
1EdTech Accessible Portable Item Protocol™ (APIP™) Technical Specification for AfA PNPv2.0 Features
Final Specification Version 1.0
Date Issued: 31 March 2014
Latest version: http://www.imsglobal.org/apip/
IPR and Distribution Notices
Recipients of this document are requested to submit, with their comments, notification of any relevant patent claims or other intellectual property rights of which they may be aware that might be infringed by any implementation of the specification set forth in this document, and to provide supporting documentation.
1EdTech draws attention to the fact that it is claimed that compliance with this specification may involve the use of Measured Progress U.S. patent 8,303,309. 1EdTech takes no position concerning the evidence, validity or scope of such patent rights. Measured Progress has assured 1EdTech that it is willing to license patent rights it owns or controls which would necessarily be infringed by any implementation of this specification to those licensees (Members and non-Members alike) desiring to implement this specification. The statement of Measured Progress to such effect has been filed with 1EdTech. Information regarding a Reasonable and Non-Discriminatory - Zero cost (RAND-Z) license may be obtained from Measured Progress at http://www.measuredprogress.org/ipr-apip.
Attention is also drawn to the possibility that some of the elements of this specification may be the subject of patent rights other than those identified above. 1EdTech shall not be responsible for identifying any or all such patent rights. 1EdTech takes no position regarding the validity or scope of any intellectual property or other rights that might be claimed to pertain to the implementation or use of the technology described in this document or the extent to which any license under such rights might or might not be available; neither does it represent that it has made any effort to identify any such rights. Information on 1EdTech's procedures with respect to rights in 1EdTech specifications can be found at the 1EdTech Intellectual Property Rights web page: http://www.imsglobal.org/ipr/imsipr_policyFinal.pdf.
Copyright © 2012-14 1EdTech Consortium. All Rights Reserved.
Use of this specification to develop products or services is governed by the license with 1EdTech found on the 1EdTech website: http://www.imsglobal.org/speclicense.html.
Permission is granted to all parties to use excerpts from this document as needed in producing requests for proposals.
The limited permissions granted above are perpetual and will not be revoked by 1EdTech or its successors or assigns.
THIS SPECIFICATION IS BEING OFFERED WITHOUT ANY WARRANTY WHATSOEVER, AND IN PARTICULAR, ANY WARRANTY OF NONINFRINGEMENT IS EXPRESSLY DISCLAIMED. ANY USE OF THIS SPECIFICATION SHALL BE MADE ENTIRELY AT THE IMPLEMENTER'S OWN RISK, AND NEITHER THE CONSORTIUM, NOR ANY OF ITS MEMBERS OR SUBMITTERS, SHALL HAVE ANY LIABILITY WHATSOEVER TO ANY IMPLEMENTER OR THIRD PARTY FOR ANY DAMAGES OF ANY NATURE WHATSOEVER, DIRECTLY OR INDIRECTLY, ARISING FROM THE USE OF THIS SPECIFICATION.
Public contributions, comments and questions can be posted here: APIP Public Forum
© 2014 1EdTech Consortium, Inc.
All Rights Reserved.
The 1EdTech Logo, Accessible Portable Item Protocol (APIP), and Question and Test Interoperability (QTI) are trademarks of the 1EdTechLearning Consortium, Inc. in the United States and/or other countries.
Documents Name: 1EdTech APIP Technical Specification for AfA PNPv2.0 Features - Revision: 31 March 2014
1 Introduction
1.1 Scope and Context
This document contains the technical specification of the Access For All Personal Needs & Preferences new features created for the Accessible Portable Item Protocol™ (APIP™) Standard [APIP, 14a], [APIP, 14b], [APIP, 14c]. The APIP Standard provides assessment programs and question item developers a data model for standardizing the file format of digital test items. When applied properly, the APIP standards accomplish two important goals. First, the APIP standards allow digital test items to be ported across APIP compliant test item banks. Second, they provide a test delivery interface with all the information and resources required to make a test item accessible for students with a variety of disabilities and special needs.
The APIP standards build on the 1EdTech Question and Test Interoperability™ (QTI™) v2.1 and the 1EdTech Access For All Personal Needs & Preferences (AfA PNP) v2.0 specifications. However, these do not provide all of the functionality required by APIP and so extensions have been created to both specifications. This document details the extensions to the AfA PNP v2.0 Specification in terms of the new information model and the corresponding XML Schema Definition (XSD) binding. The associated best practice examples are presented in [APIP, 14d].
1EdTech strongly encourages its members and the community to provide feedback to continue the evolution and improvement of the APIP standard. To join the 1EdTech developer and conformance certification community focused on APIP and QTI please visit the 1EdTech QTI/APIP Alliance online here: http://www.imsglobal.org/apip/index.html
Public contributions, comments and questions can be posted here: http://www.imsglobal.org/community/forum/categories.cfm?catid=110
1.2 Structure of this Document
The structure of the rest of this document is:
|
2. New Features by the APIP |
An overview of the new features and their relationship to the corresponding baseline 1EdTech specifications; |
|
3. AfA PNP Information model Extension |
The information model description (using the 1EdTech UML platform independent model representation) of the extensions to the AfA PNP v2.0 specification; |
|
4. AfA PNP Extension Binding Description |
The binding description (using the 1EdTech UML platform specific model representation for XSDs) of the extensions to the AfA PNP v2.0 specification; |
|
5. Bulk APIP PNP Exchange Information Model |
The information model description (using the 1EdTech UML platform independent model representation) for the exchange of a set of APIP PNP instances in one instance file; |
|
6. Bulk APIP PNP Exchange Binding Description |
The binding description (using the 1EdTech UML platform specific model representation for XSDs) for the exchange of a set of APIP PNP instances in one instance file; |
|
Appendix A The 1EdTech UML Profile Notation |
An explanation of the notational approach used in describing the new information models. |
1.3 Related Documents
[AfAPNP, 09] 1EdTech Access For All Personal Needs & Preferences Information Model v2.0, R.Schwerdtfeger, M.Rothberg and C.Smythe, Final Release, 1EdTech Consortium Inc., April 2010.
[APIP, 14a] Accessible Portable Item Protocol (APIP) Overview v1.0 Final Specification, G.Driscoll, T.Hoffmann, W.Ostler, M.Russell, M.McKell and C.Smythe, 1EdTech Consortium, Inc., March 2014.
[APIP, 14b] Accessible Portable Item Protocol (APIP) Terms and Definitions v1.0 Final Specification, G.Driscoll, T.Hoffmann, W.Ostler, M.Russell, M.McKell and C.Smythe, 1EdTech Consortium, Inc., March 2014.
[APIP, 14c] Accessible Portable Item Protocol (APIP) v1.0 Technical Specification, Final Specification, G.Driscoll, T.Hoffmann, W.Ostler, M.Russell, M.McKell and C.Smythe, 1EdTech Consortium, Inc., March 2014.
[APIP, 14d] Accessible Portable Item Protocol (APIP) Best Practices and Implementation Guide v1.0 Final Specification, G.Driscoll, T.Hoffmann, W.Ostler, M.Russell, M.McKell and C.Smythe, 1EdTech Consortium, Inc., March 2014.
1.4 Acronyms
AfA PNP Access for All Personal Needs & Preferences
APIP Accessible Portable Item Protocol
CP Content Packaging
DRD Digital Resource Description
HTML Hypertext Mark-up Language
I-BAT 1EdTech Binding Auto-generation Toolkit
IEEE Institution of Electronic & Electrical Engineers
1EdTech 1EdTech Consortium
LOM Learning Object Metadata
PNP Personal Needs & Preferences
PSM Platform Specific Model
QTI Question & Test Interoperability
UML Unified Modeling Language
XML Exchange Mark-up Language
XSD XML Schema Definition
2 New Features Required by APIP
Use of the accessibility content in an Item, Section or Test is triggered by the preference settings for the learner. The 1EdTech AfA PNP specification is the data model that is to be used by an APIP compliant assessment system when it retrieves the user's preferences from a Preferences System. The current AfA PNP v2.0 specification does not support many of the content-specific features defined by APIP for Items. Therefore, a set of APIP extensions must be defined to the AfA PNPv2.0 so that an assessment system can access the information required to configure and render an APIP Item to suit the personal needs and preferences of the learner.
A further new feature is support for the exchange of more than one APIP AfA PNP record in a single XML instance file. This capability is defined using a new information model and binding within which the set of APIP AfA PNP XML instances are name-spaced.
2.1 Extending the AfA PNP Record
2.1.1 Information Model
The new features extend the original AfA PNP v2.0 specification at four points, namely:
• AfA PNP Class: Content - extended using the attribute 'apipContent' for the new class 'APIPContent';
• AfA PNP Class: Control - extended using the attribute 'apipControl' for the new class 'APIPControl';
• AfA PNP Class: Display - extended using the attribute 'apipDisplay' for the new class 'APIPDisplay';
• AfA PNP Class: ScreenEnhancement ' extended using the attribute 'apipScreenEnhancement' for the new class 'APIPScreenEnhancement';
2.1.2 Binding
The relationship between the bindings of the new features with the original specification is shown schematically in Figure 2.1. The new features are realized in their own XSD (shown as the XSD at the base of the diagram). The new XSD is used to extend the functionality of the original XSD (shown as the middle feature in the diagram) and these are used to validate the corresponding data file instances.
This document describes the functionality and development of the new XSD for the personal needs and preferences.

Figure 2.1 Schematic representation of the relationship between the original and new features.
2.2 Support for the Exchange of a Set of AfA PNP Records
The relationship between the bindings for the exchange of more than one APIP AfA PNP records is shown schematically in Figure 2.2.

Figure 2.2 Schematic representation of the relationships for bulk PNP exchange.
The new Bulk PNP XSD is used to collect together the set of APIP PNP records. This requires the identification of the learner who owns the PNP instance to be collated with the PNP record itself. In general, each of the APIP PNP records will be owned by a different learer.
This document describes the functionality and development of the new XSD for the exchange of more than one APIP personal needs and preferences record.
3 AfA PNP Information Model Extension
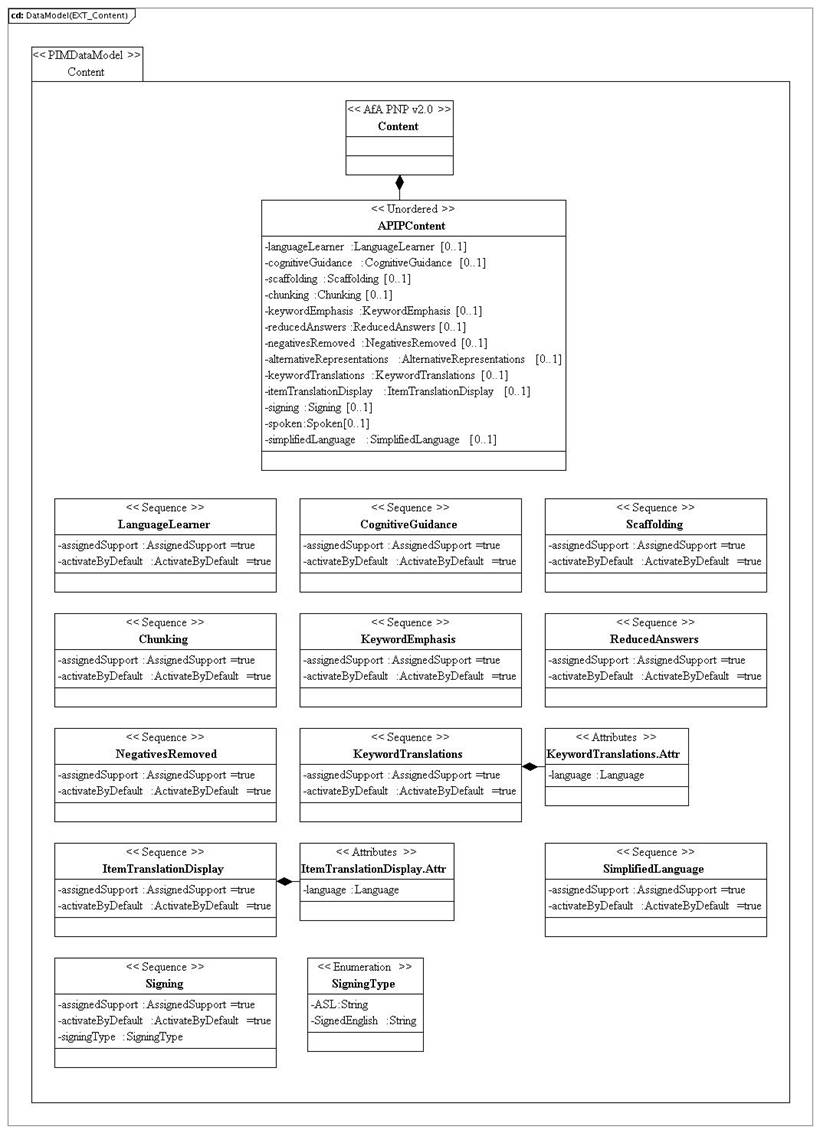
3.1 APIPContent Class
The Platform Independent Model (PIM) for the APIPContent class is shown in Figure 3.1.

