation |
|
|
Parameters |
tns:createCourseOfferingFromCourseOfferingRequest |
N/A |
|
|
|
HeaderInfoParameters |
tns:imsx_syncRequestHeaderInfo |
N/A |
|
|
Part Name |
Element |
Type |
Documentation |
|
|
Response |
tns:createCourseOfferingFromCourseOfferingResponse |
N/A |
|
|
|
HeaderInfoResponse |
tns:imsx_syncResponseHeaderInfo |
N/A |
|
|
Part Name |
Element |
Type |
Documentation |
|
|
Parameters |
tns:deleteCourseOfferingRequest |
N/A |
|
|
|
HeaderInfoParameters |
tns:imsx_syncRequestHeaderInfo |
N/A |
|
|
Part Name |
Element |
Type |
Documentation |
|
|
Response |
tns:deleteCourseOfferingResponse |
N/A |
|
|
|
HeaderInfoResponse |
tns:imsx_syncResponseHeaderInfo |
N/A |
|
|
Part Name |
Element |
Type |
Documentation |
|
|
Parameters |
tns:readCourseOfferingRequest |
N/A |
|
|
|
HeaderInfoParameters |
tns:imsx_syncRequestHeaderInfo |
N/A |
|
|
Part Name |
Element |
Type |
Documentation |
|
|
Response |
tns:readCourseOfferingResponse |
N/A |
|
|
|
HeaderInfoResponse |
tns:imsx_syncResponseHeaderInfo |
N/A |
|
|
Part Name |
Element |
Type |
Documentation |
|
|
Parameters |
tns:readAllCourseOfferingIdsRequest |
N/A |
|
|
|
HeaderInfoParameters |
tns:imsx_syncRequestHeaderInfo |
N/A |
|
|
Part Name |
Element |
Type |
Documentation |
|
|
Response |
tns:readAllCourseOfferingIdsResponse |
N/A |
|
|
|
HeaderInfoResponse |
tns:imsx_syncResponseHeaderInfo |
N/A |
|
|
Part Name |
Element |
Type |
Documentation |
|
|
Parameters |
tns:readCourseOfferingIdsFromSavePointRequest |
N/A |
|
|
|
HeaderInfoParameters |
tns:imsx_syncRequestHeaderInfo |
N/A |
|
|
Part Name |
Element |
Type |
Documentation |
|
|
Response |
tns:readCourseOfferingIdsFromSavePointResponse |
N/A |
|
|
|
HeaderInfoResponse |
tns:imsx_syncResponseHeaderInfo |
N/A |
|
|
Part Name |
Element |
Type |
Documentation |
|
|
Parameters |
tns:readAllActiveCourseOfferingIdsForAcademicSessionRequest |
N/A |
|
|
|
HeaderInfoParameters |
tns:imsx_syncRequestHeaderInfo |
N/A |
|
|
Part Name |
Element |
Type |
Documentation |
|
|
Response |
tns:readAllActiveCourseOfferingIdsForAcademicSessionResponse |
N/A |
|
|
|
HeaderInfoResponse |
tns:imsx_syncResponseHeaderInfo |
N/A |
|
|
Part Name |
Element |
Type |
Documentation |
|
|
Parameters |
tns:readCourseSectionIdsForCourseOfferingRequest |
N/A |
|
|
|
HeaderInfoParameters |
tns:imsx_syncRequestHeaderInfo |
N/A |
|
|
Part Name |
Element |
Type |
Documentation |
|
|
Response |
tns:readCourseSectionIdsForCourseOfferingResponse |
N/A |
|
|
|
HeaderInfoResponse |
tns:imsx_syncResponseHeaderInfo |
N/A |
|
|
Part Name |
Element |
Type |
Documentation |
|
|
Parameters |
tns:readCourseOfferingsRequest |
N/A |
|
|
|
HeaderInfoParameters |
tns:imsx_syncRequestHeaderInfo |
N/A |
|
|
Part Name |
Element |
Type |
Documentation |
|
|
Response |
tns:readCourseOfferingsResponse |
N/A |
|
|
|
HeaderInfoResponse |
tns:imsx_syncResponseHeaderInfo |
N/A |
|
|
Part Name |
Element |
Type |
Documentation |
|
|
Parameters |
tns:readCourseOfferingsFromSavePointRequest |
N/A |
|
|
|
HeaderInfoParameters |
tns:imsx_syncRequestHeaderInfo |
N/A |
|
|
Part Name |
Element |
Type |
Documentation |
|
|
Response |
tns:readCourseOfferingsFromSavePointResponse |
N/A |
|
|
|
HeaderInfoResponse |
tns:imsx_syncResponseHeaderInfo |
N/A |
|
|
Part Name |
Element |
Type |
Documentation |
|
|
Parameters |
tns:updateCourseOfferingRequest |
N/A |
|
|
|
HeaderInfoParameters |
tns:imsx_syncRequestHeaderInfo |
N/A |
|
|
Part Name |
Element |
Type |
Documentation |
|
|
Response |
tns:updateCourseOfferingResponse |
N/A |
|
|
|
HeaderInfoResponse |
tns:imsx_syncResponseHeaderInfo |
N/A |
|
|
Part Name |
Element |
Type |
Documentation |
|
|
Parameters |
tns:updateCourseOfferingStatusRequest |
N/A |
|
|
|
HeaderInfoParameters |
tns:imsx_syncRequestHeaderInfo |
N/A |
|
|
Part Name |
Element |
Type |
Documentation |
|
|
Response |
tns:updateCourseOfferingStatusResponse |
N/A |
|
|
|
HeaderInfoResponse |
tns:imsx_syncResponseHeaderInfo |
N/A |
|
|
Part Name |
Element |
Type |
Documentation |
|
|
Parameters |
tns:replaceCourseOfferingRequest |
N/A |
|
|
|
HeaderInfoParameters |
tns:imsx_syncRequestHeaderInfo |
N/A |
|
|
Part Name |
Element |
Type |
Documentation |
|
|
Response |
tns:replaceCourseOfferingResponse |
N/A |
|
|
|
HeaderInfoResponse |
tns:imsx_syncResponseHeaderInfo |
N/A |
|
|
Part Name |
Element |
Type |
Documentation |
|
|
Parameters |
tns:discoverCourseOfferingIdsRequest |
N/A |
|
|
|
HeaderInfoParameters |
tns:imsx_syncRequestHeaderInfo |
N/A |
|
|
Part Name |
Element |
Type |
Documentation |
|
|
Response |
tns:discoverCourseOfferingIdsResponse |
N/A |
|
|
|
HeaderInfoResponse |
tns:imsx_syncResponseHeaderInfo |
N/A |
|
|
Part Name |
Element |
Type |
Documentation |
|
|
Parameters |
tns:changeCourseOfferingIdentifierRequest |
N/A |
|
|
|
HeaderInfoParameters |
tns:imsx_syncRequestHeaderInfo |
N/A |
|
|
Part Name |
Element |
Type |
Documentation |
|
|
Response |
tns:changeCourseOfferingIdentifierResponse |
N/A |
|
|
|
HeaderInfoResponse |
tns:imsx_syncResponseHeaderInfo |
N/A |
|
|
Part Name |
Element |
Type |
Documentation |
|
|
Parameters |
tns:createCourseSectionRequest |
N/A |
|
|
|
HeaderInfoParameters |
tns:imsx_syncRequestHeaderInfo |
N/A |
|
|
Part Name |
Element |
Type |
Documentation |
|
|
Response |
tns:createCourseSectionResponse |
N/A |
|
|
|
HeaderInfoResponse |
tns:imsx_syncResponseHeaderInfo |
N/A |
|
|
Part Name |
Element |
Type |
Documentation |
|
|
Parameters |
tns:createByProxyCourseSectionRequest |
N/A |
|
|
|
HeaderInfoParameters |
tns:imsx_syncRequestHeaderInfo |
N/A |
|
|
Part Name |
Element |
Type |
Documentation |
|
|
Response |
tns:createByProxyCourseSectionResponse |
N/A |
|
|
|
HeaderInfoResponse |
tns:imsx_syncResponseHeaderInfo |
N/A |
|
|
Part Name |
Element |
Type |
Documentation |
|
|
Parameters |
tns:createCourseSectionFromCourseSectionRequest |
N/A |
|
|
|
HeaderInfoParameters |
tns:imsx_syncRequestHeaderInfo |
N/A |
|
|
Part Name |
Element |
Type |
Documentation |
|
|
Response |
tns:createCourseSectionFromCourseSectionResponse |
N/A |
|