Figure 3.1 APIPContent class.
Table 3.1 The 'APIPContent' class.
|
Descriptor |
Definition |
|---|---|
|
Class name |
APIPContent |
|
Class type |
Container (Unordered) |
|
Parents |
Content (see 1EdTech AfA PNP v2.0 specification) |
|
Children |
[ languageLearner, cognitiveGuidance, scaffolding, chunking, keywordEmphasis, reducedAnswers, negativesRemoved, alternativeRepresentations, keywordTranslations, itemTranslationDisplay, signing, spoken, simplifiedLanguage ], unordered |
|
Description |
This is the container for the set of APIP extensions to the Content container in the 1EdTech AfA PNP v2.0 specification. |
3.1.1 'LearnerLanguage' Attribute Description
Table 3.2 The 'learnerLanguage' attribute for the APIPContent class.
|
Descriptor |
Definition |
|---|---|
|
Attribute name |
languageLearner |
|
Data type |
LanguageLearner |
|
Value space |
Container (Sequence) |
|
Multiplicity |
[0..1] |
|
Description |
Used to define the configuration for the support of language learners. |
3.1.2 'CognitiveGuidance' Attribute Description
Table 3.3 The 'cognitiveGuidance' attribute for the APIPContent class.
|
Descriptor |
Definition |
|---|---|
|
Attribute name |
cognitiveGuidance |
|
Data type |
CognitiveGuidance |
|
Value space |
Container (Sequence) |
|
Multiplicity |
[0..1] |
|
Description |
Used to define the configuration for the support for guidance through the set of test questions. |
3.1.3 'Scaffolding' Attribute Description
Table 3.4 The 'scaffolding' attribute for the APIPContent class.
|
Descriptor |
Definition |
|---|---|
|
Attribute name |
scaffolding |
|
Data type |
Scaffolding |
|
Value space |
Container (Sequence) |
|
Multiplicity |
[0..1] |
|
Description |
Used to define the configuration for the support of additional information, available in the Item, that can be provided to the user to assist in answering the question. |
3.1.4 'Chunking' Attribute Description
Table 3.5 The 'chunking' attribute for the APIPContent class.
|
Descriptor |
Definition |
|---|---|
|
Attribute name |
chunking |
|
Data type |
Chunking |
|
Value space |
Container (Sequence) |
|
Multiplicity |
[0..1] |
|
Description |
Used to define if content is to be broken into chunks and these chunks presented to the user. |
3.1.5 'KeywordEmphasis' Attribute Description
Table 3.6 The 'keywordEmphasis' attribute for the APIPContent class.
|
Descriptor |
Definition |
|---|---|
|
Attribute name |
keywordEmphasis |
|
Data type |
KeywordEmphasis |
|
Value space |
Container (Sequence) |
|
Multiplicity |
[0..1] |
|
Description |
Certain words are designated in the content as key words. Programs should designate how they are to be emphasized. This value is used to define the corresponding user preference setting. |
3.1.6 'ReducedAnswers' Attribute Description
Table 3.7 The 'reducedAnswers' attribute for the APIPContent class.
|
Descriptor |
Definition |
|---|---|
|
Attribute name |
reducedAnswers |
|
Data type |
ReducedAnswers |
|
Value space |
Container (Sequence) |
|
Multiplicity |
[0..1] |
|
Description |
The user could ask that the number of answer choices be reduced. Content design designates which of the answers could be removed and in what order. This value is used to define the corresponding user preference settings. |
3.1.7 'NegativesRemoved' Attribute Description
Table 3.8 The 'negativesRemoved' attribute for the APIPContent class.
|
Descriptor |
Definition |
|---|---|
|
Attribute name |
negativesRemoved |
|
Data type |
NegativesRemoved |
|
Value space |
Container (Sequence) |
|
Multiplicity |
[0..1] |
|
Description |
An entirely different item is provided to the user with negatives removed. This value is used to define the corresponding user preference settings. |
3.1.8 'AlternativeRepresentations' Attribute Description
Table 3.9 The 'alternativeRepresentations' attribute for the APIPContent class.
|
Descriptor |
Definition |
|---|---|
|
Attribute name |
alternativeRepresentations |
|
Data type |
AlternativeRepresentations |
|
Value space |
Container |
|
Multiplicity |
[0..1] |
|
Description |
This allows a user to view alternate representations of figures, tables, charts, etc. |
3.1.9 'KeywordTranslations' Attribute Description
Table 3.10 The 'keywordTranslations' attribute for the APIPContent class.
|
Descriptor |
Definition |
|---|---|
|
Attribute name |
keywordTranslations |
|
Data type |
KeywordTranslations |
|
Value space |
Container (Sequence) |
|
Multiplicity |
[0..1] |
|
Description |
Certain specific words would have translations available to users who need some assistance with difficult or important words in the content. The user profile should specify the language requested and the content would supply translation for the required languages. This value is used to define the corresponding user preference settings. |
3.1.10 'ItemTranslationDisplay' Attribute Description
Table 3.11 The 'itemTranslationDisplay' attribute for the APIPContent class.
|
Descriptor |
Definition |
|---|---|
|
Attribute name |
itemTranslationDisplay |
|
Data type |
ItemTranslationDisplay |
|
Value space |
Container (Sequence) |
|
Multiplicity |
[0..1] |
|
Description |
An alternate item is made and the user exposed to the alternate language version. The Item information must contain which specific language it supports. This value is used to define the corresponding user preference settings. |
3.1.11 'Signing' Attribute Description
Table 3.12 The 'signing' attribute for the APIPContent class.
|
Descriptor |
Definition |
|---|---|
|
Attribute name |
signing |
|
Data type |
Signing |
|
Value space |
Container (Sequence) |
|
Multiplicity |
[0..1] |
|
Description |
Animated or live action movie recordings can be provided to the user as either an ASL translation or Signed English version of the Item. This value is used to define the corresponding user preference settings. |
3.1.12 'Spoken' Attribute Description
Table 3.13 The 'spoken' attribute for the APIPContent class.
|
Descriptor |
Definition |
|---|---|
|
Attribute name |
spoken |
|
Data type |
Spoken |
|
Value space |
Container (Sequence) |
|
Multiplicity |
[0..1] |
|
Description |
This is the container for the preferences to be used to configure the use of the Spoken accessibility content for an Item. |
3.1.13 'SimplifiedLanguage' Attribute Description
Table 3.14 The 'simplifiedLanguage' attribute for the APIPContent class.
|
Descriptor |
Definition |
|---|---|
|
Attribute name |
simplifiedLanguage |
|
Data type |
SimplifiedLanguage |
|
Value space |
Container (Sequence) |
|
Multiplicity |
[0..1] |
|
Description |
An entirely different version of a question may be given to a user using simpler language. This value is used to define the corresponding user preference settings. |
3.1.14 'LanguageLearner' Class Description
The PIM for the APIP LanguageLearner class is shown in Figure 3.1.
Table 3.15 The 'LearnerLanguage' class.
|
Descriptor |
Definition |
|---|---|
|
Class name |
LanguageLearner |
|
Class type |
Container (Sequence) |
|
Parents |
APIPContent |
|
Children |
[ assignedSupport, activateByDefault ], ordered |
|
Description |
This is the container for the LanguageLearner accessibility configuration settings. |
3.1.14.1 'AssignedSupport' Attribute Description
Table 3.16 The 'assignedSupport' attribute for the LearnerLanguage class.
|
Descriptor |
Definition |
|---|---|
|
Attribute name |
assignedSupport |
|
Data type |
AssignedBySupport (Boolean) |
|
Value space |
Enumeration set: { true | false }. Default = true. |
|
Multiplicity |
[1] |
|
Description |
Defines if the associated LanguageLearner accessibility content is required by the user. The functional meaning of the vocabulary entries are: • false - the capability is not required by the user; • true - the capability is required by the user. |
3.1.14.2 'ActivateByDefault' Attribute Description
Table 3.17 The 'activateByDefault' attribute for the LearnerLanguage class.
|
Descriptor |
Definition |
|---|---|
|
Attribute name |
activateByDefault |
|
Data type |
ActivateByDefault (Boolean) |
|
Value space |
Enumeration set: { true | false }. Default = true. |
|
Multiplicity |
[1] |
|
Description |
Defines the default presentation mode of the associated LanguageLearner accessibility. The functional meaning of the vocabulary entries are: • false - the default mode is to not present the capability/material; • true - the default mode is to present the capability/material. |
3.1.15 'CognitiveGuidance' Class Description
The PIM for the APIP CognitiveGuidance class is shown in Figure 3.1.
Table 3.18 The 'CognitiveGuidance' class.
|
Descriptor |
Definition |
|---|---|
|
Class name |
CognitiveGuidance |
|
Class type |
Container (Sequence) |
|
Parents |
APIPContent |
|
Children |
[ assignedSupport, activateByDefault ], ordered |
|
Description |
This is the container for the CognitiveGuidance accessibility configuration settings. |
3.1.15.1 'AssignedSupport' Attribute Description
Table 3.19 The 'assignedSupport' attribute for the CognitiveGuidance class.
|
Descriptor |
Definition |
|---|---|
|
Attribute name |
assignedSupport |
|
Data type |
AssignedBySupport (Boolean) |
|
Value space |
Enumeration set: { true | false }. Default = true. |
|
Multiplicity |
[1] |
|
Description |
Defines if the associated CognitiveGuidance accessibility content is required by the user. The functional meaning of the vocabulary entries are: • false - the capability is not required by the user; • true - the capability is required by the user. |
3.1.15.2 'ActivateByDefault' Attribute Description
Table 3.20 The 'activateByDefault' attribute for the CognitiveGuidance class.
|
Descriptor |
Definition |
|---|---|
|
Attribute name |
activateByDefault |
|
Data type |
ActivateByDefault (Boolean) |
|
Value space |
Enumeration set: { true | false }. Default = true. |
|
Multiplicity |
[1] |
|
Description |
Defines the default presentation mode of the associated CognitiveGuidance accessibility. The functional meaning of the vocabulary entries are: • false - the default mode is to not present the capability/material; • true - the default mode is to present the capability/material. |
3.1.16 'Scaffolding' Class Description
The PIM for the APIP Scaffolding class is shown in Figure 3.1.
Table 3.21 The 'Scaffolding' class.
|
Descriptor |
Definition |
|---|---|
|
Class name |
Scaffolding |
|
Class type |
Container (Sequence) |
|
Parents |
APIPContent |
|
Children |
[ assignedSupport, activateByDefault ], ordered |
|
Description |
This is the container for the Scaffolding accessibility configuration settings. |
3.1.16.1 'AssignedSupport' Attribute Description
Table 3.22 The 'assignedSupport' attribute for the Scaffolding class.
|
Descriptor |
Definition |
|---|---|
|
Attribute name |
assignedSupport |
|
Data type |
AssignedBySupport (Boolean) |
|
Value space |
Enumeration set: { true | false }. Default = true. |
|
Multiplicity |
[1] |
|
Description |
Defines if the associated Scaffolding accessibility content is required by the user. The functional meaning of the vocabulary entries are: • false - the capability is not required by the user; • true - the capability is required by the user. |
3.1.16.2 'ActivateByDefault' Attribute Description
Table 3.23 The 'activateByDefault' attribute for the Scaffolding class.
|
Descriptor |
Definition |
|---|---|
|
Attribute name |
activateByDefault |
|
Data type |
ActivateByDefault (Boolean) |
|
Value space |
Enumeration set: { true | false }. Default = true. |
|
Multiplicity |
[1] |
|
Description |
Defines the default presentation mode of the associated Scaffolding accessibility. The functional meaning of the vocabulary entries are: • false - the default mode is to not present the capability/material; • true - the default mode is to present the capability/material. |
3.1.17 'Chunking' Class Description
The PIM for the APIP Chunking class is shown in Figure 3.1.
Table 3.24 The 'Chunking' class.
|
Descriptor |
Definition |
|---|---|
|
Class name |
Chunking |
|
Class type |
Container (Sequence) |
|
Parents |
APIPContent |
|
Children |
[ assignedSupport, activateByDefault ], ordered |
|
Description |
This is the container for the Chunking accessibility configuration settings. |
3.1.17.1 'AssignedSupport' Attribute Description
Table 3.25 The 'assignedSupport' attribute for the Chunking class.
|
Descriptor |
Definition |
|---|---|
|
Attribute name |
assignedSupport |
|
Data type |
AssignedBySupport (Boolean) |
|
Value space |
Enumeration set: { true | false }. Default = true. |
|
Multiplicity |
[1] |
|
Description |
Defines if the associated Chunking accessibility content is required by the user. The functional meaning of the vocabulary entries are: • false - the capability is not required by the user; • true - the capability is required by the user. |
3.1.17.2 'ActivateByDefault' Attribute Description
Table 3.26 The 'activateByDefault' attribute for the Chunking class.
|
Descriptor |
Definition |
|---|---|
|
Attribute name |
activateByDefault |
|
Data type |
ActivateByDefault (Boolean) |
|
Value space |
Enumeration set: { true | false }. Default = true. |
|
Multiplicity |
[1] |
|
Description |
Defines the default presentation mode of the associated Chunking accessibility. The functional meaning of the vocabulary entries are: • false - the default mode is to not present the capability/material; • true - the default mode is to present the capability/material. |
3.1.18 'KeywordEmphasis' Class Description
The PIM for the APIP KeywordEmphasis class is shown in Figure 3.1.
Table 3.27 The 'KeywordEmphasis' class.
|
Descriptor |
Definition |
|---|---|
|
Class name |
KeywordEmphasis |
|
Class type |
Container (Sequence) |
|
Parents |
APIPContent |
|
Children |
[ assignedSupport, activateByDefault ], ordered |
|
Description |
This is the container for the KeywordEmphasis accessibility configuration settings. |
3.1.18.1 'AssignedSupport' Attribute Description
Table 3.28 The 'assignedSupport' attribute for the KeywordEmphasis class.
|
Descriptor |
Definition |
|---|---|
|
Attribute name |
assignedSupport |
|
Data type |
AssignedBySupport (Boolean) |
|
Value space |
Enumeration set: { true | false }. Default = true. |
|
Multiplicity |
[1] |
|
Description |
Defines if the associated KeywordEmphasis accessibility content is required by the user. The functional meaning of the vocabulary entries are: • false - the capability is not required by the user; • true - the capability is required by the user. |
3.1.18.2 'ActivateByDefault' Attribute Description
Table 3.29 The 'activateByDefault' attribute for the KeywordEmphasis class.
|
Descriptor |
Definition |
|---|---|
|
Attribute name |
activateByDefault |
|
Data type |
ActivateByDefault (Boolean) |
|
Value space |
Enumeration set: { true | false }. Default = true. |
|
Multiplicity |
[1] |
|
Description |
Defines the default presentation mode of the associated KeywordEmphasis accessibility. The functional meaning of the vocabulary entries are: • false - the default mode is to not present the capability/material; • true - the default mode is to present the capability/material. |
3.1.19 'ReducedAnswers' Class Description
The PIM for the APIP ReducedAnswers class is shown in Figure 3.1.
Table 3.30 The 'ReducedAnswers' class.
|
Descriptor |
Definition |
|---|---|
|
Class name |
ReducedAnswers |
|
Class type |
Container (Sequence) |
|
Parents |
APIPContent |
|
Children |
[ assignedSupport, activateByDefault ], ordered |
|
Description |
This is the container for the ReducedAnswers accessibility configuration settings. |
3.1.19.1 'AssignedSupport' Attribute Description
Table 3.31 The 'assignedSupport' attribute for the ReducedAnswers class.
|
Descriptor |
Definition |
|---|---|
|
Attribute name |
assignedSupport |
|
Data type |
AssignedBySupport (Boolean) |
|
Value space |
Enumeration set: { true | false }. Default = true. |
|
Multiplicity |
[1] |
|
Description |
Defines if the associated ReducedAnswers accessibility content is required by the user. The functional meaning of the vocabulary entries are: • false - the capability is not required by the user; • true - the capability is required by the user. |
3.1.19.2 'ActivateByDefault' Attribute Description
Table 3.32 The 'activateByDefault' attribute for the ReducedAnswers class.
|
Descriptor |
Definition |
|---|---|
|
Attribute name |
activateByDefault |
|
Data type |
ActivateByDefault (Boolean) |
|
Value space |
Enumeration set: { true | false }. Default = true. |
|
Multiplicity |
[1] |
|
Description |
Defines the default presentation mode of the associated ReducedAnswers accessibility. The functional meaning of the vocabulary entries are: • false - the default mode is to not present the capability/material; • true - the default mode is to present the capability/material. |
3.1.20 'NegativesRemoved' Class Description
The PIM for the APIP NegativesRemoved class is shown in Figure 3.1.
Table 3.33 The 'NegativesRemoved' class.
|
Descriptor |
Definition |
|---|---|
|
Class name |
NegativesRemoved |
|
Class type |
Container (Sequence) |
|
Parents |
APIPContent |
|
Children |
[ assignedSupport, activateByDefault ], ordered |
|
Description |
This is the container for the NegativesRemoved accessibility configuration settings. |
3.1.20.1 'AssignedSupport' Attribute Description
Table 3.34 The 'assignedSupport' attribute for the NegativesRemoved class.
|
Descriptor |
Definition |
|---|---|
|
Attribute name |
assignedSupport |
|
Data type |
AssignedBySupport (Boolean) |
|
Value space |
Enumeration set: { true | false }. Default = true. |
|
Multiplicity |
[1] |
|
Description |
Defines if the associated NegativesRemoved accessibility content is required by the user. The functional meaning of the vocabulary entries are: • false - the capability is not required by the user; • true - the capability is required by the user. |
3.1.20.2 'ActivateByDefault' Attribute Description
Table 3.35 The 'activateByDefault' attribute for the NegativesRemoved class.
|
Descriptor |
Definition |
|---|---|
|
Attribute name |
activateByDefault |
|
Data type |
ActivateByDefault (Boolean) |
|
Value space |
Enumeration set: { true | false }. Default = true. |
|
Multiplicity |
[1] |
|
Description |
Defines the default presentation mode of the associated NegativesRemoved accessibility. The functional meaning of the vocabulary entries are: • false - the default mode is to not present the capability/material; • true - the default mode is to present the capability/material. |
3.1.21 'KeywordTranslations' Class Description
The PIM for the APIP KeywordTranslations class is shown in Figure 3.1.
Table 3.36 The 'KeywordTranslations' class.
|
Descriptor |
Definition |
|---|---|
|
Class name |
KeywordTranslations |
|
Class type |
Container (Sequence) |
|
Parents |
APIPContent |
|
Children |
[ language, assignedSupport, activateByDefault ], ordered |
|
Description |
This is the container for the KeywordTranslations accessibility configuration settings. |
3.1.21.1 'Language' Attribute Description
Table 3.37 The 'language' attribute for the KeywordTranslations class.
|
Descriptor |
Definition |
|---|---|
|
Attribute name |
language |
|
Data type |
Language |
|
Value space |
See Table A1.1. |
|
Multiplicity |
[1] |
|
Description |
Defines if the default language for the keyword translation. |
3.1.21.2 'AssignedSupport' Attribute Description
Table 3.38 The 'assignedSupport' attribute for the KeywordTranslations class.
|
Descriptor |
Definition |
|---|---|
|
Attribute name |
assignedSupport |
|
Data type |
AssignedBySupport (Boolean) |
|
Value space |
Enumeration set: { true | false }. Default = true. |
|
Multiplicity |
[1] |
|
Description |
Defines if the associated KeywordTranslations accessibility content is required by the user. The functional meaning of the vocabulary entries are: • false - the capability is not required by the user; • true - the capability is required by the user. |
3.1.21.3 'ActivateByDefault' Attribute Description
Table 3.39 The 'activateByDefault' attribute for the KeywordTranslations class.
|
Descriptor |
Definition |
|---|---|
|
Attribute name |
activateByDefault |
|
Data type |
ActivateByDefault (Boolean) |
|
Value space |
Enumeration set: { true | false }. Default = true. |
|
Multiplicity |
[1] |
|
Description |
Defines the default presentation mode of the associated KeywordTranslations accessibility. The functional meaning of the vocabulary entries are: • false - the default mode is to not present the capability/material; • true - the default mode is to present the capability/material. |
3.1.22 'ItemTranslationDisplay' Class Description
The PIM for the APIP ItemTranslationDisplay class is shown in Figure 3.1.
Table 3.40 The 'ItemTranslationDisplay' class.
|
Descriptor |
Definition |
|---|---|
|
Class name |
ItemTranslationDisplay |
|
Class type |
Container (Sequence) |
|
Parents |
APIPContent |
|
Children |
[ language, assignedSupport, activateByDefault ], ordered |
|
Description |
This is the container for the ItemTranslationDisplay accessibility configuration settings. |
3.1.22.1 'Language' Attribute Description
Table 3.41 The 'language' attribute for the ItemTranslationDisplay class.
|
Descriptor |
Definition |
|---|---|
|
Attribute name |
language |
|
Data type |
Language |
|
Value space |
See Table A1.1. |
|
Multiplicity |
[1] |
|
Description |
Defines if the default language for the displayed translation. |
3.1.22.2 'AssignedSupport' Attribute Description
Table 3.42 The 'assignedSupport' attribute for the ItemTranslationDisplay class.
|
Descriptor |
Definition |
|---|---|
|
Attribute name |
assignedSupport |
|
Data type |
AssignedBySupport (Boolean) |
|
Value space |
Enumeration set: { true | false }. Default = true. |
|
Multiplicity |
[1] |
|
Description |
Defines if the associated ItemTranslationDisplay accessibility content is required by the user. The functional meaning of the vocabulary entries are: • false - the capability is not required by the user; • true - the capability is required by the user. |
3.1.22.3 'ActivateByDefault' Attribute Description
Table 3.43 The 'activateByDefault' attribute for the ItemTranslationDisplay class.
|
Descriptor |
Definition |
|---|---|
|
Attribute name |
activateByDefault |
|
Data type |
ActivateByDefault (Boolean) |
|
Value space |
Enumeration set: { true | false }. Default = true. |
|
Multiplicity |
[1] |
|
Description |
Defines the default presentation mode of the associated ItemTranslationDisplay accessibility. The functional meaning of the vocabulary entries are: • false - the default mode is to not present the capability/material; • true - the default mode is to present the capability/material. |
3.1.23 'Signing' Class Description
The PIM for the APIP Signing class is shown in Figure 3.1.
Table 3.44 The 'Signing' class.
|
Descriptor |
Definition |
|---|---|
|
Class name |
Signing |
|
Class type |
Container (Sequence) |
|
Parents |
APIPContent |
|
Children |
[ assignedSupport, activateByDefault, signingType ], ordered |
|
Description |
This is the container for the Signing accessibility configuration settings. |
3.1.23.1 'AssignedSupport' Attribute Description
Table 3.45 The 'assignedSupport' attribute for the Signing class.
|
Descriptor |
Definition |
|---|---|
|
Attribute name |
assignedSupport |
|
Data type |
AssignedBySupport (Boolean) |
|
Value space |
Enumeration set: { true | false }. Default = true. |
|
Multiplicity |
[1] |
|
Description |
Defines if the associated Signing accessibility content is required by the user. The functional meaning of the vocabulary entries are: • false - the capability is not required by the user; • true - the capability is required by the user. |
3.1.23.2 'ActivateByDefault' Attribute Description
Table 3.46 The 'activateByDefault' attribute for the Signing class.
|
Descriptor |
Definition |
|---|---|
|
Attribute name |
activateByDefault |
|
Data type |
ActivateByDefault (Boolean) |
|
Value space |
Enumeration set: { true | false }. Default = true. |
|
Multiplicity |
[1] |
|
Description |
Defines the default presentation mode of the associated Signing accessibility. The functional meaning of the vocabulary entries are: • false - the default mode is to not present the capability/material; • true - the default mode is to present the capability/material. |
3.1.23.3 'SigningType' Attribute Description
Table 3.47 The 'signingType' attribute for the Signing class.
|
Descriptor |
Definition |
|---|---|
|
Attribute name |
signingType |
|
Data type |
SigningType |
|
Value space |
Enumeration set: { ASL | SignedEnglish }. |
|
Multiplicity |
[1] |
|
Description |
Defines the type of signing preferred by the user. |
3.1.24 'SimplifiedLanguage' Class Description
The PIM for the APIP SimplifiedLanguage class is shown in Figure 3.1.
Table 3.48 The 'SimplifiedLanguage' class.
|
Descriptor |
Definition |
|---|---|
|
Class name |
SimplifiedLanguage |
|
Class type |
Container (Sequence) |
|
Parents |
APIPContent |
|
Children |
[ assignedSupport, activateByDefault ], ordered |
|
Description |
This is the container for the Signing accessibility configuration settings. |
3.1.24.1 'AssignedSupport' Attribute Description
Table 3.49 The 'assignedSupport' attribute for the SimplifiedLanguage class.
|
Descriptor |
Definition |
|---|---|
|
Attribute name |
assignedSupport |
|
Data type |
AssignedBySupport (Boolean) |
|
Value space |
Enumeration set: { true | false }. Default = true. |
|
Multiplicity |
[1] |
|
Description |
Defines if the associated SimplifiedLanguage accessibility content is required by the user. The functional meaning of the vocabulary entries are: • false - the capability is not required by the user; • true - the capability is required by the user. |
3.1.24.2 'ActivateByDefault' Attribute Description
Table 3.50 The 'activateByDefault' attribute for the SimplifiedLanguage class.
|
Descriptor |
Definition |
|---|---|
|
Attribute name |
activateByDefault |
|
Data type |
ActivateByDefault (Boolean) |
|
Value space |
Enumeration set: { true | false }. Default = true. |
|
Multiplicity |
[1] |
|
Description |
Defines the default presentation mode of the associated SimplifiedLanguage accessibility. The functional meaning of the vocabulary entries are: • false - the default mode is to not present the capability/material; • true - the default mode is to present the capability/material. |
3.1.25 'AlternativeRepresentations' Class Description
The PIM for the APIP AlternativeRepresentations class is shown in Figure 3.2.