|
|
HeaderInfoResponse |
tns:imsx_syncResponseHeaderInfo |
N/A |
|
|
Part Name |
Element |
Type |
Documentation |
|
|
Parameters |
tns:deleteCourseSectionRequest |
N/A |
|
|
|
HeaderInfoParameters |
tns:imsx_syncRequestHeaderInfo |
N/A |
|
|
Part Name |
Element |
Type |
Documentation |
|
|
Response |
tns:deleteCourseSectionResponse |
N/A |
|
|
|
HeaderInfoResponse |
tns:imsx_syncResponseHeaderInfo |
N/A |
|
|
Part Name |
Element |
Type |
Documentation |
|
|
Parameters |
tns:readCourseSectionRequest |
N/A |
|
|
|
HeaderInfoParameters |
tns:imsx_syncRequestHeaderInfo |
N/A |
|
|
Part Name |
Element |
Type |
Documentation |
|
|
Response |
tns:readCourseSectionResponse |
N/A |
|
|
|
HeaderInfoResponse |
tns:imsx_syncResponseHeaderInfo |
N/A |
|
|
Part Name |
Element |
Type |
Documentation |
|
|
Parameters |
tns:readAllCourseSectionIdsRequest |
N/A |
|
|
|
HeaderInfoParameters |
tns:imsx_syncRequestHeaderInfo |
N/A |
|
|
Part Name |
Element |
Type |
Documentation |
|
|
Response |
tns:readAllCourseSectionIdsResponse |
N/A |
|
|
|
HeaderInfoResponse |
tns:imsx_syncResponseHeaderInfo |
N/A |
|
|
Part Name |
Element |
Type |
Documentation |
|
|
Parameters |
tns:readCourseSectionIdsFromSavePointRequest |
N/A |
|
|
|
HeaderInfoParameters |
tns:imsx_syncRequestHeaderInfo |
N/A |
|
|
Part Name |
Element |
Type |
Documentation |
|
|
Response |
tns:readCourseSectionIdsFromSavePointResponse |
N/A |
|
|
|
HeaderInfoResponse |
tns:imsx_syncResponseHeaderInfo |
N/A |
|
|
Part Name |
Element |
Type |
Documentation |
|
|
Parameters |
tns:readCourseSectionsRequest |
N/A |
|
|
|
HeaderInfoParameters |
tns:imsx_syncRequestHeaderInfo |
N/A |
|
|
Part Name |
Element |
Type |
Documentation |
|
|
Response |
tns:readCourseSectionsResponse |
N/A |
|
|
|
HeaderInfoResponse |
tns:imsx_syncResponseHeaderInfo |
N/A |
|
|
Part Name |
Element |
Type |
Documentation |
|
|
Parameters |
tns:readCourseSectionsFromSavePointRequest |
N/A |
|
|
|
HeaderInfoParameters |
tns:imsx_syncRequestHeaderInfo |
N/A |
|
|
Part Name |
Element |
Type |
Documentation |
|
|
Response |
tns:readCourseSectionsFromSavePointResponse |
N/A |
|
|
|
HeaderInfoResponse |
tns:imsx_syncResponseHeaderInfo |
N/A |
|
|
Part Name |
Element |
Type |
Documentation |
|
|
Parameters |
tns:updateCourseSectionRequest |
N/A |
|
|
|
HeaderInfoParameters |
tns:imsx_syncRequestHeaderInfo |
N/A |
|
|
Part Name |
Element |
Type |
Documentation |
|
|
Response |
tns:updateCourseSectionResponse |
N/A |
|
|
|
HeaderInfoResponse |
tns:imsx_syncResponseHeaderInfo |
N/A |
|
|
Part Name |
Element |
Type |
Documentation |
|
|
Parameters |
tns:updateCourseSectionStatusRequest |
N/A |
|
|
|
HeaderInfoParameters |
tns:imsx_syncRequestHeaderInfo |
N/A |
|
|
Part Name |
Element |
Type |
Documentation |
|
|
Response |
tns:updateCourseSectionStatusResponse |
N/A |
|
|
|
HeaderInfoResponse |
tns:imsx_syncResponseHeaderInfo |
N/A |
|
|
Part Name |
Element |
Type |
Documentation |
|
|
Parameters |
tns:replaceCourseSectionRequest |
N/A |
|
|
|
HeaderInfoParameters |