Figure 3.2 AlternativeRepresentations class.
Table 3.51 The 'AlternativeRepresentations' class.
|
Descriptor |
Definition |
|---|---|
|
Class name |
AlternativeRepresentations |
|
Class type |
Container (Sequence) |
|
Parents |
APIPContent |
|
Children |
[ assignedSupport, acivateByDefault, alternativeRepresentationType ], ordered |
|
Description |
APIP content can have a number of alternative representations. This is the container for the set of preferences for the user for each of these possible alternative representations. |
3.1.25.1 'AssignedSupport' Attribute Description
Table 3.52 The 'assignedSupport' attribute for the AlternativeRepresentations class.
|
Descriptor |
Definition |
|---|---|
|
Attribute name |
assignedSupport |
|
Data type |
AssignedBySupport (Boolean) |
|
Value space |
Enumeration set: { true | false }. Default = true. |
|
Multiplicity |
[1] |
|
Description |
Defines if the associated AlternativeRepresentations accessibility content is required by the user. The functional meaning of the vocabulary entries are: • false - the capability is not required by the user; • true - the capability is required by the user. |
3.1.25.2 'ActivateByDefault' Attribute Description
Table 3.53 The 'activateByDefault' attribute for the AlternativeRepresentations class.
|
Descriptor |
Definition |
|---|---|
|
Attribute name |
activateByDefault |
|
Data type |
ActivateByDefault (Boolean) |
|
Value space |
Enumeration set: { true | false }. Default = true. |
|
Multiplicity |
[1] |
|
Description |
Defines the default presentation mode of the associated AlternativeRepresentations accessibility. The functional meaning of the vocabulary entries are: • false - the default mode is to not present the capability/material; • true - the default mode is to present the capability/material. |
3.1.25.3 'AlternativeRepresentationType' Attribute Description
Table 3.54 The 'alternativeRepresentationType' attribute for the AlternativeRepresentations class.
|
Descriptor |
Definition |
|---|---|
|
Attribute name |
alternativeRepresentationType |
|
Data type |
alternativeRepresentationType |
|
Value space |
Enumeration set: { Audio | Video | Graphic | Text | Interactive }. |
|
Multiplicity |
[1..*] |
|
Description |
Defines the set of alternative representations that are suitable for the user. |
3.1.26 'Spoken' Class Description
The PIM for the APIP Spoken class is shown in Figure 3.3.

Figure 3.3 Spoken class.
Table 3.55 The 'Spoken' class.
|
Descriptor |
Definition |
|---|---|
|
Class name |
Spoken |
|
Class type |
Container (Sequence) |
|
Parents |
APIPContent |
|
Children |
[ assignedSupport, activateByDefault, spokenSourcePreference, readAtStartPreference, userSpokenPreference, directionsOnly ], ordered |
|
Description |
Text presented to the user is spoken aloud. Graphics, tables, diagrams, pictures, etc. would have alternate text that could be spoken aloud. This is the container for the preference settings for access to the spoken accessibility content. |
3.1.26.1 'AssignedSupport' Attribute Description
Table 3.56 The 'assignedSupport' attribute for the Spoken class.
|
Descriptor |
Definition |
|---|---|
|
Attribute name |
assignedSupport |
|
Data type |
AssignedBySupport (Boolean) |
|
Value space |
Enumeration set: { true | false }. Default = true. |
|
Multiplicity |
[1] |
|
Description |
Defines if the associated Spoken accessibility content is required by the user. The functional meaning of the vocabulary entries are: • false - the capability is not required by the user; • true - the capability is required by the user. |
3.1.26.2 'ActivateByDefault' Attribute Description
Table 3.57 The 'activateByDefault' attribute for the Spoken class.
|
Descriptor |
Definition |
|---|---|
|
Attribute name |
activateByDefault |
|
Data type |
ActivateByDefault (Boolean) |
|
Value space |
Enumeration set: { true | false }. Default = true. |
|
Multiplicity |
[1] |
|
Description |
Defines the default presentation mode of the associated Spoken accessibility. The functional meaning of the vocabulary entries are: • false - the default mode is to not present the capability/material; • true - the default mode is to present the capability/material. |
3.1.26.3 'SpokenSourcePreference' Attribute Description
Table 3.58 The 'spokenSourcePreference' attribute for the Spoken class.
|
Descriptor |
Definition |
|---|---|
|
Attribute name |
spokenSourcePreference |
|
Data type |
Enumeration |
|
Value space |
Enumeration set: { Human | Synthetic }. Default = Human. |
|
Multiplicity |
[1] |
|
Description |
Defines the preferred spoken audio form. The functional meaning of the vocabulary entries are: • Human - human voice recording is the preferred type of speech; • Synthetic - synthesized speech is the preferred type of speech. |
3.1.26.4 'ReadAtStartPreference' Attribute Description
Table 3.59 The 'readAtStartPreference' attribute for the Spoken class.
|
Descriptor |
Definition |
|---|---|
|
Attribute name |
readAtStartPreference |
|
Data type |
Boolean |
|
Value space |
Enumeration set: { true | false }. Default = true. |
|
Multiplicity |
[0..1] |
|
Description |
Used to define if the spoken play-back should commence from the start of a recording or not. The functional meaning of the vocabulary entries are: • false - spoken play-back should start from where last play ended; • true - spoken play-back should always start at the beginning of the recording. |
3.1.26.5 'UserSpokenPreference' Attribute Description
Table 3.60 The 'userSpokenPreference' attribute for the Spoken class.
|
Descriptor |
Definition |
|---|---|
|
Attribute name |
userSpokenPreference |
|
Data type |
Enumeration |
|
Value space |
Enumeration set: { TextOnly | TextGraphics | GraphicsOnly | NonVisual }. Default = TextOnly. |
|
Multiplicity |
[0..1] |
|
Description |
Used to define the type of material that should be rendered using the read aloud alternative content. The functional meanings of the vocabulary are: • TextOnly - spoken play-back should be used for text based content; • TextGraphics - spoken play-back should be used for text and graphics based content; • GraphicsOnly - spoken play-back should be used for graphics content only; • NonVisual - spoken play-back should be used for all non-visual content. |
3.1.26.6 'DirectionsOnly' Attribute Description
Table 3.61 The 'directionsOnly' attribute for the Spoken class.
|
Descriptor |
Definition |
|---|---|
|
Attribute name |
directionsOnly |
|
Data type |
Boolean |
|
Value space |
Enumeration set: { true | false }. Default = false. |
|
Multiplicity |
[0..1] |
|
Description |
Defines whether or not the spoken alternative content presentation should be applied to directive content only. The functional meaning of the vocabulary entries are: • false - read aloud should not be restricted to just directive content; • true - read aloud should be restricted to directive content only. |
3.2 APIPDisplay Class
The PIM for the APIPDisplay class is shown in Figure 3.4.

Figure 3.4 APIPDisplay class.
Table 3.62 The 'APIPDisplay' class.
|
Descriptor |
Definition |
|---|---|
|
Class name |
APIPDisplay |
|
Class type |
Container (Unordered) |
|
Parents |
Display (see 1EdTech AfA PNP v2.0 specification) |
|
Children |
[ masking, encouragement, auditoryBackground ], unordered |
|
Description |
The container for the set of APIP extensions to the display features in the AfA PNP v2.0 specification. |
3.2.1 'Masking'Attribute Description
Table 3.63 The 'masking' attribute for the APIPDisplay class.
|
Descriptor |
Definition |
|---|---|
|
Attribute name |
masking |
|
Attribute name |
Masking |
|
Data type |
Container |
|
Value space |
[0..1] |
|
Multiplicity |
Various types of content masking are possible to limit the amount of content rendered when an item is first presented. This is the container for the user's preferred masking settings. |
3.2.2 'Encouragement' Attribute Description
Table 3.64 The 'encouragement' attribute for the APIPDisplay class.
|
Descriptor |
Definition |
|---|---|
|
Attribute name |
encouragement |
|
Data type |
Encouragement |
|
Value space |
Container |
|
Multiplicity |
[0..1] |
|
Description |
Some users may benefit from receiving expressions of encouragement as they work on the Test/Item. This is the container for the user preferences specific to the provision of expressions of encouragement. |
3.2.3 'AuditoryBackground' Attribute Description
Table 3.65 The 'auditoryBackground' attribute for the APIPDisplay class.
|
Descriptor |
Definition |
|---|---|
|
Attribute name |
auditoryBackground |
|
Data type |
AuditoryBackground |
|
Value space |
Container |
|
Multiplicity |
[0..1] |
|
Description |
Users can listen to music or sounds in the background as they work on the Test/Item. This is the container for the user preferences specific to the provision of background sound. |
3.2.4 'Masking' Class Description
The PIM for the Masking class is shown in Figure 3.4.
Table 3.66 The 'Masking' class.
|
Descriptor |
Definition |
|---|---|
|
Attribute name |
Masking |
|
Data type |
Container (Sequence) |
|
Value space |
APIPDisplay |
|
Multiplicity |
[ assignedSupport, activateByDefault, maskingType ], ordered |
|
Description |
The container for the instructions on the form that masking can occur. |
3.2.4.1 'AssignedSupport' Attribute Description
Table 3.67 The 'assignedSupport' attribute for the Masking class.
|
Descriptor |
Definition |
|---|---|
|
Attribute name |
assignedSupport |
|
Data type |
AssignedBySupport (Boolean) |
|
Value space |
Enumeration set: { true | false }. Default = true. |
|
Multiplicity |
[1] |
|
Description |
Defines if the associated Masking accessibility content is required by the user. The functional meaning of the vocabulary entries are: • false - the capability is not required by the user; • true - the capability is required by the user. |
3.2.4.2 'ActivateByDefault' Attribute Description
Table 3.68 The 'activateByDefault' attribute for the Masking class.
|
Descriptor |
Definition |
|---|---|
|
Attribute name |
activateByDefault |
|
Data type |
ActivateByDefault (Boolean) |
|
Value space |
Enumeration set: { true | false }. Default = false. |
|
Multiplicity |
[1] |
|
Description |
Defines the default presentation mode of the associated Masking accessibility. The functional meaning of the vocabulary entries are: • false - the default mode is to not present the capability/material; • true - the default mode is to present the capability/material. |
3.2.4.3 'MaskingType' Attribute Description
Table 3.69 The 'maskingType' attribute for the Masking class.
|
Descriptor |
Definition |
|---|---|
|
Attribute name |
maskingType |
|
Data type |
Enumeration |
|
Value space |
Enumerated set: { CustomMask | AnswerMask } |
|
Multiplicity |
[1..2] |
|
Description |
A user is able to create their own masks to cover portions of the question until needed. The functional meaning of the vocabulary entries are: • CustomMask - user is able to create their own masking; • AnswerMask - by default the masking of choices in multiple choice questions are covered when the item is first presented. |
3.2.5 'Encouragement' Class Description
The PIM for the Encouragement class is shown in Figure 3.4.
Table 3.70 The 'Encouragement' class.
|
Descriptor |
Definition |
|---|---|
|
Attribute name |
EncouragementMode |
|
Data type |
Container (Selection) |
|
Value space |
APIPDisplay |
|
Multiplicity |
[ assignedSupport, activateByDefault, textMessagingString, soundFileHref ], ordered selection |
|
Description |
The container for the expressions of encouragement that are to be offered to the users. |
3.2.5.1 'AssignedSupport' Attribute Description
Table 3.71 The 'assignedSupport' attribute for the Encouragement class.
|
Descriptor |
Definition |
|---|---|
|
Attribute name |
assignedSupport |
|
Data type |
AssignedBySupport (Boolean) |
|
Value space |
Enumeration set: { true | false }. Default = true. |
|
Multiplicity |
[1] |
|
Description |
Defines if the associated Encouragement accessibility content is required by the user. The functional meaning of the vocabulary entries are: • false - the capability is not required by the user; • true - the capability is required by the user. |
3.2.5.2 'ActivateByDefault' Attribute Description
Table 3.72 The 'activateByDefault' attribute for the Encouragement class.
|
Descriptor |
Definition |
|---|---|
|
Attribute name |
activateByDefault |
|
Data type |
ActivateByDefault (Boolean) |
|
Value space |
Enumeration set: { true | false }. Default = true. |
|
Multiplicity |
[1] |
|
Description |
Defines the default presentation mode of the associated Encouragement accessibility. The functional meaning of the vocabulary entries are: • false - the default mode is to not present the capability/material; • true - the default mode is to present the capability/material. |
3.2.5.3 'TextMessageString' Attribute Description
Table 3.73 The 'textMessageString' attribute for the Encouragement class.
|
Descriptor |
Definition |
|---|---|
|
Attribute name |
textMessageString |
|
Data type |
NormalizedString |
|
Value space |
Normalized string. |
|
Multiplicity |
[1..unbounded] |
|
Description |
The text string that is to be displayed to the user as an expression of encouragement. It is left to the system to determine when to display this string. |
3.2.5.4 'SoundFileHref' Attribute Description
Table 3.74 The 'soundFileHref' attribute for the EncouragementMode class.
|
Descriptor |
Definition |
|---|---|
|
Attribute name |
soundFileHref |
|
Data type |
URI |
|
Value space |
See Appendix A. |
|
Multiplicity |
[1..unbounded] |
|
Description |
The URI of the sound file that is to be played to the user as an expression of encouragement. It is left to the system to determine when to play this audio file. |
3.2.6 'AuditoryBackground' Attribute Description
The PIM for the Encouragement class is shown in Figure 3.4.
Table 3.75 The 'AuditoryBackground' class.
|
Descriptor |
Definition |
|---|---|
|
Attribute name |
AuditoryBackground |
|
Data type |
Container (Selection) |
|
Value space |
APIPDisplay |
|
Multiplicity |
[ assignedSupport, activateByDefault ], ordered |
|
Description |
Users can listen to music or sounds in the background as they work on the Test/Item. |
3.2.6.1 'AssignedSupport' Attribute Description
Table 3.76 The 'assignedSupport' attribute for the AuditoryBackground class.
|
Descriptor |
Definition |
|---|---|
|
Attribute name |
assignedSupport |
|
Data type |
AssignedBySupport (Boolean) |
|
Value space |
Enumeration set: { true | false }. Default = true. |
|
Multiplicity |
[1] |
|
Description |
Defines if the associated auditory background accessibility content is required by the user. The functional meaning of the vocabulary entries are: • false - the capability is not required by the user; • true - the capability is required by the user. |
3.2.6.2 'ActivateByDefault' Attribute Description
Table 3.77 The 'activateByDefault' attribute for the AuditoryBackground class.
|
Descriptor |
Definition |
|---|---|
|
Attribute name |
activateByDefault |
|
Data type |
ActivateByDefault (Boolean) |
|
Value space |
Enumeration set: { true | false }. Default = false. |
|
Multiplicity |
[1] |
|
Description |
Defines the default presentation mode of the associated auditory background accessibility. The functional meaning of the vocabulary entries are: • false - the default mode is to not present the capability/material; • true - the default mode is to present the capability/material. |
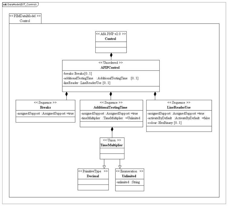
3.3 APIPControl Class
The PIM for the APIPControl class is shown in Figure 3.5.