tns:imsx_syncRequestHeaderInfo |
N/A |
|
|
Part Name |
Element |
Type |
Documentation |
|
|
Response |
tns:replaceCourseSectionResponse |
N/A |
|
|
|
HeaderInfoResponse |
tns:imsx_syncResponseHeaderInfo |
N/A |
|
|
Part Name |
Element |
Type |
Documentation |
|
|
Parameters |
tns:discoverCourseSectionIdsRequest |
N/A |
|
|
|
HeaderInfoParameters |
tns:imsx_syncRequestHeaderInfo |
N/A |
|
|
Part Name |
Element |
Type |
Documentation |
|
|
Response |
tns:discoverCourseSectionIdsResponse |
N/A |
|
|
|
HeaderInfoResponse |
tns:imsx_syncResponseHeaderInfo |
N/A |
|
|
Part Name |
Element |
Type |
Documentation |
|
|
Parameters |
tns:changeCourseSectionIdentifierRequest |
N/A |
|
|
|
HeaderInfoParameters |
tns:imsx_syncRequestHeaderInfo |
N/A |
|
|
Part Name |
Element |
Type |
Documentation |
|
|
Response |
tns:changeCourseSectionIdentifierResponse |
N/A |
|
|
|
HeaderInfoResponse |
tns:imsx_syncResponseHeaderInfo |
N/A |
|
|
Part Name |
Element |
Type |
Documentation |
|
|
Parameters |
tns:createSectionAssociationRequest |
N/A |
|
|
|
HeaderInfoParameters |
tns:imsx_syncRequestHeaderInfo |
N/A |
|
|
Part Name |
Element |
Type |
Documentation |
|
|
Response |
tns:createSectionAssociationResponse |
N/A |
|
|
|
HeaderInfoResponse |
tns:imsx_syncResponseHeaderInfo |
N/A |
|
|
Part Name |
Element |
Type |
Documentation |
|
|
Parameters |
tns:createByProxySectionAssociationRequest |
N/A |
|
|
|
HeaderInfoParameters |
tns:imsx_syncRequestHeaderInfo |
N/A |
|
|
Part Name |
Element |
Type |
Documentation |
|
|
Response |
tns:createByProxySectionAssociationResponse |
N/A |
|
|
|
HeaderInfoResponse |
tns:imsx_syncResponseHeaderInfo |
N/A |
|
|
Part Name |
Element |
Type |
Documentation |
|
|
Parameters |
tns:deleteSectionAssociationRequest |
N/A |
|
|
|
HeaderInfoParameters |
tns:imsx_syncRequestHeaderInfo |
N/A |
|
|
Part Name |
Element |
Type |
Documentation |
|
|
Response |
tns:deleteSectionAssociationResponse |
N/A |
|
|
|
HeaderInfoResponse |
tns:imsx_syncResponseHeaderInfo |
N/A |
|
|
Part Name |
Element |
Type |
Documentation |
|
|
Parameters |
tns:readSectionAssociationRequest |
N/A |
|
|
|
HeaderInfoParameters |
tns:imsx_syncRequestHeaderInfo |
N/A |
|
|
Part Name |
Element |
Type |
Documentation |
|
|
Response |
tns:readSectionAssociationResponse |
N/A |
|
|
|
HeaderInfoResponse |
tns:imsx_syncResponseHeaderInfo |
N/A |
|
|
Part Name |
Element |
Type |
Documentation |
|
|
Parameters |
tns:readAllSectionAssociationIdsRequest |
N/A |
|
|
|
HeaderInfoParameters |
tns:imsx_syncRequestHeaderInfo |
N/A |
|
|
Part Name |
Element |
Type |
Documentation |
|
|
Response |
tns:readAllSectionAssociationIdsResponse |
N/A |
|
|
|
HeaderInfoResponse |
tns:imsx_syncResponseHeaderInfo |
N/A |
|
|
Part Name |
Element |
Type |
Documentation |
|
|
Parameters |
tns:readSectionAssociationIdsFromSavePointRequest |
N/A |
|
|
|
HeaderInfoParameters |
tns:imsx_syncRequestHeaderInfo |
N/A |
|
|
Part Name |
Element |
Type |
Documentation |
|
|
Response |
tns:readSectionAssociationIdsFromSavePointResponse |
N/A |
|
|
|
HeaderInfoResponse |
tns:imsx_syncResponseHeaderInfo |
N/A |
|
|
Part Name |
Element |
Type |
Documentation |
|
|
Parameters |
tns:readSectionAssociationsRequest |
N/A |
|
|
|
HeaderInfoParameters |
tns:imsx_syncRequestHeaderInfo |
N/A |
|
|
Part Name |
Element |
Type |
Documentation |
|
|
Response |
tns:readSectionAssociationsResponse |
N/A |
|
|
|
HeaderInfoResponse |
tns:imsx_syncResponseHeaderInfo |
N/A |
|
|
Part Name |
Element |
Type |
Documentation |
|
|
Parameters |
tns:readSectionAssociationsFromSavePointRequest |
N/A |
|
|
|
HeaderInfoParameters |
tns:imsx_syncRequestHeaderInfo |
N/A |
|
|
Part Name |
Element |
Type |
Documentation |
|
|
Response |
tns:readSectionAssociationsFromSavePointResponse |
N/A |
|
|
|
HeaderInfoResponse |
tns:imsx_syncResponseHeaderInfo |
N/A |
|
|
Part Name |
Element |
Type |
Documentation |
|
|
Parameters |
tns:addCourseSectionIdRequest |
N/A |
|
|
|
HeaderInfoParameters |
tns:imsx_syncRequestHeaderInfo |
N/A |
|
|
Part Name |
Element |
Type |
Documentation |
|
|
Response |
tns:addCourseSectionIdResponse |
N/A |
|
|
|
HeaderInfoResponse |
tns:imsx_syncResponseHeaderInfo |
N/A |
|
|
Part Name |
Element |
Type |
Documentation |
|
|
Parameters |
tns:removeCourseSectionIdRequest |
N/A |
|
|
|
HeaderInfoParameters |
tns:imsx_syncRequestHeaderInfo |
N/A |
|
|
Part Name |
Element |
Type |
Documentation |
|
|
Response |
tns:removeCourseSectionIdResponse |
N/A |
|
|
|
HeaderInfoResponse |
tns:imsx_syncResponseHeaderInfo |
N/A |
|
|
Part Name |
Element |
Type |
Documentation |
|
|
Parameters |
tns:updateSectionAssociationRequest |
N/A |
|
|
|
HeaderInfoParameters |
tns:imsx_syncRequestHeaderInfo |
N/A |
|
|
Part Name |
Element |
Type |
Documentation |
|
|
Response |
tns:updateSectionAssociationResponse |
N/A |
|
|
|
HeaderInfoResponse |
tns:imsx_syncResponseHeaderInfo |
N/A |
|
|
Part Name |
Element |
Type |
Documentation |
|
|
Parameters |
tns:replaceSectionAssociationRequest |
N/A |
|
|
|
HeaderInfoParameters |
tns:imsx_syncRequestHeaderInfo |
N/A |
|
|
Part Name |
Element |
Type |
Documentation |
|
|
Response |
tns:replaceSectionAssociationResponse |
N/A |
|
|
|
HeaderInfoResponse |
tns:imsx_syncResponseHeaderInfo |
N/A |
|
|
Part Name |
Element |
Type |
Documentation |
|
|
Parameters |
tns:discoverSectionAssociationIdsRequest |
N/A |
|
|
|
HeaderInfoParameters |
tns:imsx_syncRequestHeaderInfo |
N/A |
|
|
Part Name |
Element |
Type |
Documentation |
|
|
Response |
tns:discoverSectionAssociationIdsResponse |
N/A |
|
|
|
HeaderInfoResponse |
tns:imsx_syncResponseHeaderInfo |
N/A |
|
|
Part Name |
Element |
Type |
Documentation |
|
|
Parameters |
tns:changeSectionAssociationIdentifierRequest |
N/A |
|
|
|
HeaderInfoParameters |
tns:imsx_syncRequestHeaderInfo |
N/A |
|
|
Part Name |
Element |
Type |
Documentation |
|
|
Response |
tns:changeSectionAssociationIdentifierResponse |
N/A |
|
|
|
HeaderInfoResponse |
tns:imsx_syncResponseHeaderInfo |
N/A |
|
The XSD file
documentation has been produced by the Oxygen XML Editing tool.