Figure 3.5 APIPControl class.
Table 3.78 The 'APIPControl' class.
|
Descriptor |
Definition |
|---|---|
|
Class name |
APIPControl |
|
Class type |
Container (Unordered) |
|
Parents |
Control (see 1EdTech AfA PNP v2.0 specification). |
|
Children |
[ breaks, additionalTestingTime, lineReader ], unordered |
|
Description |
This is the container for the set of APIP extensions to the Control container in the 1EdTech AfA PNP v2.0 specification. |
3.3.1 'Breaks' Attribute Description
Table 3.79 The 'breaks' attribute for the APIPControl class.
|
Descriptor |
Definition |
|---|---|
|
Attribute name |
breaks |
|
Data type |
Breaks |
|
Value space |
Container |
|
Multiplicity |
[0..1] |
|
Description |
A user is allowed to take breaks at their request during the testing session and return to their testing session when ready. |
3.3.2 'AdditionalTestingTime' Attribute Description
Table 3.80 The 'additionalTestingTime' attribute for the APIPControl class.
|
Descriptor |
Definition |
|---|---|
|
Attribute name |
additionalTestingTime |
|
Data type |
AdditionalTestingTime |
|
Value space |
Container |
|
Multiplicity |
[0..1] |
|
Description |
If a test has a time limit, the user will be allowed additional time to complete the test. This is the container for the user's addition time preferences. |
3.3.3 'LineReader' Attribute Description
Table 3.81 The 'lineReader' attribute for the APIPControl class.
|
Descriptor |
Definition |
|---|---|
|
Attribute name |
lineReader |
|
Data type |
LineReader |
|
Value space |
Container |
|
Multiplicity |
[0..1] |
|
Description |
Describes the preferences for the use of a line reader. |
3.3.4 'Breaks' Class Description
The PIM for the Breaks class is shown in Figure 3.5.
Table 3.82 The 'Breaks' class.
|
Descriptor |
Definition |
|---|---|
|
Class name |
Breaks |
|
Class type |
Container (Sequence) |
|
Parents |
APIPControl |
|
Children |
[ assignedSupport ], ordered |
|
Description |
This is the container for the settings for the support of breaks during the test. |
3.3.4.1 'AssignedSupport' Attribute Description
Table 3.83 The 'assignedSupport' attribute for the Breaks class.
|
Descriptor |
Definition |
|---|---|
|
Attribute name |
assignedSupport |
|
Data type |
AssignedBySupport (Boolean) |
|
Value space |
Enumeration set: { true | false }. Default = true. |
|
Multiplicity |
[1] |
|
Description |
Defines if the associated support for Breaks is required by the user. The functional meaning of the vocabulary entries are: • false - the capability is not required by the user; • true - the capability is required by the user. |
3.3.5 'AdditionalTestingTime' Class Description
The PIM for the AdditionalTestingTime class is shown in Figure 3.5.
Table 3.84 The 'AdditionalTestingTime' class.
|
Descriptor |
Definition |
|---|---|
|
Class name |
AdditionalTestingTime |
|
Class type |
Container (Sequence) |
|
Parents |
APIPControl |
|
Children |
[ assignedSupport, timeMultiplier ], ordered |
|
Description |
This is the container for the additional time that is to be permitted for the user when undertaking a test. |
3.3.5.1 'AssignedSupport' Attribute Description
Table 3.85 The 'assignedSupport' attribute for the AdditionalTestingTime class.
|
Descriptor |
Definition |
|---|---|
|
Attribute name |
assignedSupport |
|
Data type |
AssignedBySupport (Boolean) |
|
Value space |
Enumeration set: { true | false }. Default = true. |
|
Multiplicity |
[1] |
|
Description |
Defines if the associated support for AdditionalTestingTime is required by the user. The functional meaning of the vocabulary entries are: • false - the capability is not required by the user; • true - the capability is required by the user. |
3.3.5.2 'TimeMultiplier' Attribute Description
Table 3.86 The 'timeMultiplier' attribute for the AdditionalTestingTime class.
|
Descriptor |
Definition |
|---|---|
|
Attribute name |
timeMultiplier |
|
Data type |
TimeMultiplier (Union) |
|
Value space |
This is either a decimal number in the range 0.0 ≤ timeMultiplier ≤ 10.0 or the phrase 'unlimited'. Default = 'unlimited'. |
|
Multiplicity |
[1] |
|
Description |
Defines the multiplier to be applied to the time limit to determine the total testing time. If the value is 'unlimited' then there is no time limit for the test. |
3.3.6 'LineReaderUse' Class Description
The PIM for the LineReaderUse class is shown in Figure 3.5.
Table 3.87 The 'LineReaderUse' class.
|
Descriptor |
Definition |
|---|---|
|
Class name |
LineReaderUse |
|
Class type |
Container (Sequence) |
|
Parents |
APIPControl |
|
Children |
[ assignedSupport, activateByDefault, colour ], ordered |
|
Description |
This is the container for the settings for the use of a line reader. A user may have a tool available that assists them in moving a reading tool (line highlighter or underscore) down line by line, to assist in reading the content. |
3.3.6.1 'AssignedSupport' Attribute Description
Table 3.88 The 'assignedSupport' attribute for the LineReaderUse class.
|
Descriptor |
Definition |
|---|---|
|
Attribute name |
assignedSupport |
|
Data type |
AssignedBySupport (Boolean) |
|
Value space |
Enumeration set: { true | false }. Default = true. |
|
Multiplicity |
[1] |
|
Description |
Defines if the associated LineReaderUse accessibility content is required by the user. The functional meaning of the vocabulary entries are: • false - the capability is not required by the user; • true - the capability is required by the user. |
3.3.6.2 'ActivateByDefault' Attribute Description
Table 3.89 The 'activateByDefault' attribute for the LineReaderUse class.
|
Descriptor |
Definition |
|---|---|
|
Attribute name |
activateByDefault |
|
Data type |
ActivateByDefault (Boolean) |
|
Value space |
Enumeration set: { true | false }. Default = false. |
|
Multiplicity |
[1] |
|
Description |
Defines the default presentation mode of the associated LineReaderUse accessibility. The functional meaning of the vocabulary entries are: • false - the default mode is to not present the capability/material; • true - the default mode is to present the capability/material. |
3.3.6.3 'Colour' Attribute Description
Table 3.90 The 'colour' attribute for the LineReaderUse class.
|
Descriptor |
Definition |
|---|---|
|
Attribute name |
colour |
|
Data type |
HexBinary |
|
Value space |
See Appendix A. |
|
Multiplicity |
[0..1] |
|
Description |
The colour used to highlight the point of line reader activity i.e. the line being read. |
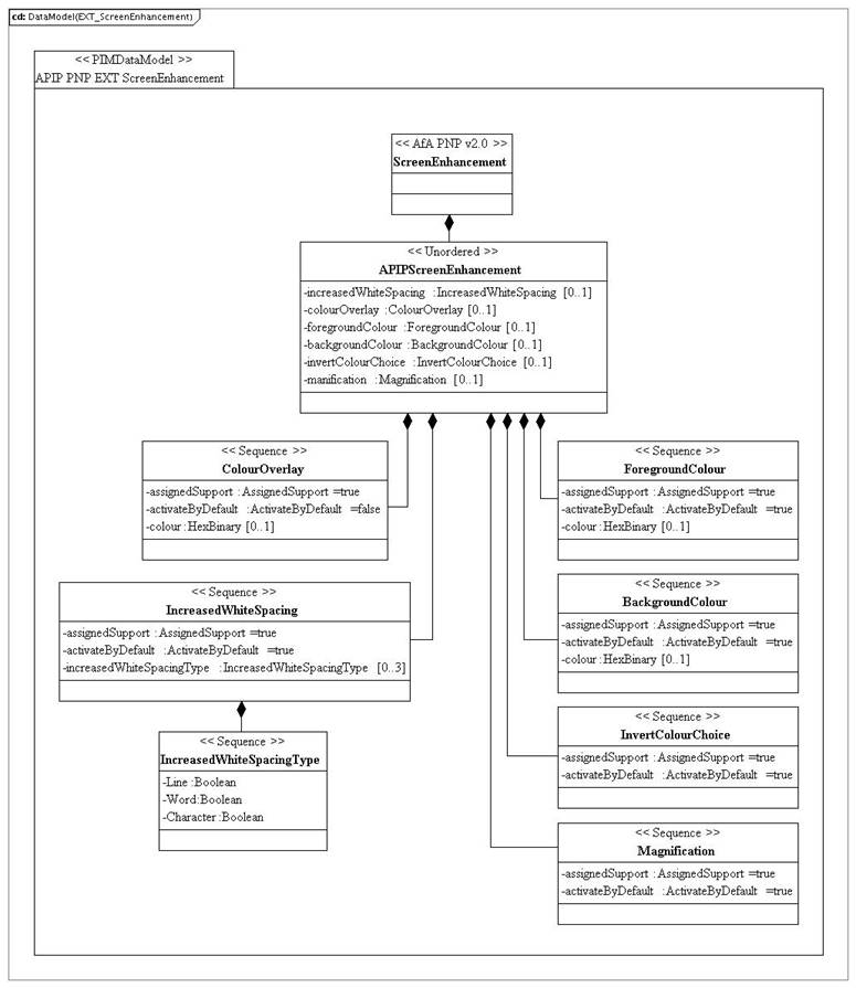
3.4 APIPScreenEnhancement Class
The PIM for the APIPScreenEnhancement class is shown in Figure 3.6.