Click on the
Section header to access this documentation for the data models in the service
description.
Click on the
Section header to access this documentation for the data models for the
exchange of Group objects in an external file.
The
vocabularies in the CMS are:
These
vocabularies are the default set maintained under the IMS Global Vocabulary
Registry [SDN11, 06]. It is the responsibility of
an implementation to ensure that it is using the correct and latest versions of
the vocabulary files. Changes to the default vocabularies are permitted;
this results in the creation of a new vocabulary that should be registered with
IMS Global. As part of a profiling process entirely new vocabularies may be
defined to replace the default set.

Figure 6.1 The PSM representation of the
status vocabulary for the CMS.

Figure 6.2 The PSM representation of the
extension data-type vocabulary for the CMS.
The WSDL bindings are for a Synchronous SOAP
implementation only. The WSDL files, expressed using WSDLv1.1, are:
These files
were generated by the I-BATv0.9.5 tool using the PSM representation described
in Section 2.
The XSD files are:
This file was
generated by the I-BATv0.9.5 tool using the PSM representation described in Section 2. Documentation of the XSDs is supplied in Section 5.
The CMS vocabularies are:
These
vocabularies are each expressed as an instance of the IMS Global Vocabulary Data
Exchange (VDEX) v1.0 specification. Documentation of the vocabulary is supplied
in Section 6. The online versions of these
vocabularies are available in the directory:
http://www.imsglobal.org/vdex/lis/cmsv1p0/.
The set of examples for the SOAP messages are
listed in Tables D.1 (CourseTemplate), D.2 (Course Offering), D.3 (Course
Section) and D.4 (Section Association).
Table D.1 The set of SOAP message
examples for each operation for the CourseTemplate port.
|
Operation Name |
Input (Request) SOAP Message |
Output (Response) SOAP Message |
|
createCourseTemplate |
||
|
createByProxyCourseTemplate |
||
|
deleteCourseTemplate |
||
|
readCourseTemplate |
||
|
readAllCourseTemplateIds |
||
|
readCourseTemplateIdsFromSavePoint |
||
|
readCourseTemplates |
||
|
readCourseTemplatesFromSavePoint |
||
|
readCourseOfferingIdsForCourseTemplate |
||
|
updateCourseTemplate |
||
|
replaceCourseTemplate |
||
|
discoverCourseTemplateIds |
||
|
changeCourseTemplateIdentifier |
Table
D.2 The set of SOAP message examples for each operation for the CourseOffering
port.
|
Operation Name |
Input (Request) SOAP
Message |
Output (Response) SOAP
Message |
|
createCourseOffering |
||
|
createCourseOfferingFromCourseOffering |
||
|
createByProxyCourseOffering |
||
|
deleteCourseOffering |
||
|
readCourseOffering |
||
|
readAllCourseOfferingIds |
||
|
readCourseOfferingIdsFromSavePoint |
||
|
readAllActiveCourseOfferingIdsForAcademicSession |
||
|
readCourseSectionIdsForCourseOffering |
||
|
readCourseOfferings |
||
|
readCourseOfferingsFromSavePoint |
||
|
updateCourseOffering |
||
|
updateCourseOfferingStatus |
||
|
replaceCourseOffering |
||
|
discoverCourseOfferingIds |
||
|
changeCourseOfferingIdentifier |
Table
D.3 The set of SOAP message examples for each operation for the CourseSection
port.
|
Operation Name |
Input (Request) SOAP
Message |
Output (Response) SOAP
Message |
|
createCourseSection |
||
|
createCourseSectionFromCourseSection |
||
|
createByProxyCourseSection |
||
|
deleteCourseSection |
||
|
readCourseSection |
||
|
readAllCourseSectionIds |
||
|
readCourseSectionIdsFromSavePoint |
||
|
readCourseSections |
||
|
readCourseSectionsFromSavePoint |
||
|
updateCourseSection |
||
|
updateCourseSectionStatus |
||
|
replaceCourseSection |
||
|
discoverCourseSectionIds |
||
|
changeCourseSectionIdentifier |
Table
D.4 The set of SOAP message examples for each operation for the
SectionAssociation port.
|
Operation Name |
Input (Request) SOAP
Message |
Output (Response) SOAP
Message |
|
createSectionAssociation |
||
|
createByProxySectionAssociation |
||
|
deleteSectionAssociation |
||
|
readSectionAssociation |
||
|
readAllSectionAssociationIds |
||
|
readSectionAssociationIdsFromSavePoint |
||
|
readSectionAssociations |
||
|
readSectionAssociationsFromSavePoint |
||
|
addCourseSectionId |
||
|
removeCourseSectionId |
||
|
updateSectionAssociation |
||
|
replaceSectionAssociation |
||
|
discoverSectionAssociationIds |
||
|
changeSectionAssociationIdentifier |
|
Title |
IMS Global Course Management Service WSDL/XSD Binding |
|
Editor |
Colin Smythe (IMS Global) |
|
Co-Chairs |
Linda Feng (Oracle), Bill Lee (Desire2learn) |
|
Version |
1.0 |
|
Version Date |
30 Septemer 2013 |
|
Status |
Final Release |
|
Summary |
This document contains the description of the IMS Global Course
Management Service v1.0.1 WSDL/XSD binding. This service is used to exchange
information about Courses. The conceptual data model for a course consists of
Templates, Offerings, Sections and Associations. The business transactions
include the simple create, read, update and delete of the Course data model
for a single instance. This document contains the definition of the
corresponding Web Service based upon SOAP/HTTP messaging. |
|
Revision Information |
Original release. |
|
Purpose |
This document is made available for adoption by the public
community at large. |
|
Document Location |
The following
individuals contributed to the development of this document:
|
Name |
Organization |
|
Kerry Blinco |
DEEWR ( |
|
Kirk Bunte |
SungardHE ( |
|
Angus Chan |
Desire2learn ( |
|
Adam Cooper |
JISC ( |
|
Michael De Ridder |
Desire2Learn ( |
|
Michael Feldstein |
Cengage ( |
|
Linda Feng |
Oracle ( |
|
John Fontaine |
Blackboard ( |
|
Chris Hatton |
Pearson ( |
|
Karen Kuffner |
|
|
Zack Leavitt |
eCollege ( |
|
Bill Lee |
Desire2learn ( |
|
Richard Moon |
SungardHE ( |
|
Phil Nicholls |
Psydev Ltd ( |
|
Mike Parkhill |
Desire2learn ( |
|
Colin Smythe |
IMS Global Learning Consortium, Inc. |
|
Reinhold Staudinger |
Blackboard ( |
|
Nick Terrible |
|
|
Ed Vannatter |
Desire2Learn ( |
|
Jason Zhong |
SungardHE ( |
|
Version No. |
Release Date |
Comments |
|
CMS Final Release 1.0 |
30 June 2011 |
The first formal release of the Final Release version of this
document. |
|
CMS Final Release 1.0.1 |
30 September 2013 |
Corrections |
|
|
|
|
IMS
Global Learning Consortium, Inc. (“IMS Global”) is publishing the information
containedin this document (“Specification”) for purposes of scientific,
experimental, and scholarly collaboration only.
IMS Global makes no warranty or representation
regarding the accuracy or completeness of theSpecification.
This material is provided on an “As Is” and “As
Available” basis.
The Specification is at all times subject to
change and revision without notice.
It is your sole responsibility to evaluate the
usefulness, accuracy, and completeness of the Specification as it relates to
you.
IMS Global would appreciate receiving your comments
and suggestions.
Please contact IMS Global through our website at http://www.imsglobal.org.
Please refer to Document Name: IMS Global CMS v1.0.1 WSDL/XSD
Binding Final Release
Date: 30 September 2013.