Figure 3.6 APIPScreenEnhancement class.
Table 3.91 The 'APIPScreenEnhancement' class.
|
Descriptor |
Definition |
|---|---|
|
Class name |
APIPScreenEnhancement |
|
Class type |
Container (Unordered) |
|
Parents |
ScreenEnhancement (see 1EdTech AfA PNP v2.0 specification). |
|
Children |
[ increasedWhiteSpacing, colourOverlay, foregroundColour, backgroundColour, invertColourChoice, magnification ] |
|
Description |
This is the container for the set of APIP extensions to the ScreenEnhancement container in the 1EdTech AfA PNP v2.0 specification. |
3.4.1 'IncreasedWhiteSpacing' Attribute Description
Table 3.92 The 'increasedWhiteSpacing' attribute for the APIPScreenEnhancement class.
|
Descriptor |
Definition |
|---|---|
|
Attribute name |
increasedWhiteSpacing |
|
Data type |
IncreasedWhiteSpacing |
|
Value space |
Container |
|
Multiplicity |
[0..1] |
|
Description |
Increased white spacing is the flexibility in layout to allow more space between lines of text, between words of text, and between characters within words. This affects the layout of items. |
3.4.2 'ColourOverlay' Attribute Description
Table 3.93 The 'colourOverlay' attribute for the APIPScreenEnhancement class.
|
Descriptor |
Definition |
|---|---|
|
Attribute name |
colourOverlay |
|
Data type |
ColourOverlay |
|
Value space |
Container |
|
Multiplicity |
[0..1] |
|
Description |
Describes the use of a colour overlay to enhance readability of text. |
3.4.3 'ForegroundColour' Attribute Description
Table 3.94 The 'foregroundColour' attribute for the APIPScreenEnhancement class.
|
Descriptor |
Definition |
|---|---|
|
Attribute name |
foregroundColour |
|
Data type |
ForegroundColour |
|
Value space |
Container |
|
Multiplicity |
[0..1] |
|
Description |
Defines the foreground colour preference settings for the user. |
3.4.4 'BackgroundColour' Attribute Description
Table 3.95 The 'backgroundColour' attribute for the APIPScreenEnhancement class.
|
Descriptor |
Definition |
|---|---|
|
Attribute name |
backgroundColour |
|
Data type |
BackgroundColour |
|
Value space |
Container |
|
Multiplicity |
[0..1] |
|
Description |
Defines the background colour preference settings for the user. |
3.4.5 'InvertColourChoice' Attribute Description
Table 3.96 The 'invertColourChoice' attribute for the APIPScreenEnhancement class.
|
Descriptor |
Definition |
|---|---|
|
Attribute name |
invertColourChoice |
|
Data type |
InvertColourChoice |
|
Value space |
Container |
|
Multiplicity |
[0..1] |
|
Description |
Describes the use of the colour inversion settings for the user. |
3.4.6 'Magnification' Attribute Description
Table 3.97 The 'magnification' attribute for the APIPScreenEnhancement class.
|
Descriptor |
Definition |
|---|---|
|
Attribute name |
magnification |
|
Data type |
Magnification |
|
Value space |
Container |
|
Multiplicity |
[0..1] |
|
Description |
Describes the use of the magnification settings for the user. |
3.4.7 'IncreasedWhiteSpacing' Class Description
The PIM for the IncreasedWhiteSpacing class is shown in Figure 3.6.
Table 3.98 The 'IncreasedWhiteSpacing' class.
|
Descriptor |
Definition |
|---|---|
|
Class name |
IncreasedWhiteSpacing |
|
Class type |
Container (Sequence) |
|
Parents |
APIPScreenEnhancement |
|
Children |
[ assignedSupport, activateByDefault, increasedWhiteSpacingType ], ordered |
|
Description |
This is the container for the information about the application of increased white spacing. |
3.4.7.1 'AssignedSupport' Attribute Description
Table 3.99 The 'assignedSupport' attribute for the IncreasedWhiteSpacing class.
|
Descriptor |
Definition |
|---|---|
|
Attribute name |
assignedSupport |
|
Data type |
AssignedBySupport (Boolean) |
|
Value space |
Enumeration set: { true | false }. Default = true. |
|
Multiplicity |
[1] |
|
Description |
Defines if the associated IncreasedWhiteSpacing accessibility content is required by the user. The functional meaning of the vocabulary entries are: • false - the capability is not required by the user; • true - the capability is required by the user. |
3.4.7.2 'ActivateByDefault' Attribute Description
Table 3.100 The 'activateByDefault' attribute for the IncreasedWhiteSpacing class.
|
Descriptor |
Definition |
|---|---|
|
Attribute name |
activateByDefault |
|
Data type |
ActivateByDefault (Boolean) |
|
Value space |
Enumeration set: { true | false }. Default = false. |
|
Multiplicity |
[1] |
|
Description |
Defines the default presentation mode of the associated IncreasedWhiteSpacing accessibility. The functional meaning of the vocabulary entries are: • false - the default mode is to not present the capability/material; • true - the default mode is to present the capability/material. |
3.4.7.3 'IncreasedWhiteSpacingType' Attribute Description
Table 3.101 The 'increasedWhiteSpacingType' attribute for the IncreasedWhiteSpacing class.
|
Descriptor |
Definition |
|---|---|
|
Attribute name |
increasedWhiteSpacingType |
|
Data type |
IncreasedWhiteSpacingType |
|
Value space |
Container |
|
Multiplicity |
[0..1] |
|
Description |
Defines the user preferences for white spacing in lines, words and characters. |
3.4.8 'IncreasedWhiteSpacingType' Class Description
The PIM for the IncreasedWhiteSpacingType class is shown in Figure 3.6.
Table 3.102 The 'IncreasedWhiteSpacingType' class.
|
Descriptor |
Definition |
|---|---|
|
Class name |
IncreasedWhiteSpacingType |
|
Class type |
Container (Sequence) |
|
Parents |
APIPScreenEnhancement |
|
Children |
[ line, word, character ], ordered |
|
Description |
This is the container for the information about the application of increased white spacing. |
3.4.8.1 'Line' Attribute Description
Table 3.103 The 'line' attribute for the IncreasedWhiteSpacingTpe class.
|
Descriptor |
Definition |
|---|---|
|
Attribute name |
line |
|
Data type |
Boolean |
|
Value space |
Enumeration set: { true | false }. |
|
Multiplicity |
[1] |
|
Description |
Defines the activation state for line spacing. The functional meaning of the vocabulary entries are: • false - increased white spacing between lines is not activated; • true - increased white spacing between lines is activated. |
3.4.8.2 'Word' Attribute Description
Table 3.104 The 'word' attribute for the IncreasedWhiteSpacingType class.
|
Descriptor |
Definition |
|---|---|
|
Attribute name |
word |
|
Data type |
Boolean |
|
Value space |
Enumeration set: { true | false }. |
|
Multiplicity |
[1] |
|
Description |
Defines the activation state for word spacing. The functional meaning of the vocabulary entries are: • false -increased white spacing between words is not activated; • true - increased white spacing between words is activated. |
3.4.8.3 'Character' Attribute Description
Table 3.105 The 'character' attribute for the IncreasedWhiteSpacingType class.
|
Descriptor |
Definition |
|---|---|
|
Attribute name |
character |
|
Data type |
Boolean |
|
Value space |
Enumeration set: { true | false }. |
|
Multiplicity |
[1] |
|
Description |
Defines the activation state for character spacing. The functional meaning of the vocabulary entries are: • false - increased white spacing between characters is not activated; • true - increased white spacing between characters is activated. |
3.4.9 'ColourOverlay' Class Description
The PIM for the ColourOverlay class is shown in Figure 3.6.
Table 3.106 The 'ColourOverlay' class.
|
Descriptor |
Definition |
|---|---|
|
Class name |
colourOverlay |
|
Class type |
Container (Sequence) |
|
Parents |
APIPScreenEnhancement |
|
Children |
[ assignedSupport, activateByDefault, colour ], ordered |
|
Description |
This is a mechanism in which a color tint is laid over the content (directions and questions) to aid in reading of text. This is the user preferences for colour overlay. |
3.4.9.1 'AssignedSupport' Attribute Description
Table 3.107 The 'assignedSupport' attribute for the ColourOverlay class.
|
Descriptor |
Definition |
|---|---|
|
Attribute name |
assignedSupport |
|
Data type |
AssignedBySupport (Boolean) |
|
Value space |
Enumeration set: { true | false }. Default = true. |
|
Multiplicity |
[1] |
|
Description |
Defines if ColourOverlay is required by the user. The functional meaning of the vocabulary entries are: • false - the capability is not required by the user; • true - the capability is required by the user. |
3.4.9.2 'ActivateByDefault' Attribute Description
Table 3.108 The 'activateByDefault' attribute for the ColourOverlay class.
|
Descriptor |
Definition |
|---|---|
|
Attribute name |
activateByDefault |
|
Data type |
ActivateByDefault (Boolean) |
|
Value space |
Enumeration set: { true | false }. Default = false. |
|
Multiplicity |
[1] |
|
Description |
Defines the default presentation mode of the associated ColourOverlay. The functional meaning of the vocabulary entries are: • false - the default mode is to not present the capability/material; • true - the default mode is to present the capability/material. |
3.4.9.3 'Colour' Attribute Description
Table 3.109 The 'colour' attribute for the ColourOverlay class.
|
Descriptor |
Definition |
|---|---|
|
Attribute name |
colour |
|
Data type |
HexBinary |
|
Value space |
See Appendix A. |
|
Multiplicity |
[0..1] |
|
Description |
This is the preferred colour for the overlay. |
3.4.10 'ForegroundColour' Class Description
The PIM for the ForegroundColour class is shown in Figure 3.6.
Table 3.110 The 'ForegroundColour' class.
|
Descriptor |
Definition |
|---|---|
|
Class name |
ForegroundColour |
|
Class type |
Container (Sequence) |
|
Parents |
APIPScreenEnhancement |
|
Children |
[ assignedSupport, activateByDefault, colour ], ordered |
|
Description |
This is a mechanism in which the foreground colour is changed to aid the usage of the screen. This is the user preferences for foreground colour. |
3.4.10.1 'AssignedSupport' Attribute Description
Table 3.111 The 'assignedSupport' attribute for the ForegroundColour class.
|
Descriptor |
Definition |
|---|---|
|
Attribute name |
assignedSupport |
|
Data type |
AssignedBySupport (Boolean) |
|
Value space |
Enumeration set: { true | false }. Default = true. |
|
Multiplicity |
[1] |
|
Description |
Defines if ForegroundColour change is required by the user. The functional meaning of the vocabulary entries are: • false - the capability is not required by the user; • true - the capability is required by the user. |
3.4.10.2 'ActivateByDefault' Attribute Description
Table 3.112 The 'activateByDefault' attribute for the ForegroundColour class.
|
Descriptor |
Definition |
|---|---|
|
Attribute name |
activateByDefault |
|
Data type |
ActivateByDefault (Boolean) |
|
Value space |
Enumeration set: { true | false }. Default = false. |
|
Multiplicity |
[1] |
|
Description |
Defines the default presentation mode of the associated ForegroundColour. The functional meaning of the vocabulary entries are: • false - the default mode is to not present the capability/material; • true - the default mode is to present the capability/material. |
3.4.10.3 'Colour' Attribute Description
Table 3.113 The 'colour' attribute for the ForegroundColour class.
|
Descriptor |
Definition |
|---|---|
|
Attribute name |
colour |
|
Data type |
HexBinary |
|
Value space |
See Appendix A. |
|
Multiplicity |
[0..1] |
|
Description |
This is the preferred Foreground Colour. |
3.4.11 'BackgroundColour' Class Description
The PIM for the BackgroundColour class is shown in Figure 3.6.
Table 3.114 The 'BackgroundColour' class.
|
Descriptor |
Definition |
|---|---|
|
Class name |
BackgroundColour |
|
Class type |
Container (Sequence) |
|
Parents |
APIPScreenEnhancement |
|
Children |
[ assignedSupport, activateByDefault, colour ], ordered |
|
Description |
This is a mechanism in which the background colour is changed to aid the usage of the screen. This is the user's preferences for foreground colour. |
3.4.11.1 'AssignedSupport' Attribute Description
Table 3.115 The 'assignedSupport' attribute for the BackgroundColour class.
|
Descriptor |
Definition |
|---|---|
|
Attribute name |
assignedSupport |
|
Data type |
AssignedBySupport (Boolean) |
|
Value space |
Enumeration set: { true | false }. Default = true. |
|
Multiplicity |
[1] |
|
Description |
Defines if BackgroundColour change is required by the user. The functional meaning of the vocabulary entries are: • false - the capability is not required by the user; • true - the capability is required by the user. |
3.4.11.2 'ActivateByDefault' Attribute Description
Table 3.116 The 'activateByDefault' attribute for the BackgroundColour class.
|
Descriptor |
Definition |
|---|---|
|
Attribute name |
activateByDefault |
|
Data type |
ActivateByDefault (Boolean) |
|
Value space |
Enumeration set: { true | false }. Default = false. |
|
Multiplicity |
[1] |
|
Description |
Defines the default presentation mode of the associated BackgroundColour. The functional meaning of the vocabulary entries are: • false - the default mode is to not present the capability/material; • true - the default mode is to present the capability/material. |
3.4.11.3 'Colour' Attribute Description
Table 3.117 The 'colour' attribute for the BackgroundColour class.
|
Descriptor |
Definition |
|---|---|
|
Attribute name |
colour |
|
Data type |
HexBinary |
|
Value space |
See Appendix A. |
|
Multiplicity |
[0..1] |
|
Description |
This is the preferred Background Colour. |
3.4.12 'InvertColouChoice' Class Description
The PIM for the InvertColourChoice class is shown in Figure 3.6.
Table 3.118 The 'InvertColourChoice' class.
|
Descriptor |
Definition |
|---|---|
|
Class name |
InvertColourChoice |
|
Class type |
Container (Sequence) |
|
Parents |
APIPScreenEnhancement |
|
Children |
[ assignedSupport, activateByDefault ], ordered |
|
Description |
This is a container for the colour inversion settings. |
3.4.12.1 'AssignedSupport' Attribute Description
Table 3.119 The 'assignedSupport' attribute for the InvertColourChoice class.
|
Descriptor |
Definition |
|---|---|
|
Attribute name |
assignedSupport |
|
Data type |
AssignedBySupport (Boolean) |
|
Value space |
Enumeration set: { true | false }. Default = true. |
|
Multiplicity |
[1] |
|
Description |
Defines if InvertColourChoice change is required by the user. The functional meaning of the vocabulary entries are: • false - the capability is not required by the user; • true - the capability is required by the user. |
3.4.12.2 'ActivateByDefault' Attribute Description
Table 3.120 The 'activateByDefault' attribute for the InvertColourChoice class.
|
Descriptor |
Definition |
|---|---|
|
Attribute name |
activateByDefault |
|
Data type |
ActivateByDefault (Boolean) |
|
Value space |
Enumeration set: { true | false }. Default = false. |
|
Multiplicity |
[1] |
|
Description |
Defines the default presentation mode of the associated InvertColourChoice. The functional meaning of the vocabulary entries are: • false - the default mode is to not present the capability/material; • true - the default mode is to present the capability/material. |
3.4.13 'Magnification' Class Description
The PIM for the Magnification class is shown in Figure 3.6.
Table 3.121 The 'Magnification' class.
|
Descriptor |
Definition |
|---|---|
|
Class name |
InvertColourChoice |
|
Class type |
Container (Sequence) |
|
Parents |
APIPScreenEnhancement |
|
Children |
[ assignedSupport, activateByDefault ], ordered |
|
Description |
This is a container for the Magnification settings. |
3.4.13.1 'AssignedSupport' Attribute Description
Table 3.122 The 'assignedSupport' attribute for the Magnification class.
|
Descriptor |
Definition |
|---|---|
|
Attribute name |
assignedSupport |
|
Data type |
AssignedBySupport (Boolean) |
|
Value space |
Enumeration set: { true | false }. Default = true. |
|
Multiplicity |
[1] |
|
Description |
Defines if Magnification change is required by the user. The functional meaning of the vocabulary entries are: • false - the capability is not required by the user; • true - the capability is required by the user. |
3.4.13.2 'ActivateByDefault' Attribute Description
Table 3.123 The 'activateByDefault' attribute for the Magnification class.
|
Descriptor |
Definition |
|---|---|
|
Attribute name |
activateByDefault |
|
Data type |
ActivateByDefault (Boolean) |
|
Value space |
Enumeration set: { true | false }. Default = false. |
|
Multiplicity |
[1] |
|
Description |
Defines the default presentation mode of the associated Magnification. The functional meaning of the vocabulary entries are: • false - the default mode is to not present the capability/material; • true - the default mode is to present the capability/material. |
4 AfA PNP Extension Binding Description
4.1 Platform Specific Model Representation
The Platform Specific Models (PSMs) for the APIP QTI extensions are shown in Figures:
4.1 APIP Access for All PNP Extension Root;
4.2 APIP Content;
4.3 APIP Alternative Representations;
4.4 APIP Spoken;
4.5 APIP Control;
4.6 APIP Display;
4.7 APIP Screen Enhancement;
4.8 Data-types.

Figure 4.1 APIP AFA PNP extension root PSM.

Figure 4.2 APIP content PSM.

Figure 4.3 APIP content alternative representations PSM.

Figure 4.4 APIP content spoken PSM.

Figure 4.5 APIP control PSM.

Figure 4.6 APIP display PSM.

Figure 4.7 APIP screen enhancement PSM.

Figure 4.8 Data-types PSM.
4.2 Information Model to PMS to XSD Mappings
For the APIP AfA PNP Extensions the mapping between the PIM (Information Model in Section 3) and PSM binding representation (Section 4.1) is detailed in Table 4.1. The key to Table 4.1 is:
• The 'PSM Reference' field refers to information in the PSM description (Section 4.1 in this document). The sub-fields are:
- Name - the name of the data structure in the PSM and PIM
- UML Type - the type of UML construct i.e. either Class or Attribute
- Figure - the reference Figure number in this document;
• The 'PIM Reference' field refers to the Information Model (Section 3). The sub-fields are:
- Type - the type of the data structure in the Information Model
- Table - the reference number of Tabular description in the corresponding Information Model document;
• The 'XSD Reference' field refers to information in the XSD descriptions (Section 4.3 in this document). The sub-fields are:
- Name - the name of the field in the XSD(s)
- Type - the type of XSD construct i.e. either a ComplexType or Element. In the case of a ComplexType there are three sub-divisions of sequence, ComplexType (S), choice, ComplexType (C) and unordered, ComplexType (U).
Table 4.1 Mapping between the PIM (Information Model), PSM (Binding) and XSD descriptions for the APIP AfA PNP Extensions.
|
PSM (Binding) Reference |
PIM (Information) Reference |
XSD Reference |
||||
|---|---|---|---|---|---|---|
|
Name |
UML Type |
Figure |
Type |
Table |
Name |
Type |
|
AccessForAllUser |
Class |
4.1 |
N/A |
N/A |
N/A |
N/A |
|
• apipContent |
Attribute |
4.1 |
APIPContent |
See [APIP, 14c] |
apipContent |
Element |
|
• apipControl |
Attribute |
4.1 |
APIPControl |
See [APIP, 14c] |
apipControl |
Element |
|
• apipDisplay |
Attribute |
4.1 |
APIPDisplay |
See [APIP, 14c] |
apipDisplay |
Element |
|
• apipScreenEnhancement |
Attribute |
4.1 |
APIPScreenEnhancement |
See [APIP, 14c] |
apipScreenEnhancement |
Element |
|
• assignedSupport |
Attribute |
4.1 |
AssignedSupport |
Appendix A (Table A1.1) |
assignedSupport |
Element |
|
• activateByDefault |
Attribute |
4.1 |
ActivateByDefault |
Appendix A (Table A1.1) |
activateByDefault |
Element |
|
APIPContent |
Class |
4.2 |
- |
3.1 |
APIPContent.Type |
ComplexType (U) |
|
• languageLearner |
Attribute |
4.2 |
LanguageLearner |
3.2 |
languageLearner |
Element |
|
• cognitiveGuidance |
Attribute |
4.2 |
CognitiveGuidance |
3.3 |
guidance |
Element |
|
• scaffolding |
Attribute |
4.2 |
Scaffolding |
3.4 |
scaffolding |
Element |
|
• chunking |
Attribute |
4.2 |
Chunking |
3.5 |
chunking |
Element |
|
• keywordEmphasis |
Attribute |
4.2 |
KeywordEmphasis |
3.6 |
keywordEmphasis |
Element |
|
• reducedAnswers |
Attribute |
4.2 |
ReducedAnswers |
3.7 |
reducedAnswers |
Element |
|
• negativesRemoved |
Attribute |
4.2 |
NegativesRemoved |
3.8 |
negativesRemoved |
Element |
|
• alternativeRepresentations |
Attribute |
4.2 |
AlternativeRepresentations |
3.9 |
alternativeRepresentations |
Element |
|
• keywordTranslations |
Attribute |
4.2 |
KeywordTranslations |
3.10 |
keywordTranslations |
Element |
|
• itemTranslationDisplay |
Attribute |
4.2 |
ItemTranslationDisplay |
3.11 |
itemTranslationDisplay |
Element |
|
• signing |
Attribute |
4.2 |
Signing |
3.12 |
signingMode |
Element |
|
• spoken |
Attribute |
4.2 |
Spoken |
3.13 |
spoken |
Element |
|
• simplifiedLanguage |
Attribute |
4.2 |
SimplifiedLanguage |
3.14 |
simplifiedLanguage |
Element |
|
LanguageLearner |
Class |
4.2 |
- |
3.15 |
LanguageLearner.Type |
ComplexType (S) |
|
• assignedSupport |
Attribute |
4.2 |
Boolean |
3.16 |
assignedSupport |
Element |
|
• activateByDefault |
Attribute |
4.2 |
Boolean |
3.17 |
activateByDefault |
Element |
|
CongitiveGuidance |
Class |
4.2 |
- |
3.18 |
CognitiveGuidance.Type |
ComplexType (S) |
|
• assignedSupport |
Attribute |
4.2 |
Boolean |
3.19 |
assignedSupport |
Element |
|
• activateByDefault |
Attribute |
4.2 |
Boolean |
3.20 |
activateByDefault |
Element |
|
Scaffolding |
Class |
4.2 |
- |
3.21 |
Scaffolding.Type |
ComplexType (S) |
|
• assignedSupport |
Attribute |
4.2 |
Boolean |
3.22 |
assignedSupport |
Element |
|
• activateByDefault |
Attribute |
4.2 |
Boolean |
3.23 |
activateByDefault |
Element |
|
Chunking |
Class |
4.2 |
- |
3.24 |
Chunking.Type |
ComplexType (S) |
|
• assignedSupport |
Attribute |
4.2 |
Boolean |
3.25 |
assignedSupport |
Element |
|
• activateByDefault |
Attribute |
4.2 |
Boolean |
3.26 |
activateByDefault |
Element |
|
KeywordEmphasis |
Class |
4.2 |
- |
3.27 |
KeywordEmphasis.Type |
ComplexType (S) |
|
• assignedSupport |
Attribute |
4.2 |
Boolean |
3.28 |
assignedSupport |
Element |
|
• activateByDefault |
Attribute |
4.2 |
Boolean |
3.29 |
activateByDefault |
Element |
|
ReducedAnswers |
Class |
4.2 |
- |
3.30 |
ReducedAnswers.Type |
ComplexType (S) |
|
• assignedSupport |
Attribute |
4.2 |
Boolean |
3.31 |
assignedSupport |
Element |
|
• activateByDefault |
Attribute |
4.2 |
Boolean |
3.32 |
activateByDefault |
Element |
|
NegativesRemoved |
Class |
4.2 |
- |
3.33 |
NegativesRemoved.Type |
ComplexType (S) |
|
• assignedSupport |
Attribute |
4.2 |
Boolean |
3.34 |
assignedSupport |
Element |
|
• activateByDefault |
Attribute |
4.2 |
Boolean |
3.35 |
activateByDefault |
Element |
|
KeywordTranslations |
Class |
4.2 |
- |
3.36 |
KeywordTranslations.Type |
ComplexType (S) |
|
• language |
Attribute |
4.2 |
Enumeration (Language) |
3.37 |
xml:lang |
Attribute |
|
• assignedSupport |
Attribute |
4.2 |
Boolean |
3.38 |
assignedSupport |
Element |
|
• activateByDefault |
Attribute |
4.2 |
Boolean |
3.39 |
activateByDefault |
Element |
|
ItemTranslationDisplay |
Class |
4.2 |
- |
3.40 |
ItemTranslationDisplay.Type |
ComplexType (S) |
|
• language |
Attribute |
4.2 |
Enumeration (Language) |
3.41 |
xml:lang |
Attribute |
|
• assignedSupport |
Attribute |
4.2 |
Boolean |
3.42 |
assignedSupport |
Element |
|
• activateByDefault |
Attribute |
4.2 |
Boolean |
3.43 |
activateByDefault |
Element |
|
Signing |
Class |
4.2 |
- |
3.44 |
Signing.Type |
ComplexType (S) |
|
• assignedSupport |
Attribute |
4.2 |
Boolean |
3.45 |
assignedSupport |
Element |
|
• activateByDefault |
Attribute |
4.2 |
Boolean |
3.46 |
activateByDefault |
Element |
|
• signingType |
Attribute |
4.2 |
Enumeration |
3.47 |
signingType |
Element |
|
SimplifiedLanguage |
Class |
4.2 |
- |
3.48 |
SimplifiedLanguage.Type |
ComplexType (S) |
|
• assignedSupport |
Attribute |
4.2 |
Boolean |
3.49 |
assignedSupport |
Element |
|
• activateByDefault |
Attribute |
4.2 |
Boolean |
3.50 |
activateByDefault |
Element |
|
AlternativeRepresentations |
Class |
4.3 |
- |
3.51 |
AlternativeRepresentations.Type |
ComplexType (S) |
|
• assignedSupport |
Attribute |
4.3 |
Boolean |
3.52 |
assignedSupport |
Element |
|
• activateByDefault |
Attribute |
4.3 |
Boolean |
3.53 |
activateByDefault |
Element |
|
• alternativeRepresentationType |
Attribute |
4.3 |
Enumeration |
3.54 |
alernativeRepresentationType |
Element |
|
Spoken |
Class |
4.4 |
- |
3.55 |
Spoken.Type |
ComplexType (S) |
|
• assignedSupport |
Attribute |
4.4 |
Boolean |
3.56 |
assignedSupport |
Element |
|
• activateByDefault |
Attribute |
4.4 |
Boolean |
3.57 |
activateByDefault |
Element |
|
• spokenSourcePreference |
Attribute |
4.4 |
Enumeration |
3.58 |
spokenSourcePreference |
Element |
|
• readAtStartPreference |
Attribute |
4.4 |
Boolean |
3.59 |
readAtStartPreference |
Element |
|
• userSpokenPreference |
Attribute |
4.4 |
Boolean |
3.60 |
userSpokenPreference |
Element |
|
• directionsOnly |
Attribute |
4.4 |
Boolean |
3.61 |
directionsOnly |
Element |
|
APIPControl |
Class |
4.5 |
- |
3.78 |
APIPControl.Type |
ComplexType (U) |
|
• breaks |
Attribute |
4.5 |
Breaks |
3.79 |
breaks |
Element |
|
• additionalTestingTime |
Attribute |
4.5 |
AdditionalTestingTime |
3.80 |
additionalTestingTime |
Element |
|
• lineReader |
Attribute |
4.5 |
LineReader |
3.81 |
lineReader |
Element |
|
Breaks |
Class |
4.5 |
- |
3.82 |
Breaks.Type |
ComplexType (S) |
|
• assignedSupport |
Attribute |
4.5 |
Boolean |
3.83 |
assignedSupport |
Element |
|
AdditionalTestingTime |
Class |
4.5 |
- |
3.84 |
AdditionalTestingTime.Type |
ComplexType (S) |
|
• assignedSupport |
Attribute |
4.5 |
Boolean |
3.85 |
assignedSupport |
Element |
|
• timeMultiplier |
Attribute |
4.5 |
Decimal or 'unlimited' |
3.86 |
timeMultiplier |
Element |
|
LineReaderUse |
Class |
4.5 |
- |
3.87 |
LineReaderUse.Type |
ComplexType (S) |
|
• assignedSupport |
Attribute |
4.5 |
Boolean |
3.88 |
assignedSupport |
Element |
|
• activateByDefault |
Attribute |
4.5 |
Boolean |
3.89 |
activateByDefault |
Element |
|
• colour |
Attribute |
4.5 |
HexBinary |
3.90 |
colour |
Element |
|
APIPDisplay |
Class |
4.6 |
- |
3.62 |
APIPDisplay.Type |
ComplexType (U) |
|
• masking |
Attribute |
4.6 |
Masking |
3.63 |
masking |
Element |
|
• encouragement |
Attribute |
4.6 |
Encouragement |
3.64 |
encouragement |
Element |
|
• auditoryBackground |
Attribute |
4.6 |
AuditoryBackground |
3.65 |
auditoryBackground |
Element |
|
Masking |
Class |
4.6 |
- |
3.66 |
Masking.Type |
ComplexType (S) |
|
• assignedSupport |
Attribute |
4.6 |
Boolean |
3.67 |
assignedSupport |
Element |
|
• activateByDefault |
Attribute |
4.6 |
Boolean |
3.68 |
activateByDefault |
Element |
|
• maskingType |
Attribute |
4.6 |
Enumeration |
3.69 |
maskingType |
Element |
|
Encouragement |
Class |
4.6 |
- |
3.70 |
Encouragement.Type |
ComplexType (S/C) |
|
• assignedSupport |
Attribute |
4.6 |
Boolean |
3.71 |
assignedSupport |
Element |
|
• activateByDefault |
Attribute |
4.6 |
Boolean |
3.72 |
activateByDefault |
Element |
|
• textMessageString |
Attribute |
4.6 |
NormalizedString |
3.73 |
textMessageString |
Element |
|
• soundFileHref |
Attribute |
4.6 |
URI |
3.74 |
soundFileHref |
Element |
|
AuditoryBackground |
Class |
4.6 |
- |
3.75 |
AuditoryBackground.Type |
ComplexType (S) |
|
• assignedSupport |
Attribute |
4.6 |
Boolean |
3.76 |
assignedSupport |
Element |
|
• activateByDefault |
Attribute |
4.6 |
Boolean |
3.77 |
activateByDefault |
Element |
|
APIPScreenEnhancement |
Class |
4.7 |
- |
3.91 |
APIPScreenEnhancement.Type |
ComplexType (U) |
|
• increasedWhiteSpacing |
Attribute |
4.7 |
IncreasedWhiteSpacing |
3.92 |
increasedWhiteSpacing |
Element |
|
• colourOverlay |
Attribute |
4.7 |
ColourOverlay |
3.93 |
colourOverlay |
Element |
|
• foregroundColour |
Attribute |
4.7 |
ForegroundColour |
3.94 |
foregroundColour |
Element |
|
• backgroundColour |
Attribute |
4.7 |
BackgroundColour |
3.95 |
backgroundColour |
Element |
|
• invertColourChoice |
Attribute |
4.7 |
InvertColourChoice |
3.96 |
invertColourChoice |
Element |
|
• magnification |
Attribute |
4.7 |
Magnification |
3.97 |
magnification |
Element |
|
IncreasedWhiteSpacing |
Class |
4.7 |
- |
3.98 |
IncreasedWhiteSpacing.Type |
ComplexType S) |
|
• assignedSupport |
Attribute |
4.7 |
Boolean |
3.99 |
assignedSupport |
Element |
|
• activateByDefault |
Attribute |
4.7 |
Boolean |
3.100 |
activateByDefault |
Element |
|
• increasedWhiteSpacingType |
Attribute |
4.7 |
IncreasedWhiteSpacingType |
3.101 |
increasedWhiteSpacingType |
Element |
|
IncreasedWhiteSpacingType |
Class |
4.7 |
- |
3.102 |
IncreasedWhiteSpacingType.Type |
ComplexType S) |
|
• line |
Attribute |
4.7 |
Boolean |
3.103 |
line |
Element |
|
• word |
Attribute |
4.7 |
Boolean |
3.104 |
word |
Element |
|
• character |
Attribute |
4.7 |
Boolean |
3.105 |
character |
Element |
|
ColourOverlay |
Class |
4.7 |
- |
3.106 |
ColourOverlay.Type |
ComplexType (S) |
|
• assignedSupport |
Attribute |
4.7 |
Boolean |
3.107 |
assignedSupport |
Element |
|
• activateByDefault |
Attribute |
4.7 |
Boolean |
3.108 |
activateByDefault |
Element |
|
• colour |
Attribute |
4.7 |
HexBinary |
3.109 |
colour |
Element |
|
foregroundColour |
Class |
4.7 |
- |
3.110 |
ForegroundColour.Type |
ComplexType (S) |
|
• assignedSupport |
Attribute |
4.7 |
Boolean |
3.111 |
assignedSupport |
Element |
|
• activateByDefault |
Attribute |
4.7 |
Boolean |
3.112 |
activateByDefault |
Element |
|
• colour |
Attribute |
4.7 |
HexBinary |
3.113 |
colour |
Element |
|
backgroundColour |
Class |
4.7 |
- |
3.114 |
BackgroundColour.Type |
ComplexType (S) |
|
• assignedSupport |
Attribute |
4.7 |
Boolean |
3.115 |
assignedSupport |
Element |
|
• activateByDefault |
Attribute |
4.7 |
Boolean |
3.116 |
activateByDefault |
Element |
|
• colour |
Attribute |
4.7 |
HexBinary |
3.117 |
colour |
Element |
|
InvertColourChoice |
Class |
4.7 |
- |
3.118 |
InvertColourChoice.Type |
ComplexType (S) |
|
• assignedSupport |
Attribute |
4.7 |
Boolean |
3.119 |
assignedSupport |
Element |
|
• activateByDefault |
Attribute |
4.7 |
Boolean |
3.120 |
activateByDefault |
Element |
|
Magnification |
Class |
4.7 |
- |
3.121 |
Magnification.Type |
ComplexType (S) |
|
• assignedSupport |
Attribute |
4.7 |
Boolean |
3.122 |
assignedSupport |
Element |
|
• activateByDefault |
Attribute |
4.7 |
Boolean |
3.123 |
activateByDefault |
Element |
4.3 XSD Listing
The XSD for the APIP AfA PNP extensions information model is available in the file:
• 'apipv1p0_afapnpextv1p0_v1p0.xsd'.
This XSD was created by using the I-BAT 1.0 on the PSM (shown in sub-section 4.1).
This XSD should be used in conjunction with the profiled version of the 1EdTech AfA PNP v2.0 specification available in the file:
• 'apipv1p0_afapnpv2p0_v1p0.xsd'.
The extensions are inserted into the profiled AfA PNP XSD using a name-spacing approach.
5 Bulk AfA PNP Information Model
5.1 AccessForAllUserRecords Class
The Platform Independent Model (PIM) for the AccessForAllUserRecords class is shown in Figure 5.1.

Figure 5.1 AccessForAllUserRecords class.
5.1.1 'AccessForAllUserRecords' Attribute Description
Table 5.1 The 'accessForAllUserRecords' attribute.
|
Descriptor |
Definition |
|---|---|
|
Attribute name |
accessForAllUserRecords |
|
Data type |
AccessForAllUserRecords |
|
Value space |
Container (Sequence) |
|
Multiplicity |
[1] |
|
Description |
This is the root structure for the set APIP Access for All PNP v2.0 records. |
Table 5.2 The 'AccessForAllUserRecords' class.
|
Descriptor |
Definition |
|---|---|
|
Class name |
AccessForAllUserRecords |
|
Class type |
Container (Sequence) |
|
Parents |
Root |
|
Children |
[ accessForAllUserRecord ], ordered |
|
Description |
This is the container for the set of APIP Access For All PNPv2.0 User Records. |
5.1.2 'AccessForAllUserRecord' Attribute Description
Table 5.3 The 'accessForAllUserRecord' attribute for the AccessForAllUserRecords class.
|
Descriptor |
Definition |
|---|---|
|
Attribute name |
accessForAllUserRecord |
|
Data type |
AccessForAllUserRecord |
|
Value space |
Container (Sequence) |
|
Multiplicity |
[1..unbounded] |
|
Description |
Used to describe each of the individual APIP Access for All PNPv2.0 user records. |
5.2 AccessForAllUserRecord Class
The Platform Independent Model (PIM) for the AccessForAllUserRecord class is shown in Figure 5.1.
Table 5.4 The 'AccessForAllUserRecord' class.
|
Descriptor |
Definition |
|---|---|
|
Class name |
AccessForAllUserRecord |
|
Class type |
Container (Sequence) |
|
Parents |
AccessForAllUserRecords |
|
Children |
[ personSourcedId, appointmentId, accessForAllUser ], ordered |
|
Description |
This is the container for each of the APIP Access For All PNPv2.0 User Records. |
5.2.1 'PersonSourcedId' Attribute Description
Table 5.5 The 'personSourcedId' attribute for the AccessForAllUserRecord class.
|
Descriptor |
Definition |
|---|---|
|
Attribute name |
personSourcedId |
|
Data type |
PersonSourcedId |
|
Value space |
Normalized String. |
|
Multiplicity |
[1] |
|
Description |
This is the unique identifier for the person who owns the PNP record. |
5.2.2 'AppointmentId' Attribute Description
Table 5.6 The 'appointmentId' attribute for the AccessForAllUserRecord class.
|
Descriptor |
Definition |
|---|---|
|
Attribute name |
appointmentId |
|
Data type |
Normalized String. |
|
Value space |
See Appendix A. |
|
Multiplicity |
[0..unbounded] |
|
Description |
This is an identifier that has been assigned to the individual as part of the learning process for which the PNP record will be used. |
5.2.3 'AccessForAllUser' Attribute Description
Table 5.7 The 'accessForAllUser' attribute for the AccessForAllUserRecord class.
|
Descriptor |
Definition |
|---|---|
|
Attribute name |
accessForAllUser |
|
Data type |
AccessForAllUser. |
|
Value space |
Container (Sequence) |
|
Multiplicity |
[1] |
|
Description |
This is actual APIP Access For All PNPv2.0 instance. This consists of the original AfA PNP specification information [AfAPNP, 09] amended to support the inserted APIP-specific information (see Sections 3 and 4 of this document). |
5.3 PersonSoudedId Class
The Platform Independent Model (PIM) for the PersonSourcedId class is shown in Figure 5.1.
Table 5.8 The 'PersonSourcedId' class.
|
Descriptor |
Definition |
|---|---|
|
Class name |
PersonSourcedId |
|
Class type |
Normalized String |
|
Parents |
AccessForAllUserRecord |
|
Children |
[ sourceSystem ] |
|
Description |
This is the container for the unique identification of the owner of the associated AfA PNP information. |
5.3.1 'SourceSystem' Attribute Description
Table 5.9 The 'sourceSystem' attribute for the PersonSourcedId class.
|
Descriptor |
Definition |
|---|---|
|
Attribute name |
sourceSystem |
|
Data type |
Normalized String |
|
Value space |
See Appendix A. |
|
Multiplicity |
[1] |
|
Description |
This is identifier for the system that allocated/generated the identifier assigned to the person who owns the APIP AfA PNP record. |
6 Bulk AfA PNP Extension Binding Description
6.1 Platform Specific Model Representation
The Platform Specific Models (PSMs) for the APIP AfA PNP Bulk records are shown in Figures:
6.1 APIP Access for All PNP Records Root;
6.2 APIP Access for All PNP Records.

Figure 6.1 APIP AFA PNP records root PSM.

Figure 6.2 APIP AFA PNP records PSM.
6.2 Information Model to PMS to XSD Mappings
For the APIP AfA PNP Extensions the mapping between the PIM (Information Model in Section 5) and PSM binding representation (Section 6.1) is detailed in Table 6.1. The key to Table 6.1 is given in Section 4.2 of this document.
Table 6.1 Mapping between the PIM (Information Model), PSM (Binding) and XSD descriptions for the APIP AfA PNP records.
|
PSM (Binding) Reference |
PIM (Information) Reference |
XSD Reference |
||||
|---|---|---|---|---|---|---|
|
Name |
UML Type |
Figure |
Type |
Table |
Name |
Type |
|
AccessForAllUserRecords |
Class |
5.1 |
N/A |
5.2 |
AccessForAllUserRecords.Type |
ComplexType (S) |
|
• accessForAllUserRecord |
Attribute |
5.1 |
AccessForAllUserRecord |
5.3 |
accessForAllUserRecord |
Element |
|
AccessForAllUserRecord |
Class |
5.1 |
- |
5.4 |
AccessForAllUserRecord.Type |
ComplexType (S) |
|
• personSourcedId |
Attribute |
5.1 |
PersonSourcedId |
5.5 |
personSourcedId |
Element |
|
• appontmentId |
Attribute |
5.1 |
Normalized String |
5.6 |
appointmentId |
Element |
|
• accessForAllUser |
Attribute |
5.1 |
AccessForAllUser |
5.7 |
accessForAllUser |
Element |
|
PersonSourcedId |
Class |
5.1 |
- |
5.8 |
PersonSurcedId.Type |
ComplexType (S) |
|
• sourceSystem |
Attribute |
5.1 |
Normalized String |
5.9 |
sourceSystem |
Attribute |
6.3 XSD Listing
The XSD for the APIP AfA PNP records information model is available in the file:
• 'apipv1p0_afapnpv2p0records_v1p0.xsd'.
This XSD was created by using the I-BAT v1.0 on the PSM (shown in sub-section 6.1).
This XSD should be used in conjunction with the profiled version of the 1EdTech AfA PNP v2.0 specification available in the files:
• 'apipv1p0_afapnpv2p0_v1p0.xsd'.
• 'apipv1p0_afapnpextv1p0_v1p0.xsd'.
The extensions are inserted into the profiled AfA PNP XSDs using a name-spacing approach.
Appendix A The 1EdTech UML Profile Notation
The APIP Information Models are expressed using the standard 1EdTech representation in the Unified Modeling Language (UML). Classes in this information model are classified into one of four types. These abstractions are bound to specific data structures for machine processing in the associated bindings. The abstract class types are:
• Unordered, Sequence, or Selection: A container class may be a parent of one or more child classes (the Parent/Child notation is used to indicate the nature of the relationship as distinct from inheritance i.e. this does not denote any form of inheritance). The 'Unordered' container does not require the order of the contained attributes to be maintained, the 'Sequence' container denotes information whose order must be maintained and the 'Selection' container denotes a selection of the contained attributes;
• Value: A value class shall not be a parent. That is, it shall not be a composite of container, value, or unspecified class types. A value class shall always be a child of a container class and shall have semantic value within the scope of its parent class's semantic value;
• PrimitiveType: This is a class that is used to denote a basic data-type for the specification;
• Unspecified: An unspecified class may be a parent. An unspecified class serves as an extension point for this Information Model.
Table A1.1 lists the class and attribute descriptors used to describe the abstract classes and definitions of the descriptors.
Table A1.1 Class and attribute descriptors
|
Descriptor |
Definition |
|---|---|
|
Class name |
The name given to the class being described. |
|
Class type |
The abstract class type of this class. |
|
Data type |
For value classes, the allowed structure for valid values for the class. Valid data types are: ActivateByDefault: A Boolean value depicting the default activation state of the associated capability: 'true' means that the capability is set as operational. AssignedSupport: A Boolean value depicting if the associated capability is required by the user: 'true' means that the capability is required by the user. Boolean: The primitive, two-valued data type that uses the keywords 'true' and 'false' to indicate the logical state of an object. Float: A single precision loating point number (32-bit). HexBinary: This is a binary value coded in hexadecimal. The range supported is '00000000' to 'FFFFFFFF'. Integer: An integer (positive or negative). Language: This is the set of codes for language identification as defined by ISO 639-1 and ISO 639-2 coupled with the country code as defined by ISO 3166-1 (creating a language code-country code format). NormalizedString: A sequence of printable characters that does not contain carriage returns or tabs. There is no length constraint. URI: Any syntactically valid instance of a URI as defined in RFC3986. Note: Many of the foundational Specifications, Standards, and Recommendations referred to by this Information Model use RFC2396 and RFC2732 as the definitions of URI. These are made obsolete by RFC3986, but many of the foundational documents have not been updated to reference RFC3986. |
|
Value space |
The range of valid values for this class. If the value space is unspecified, it is not known or is not important. This value space is defined in terms of the associated data-type. |
|
Multiplicity |
A property of a class indicating the number of times it may be used or appear in a given parent context. The values of this property are expressed as a range or shorthand for a range using this notation:
Multiplicities may also appear in short-hand notation in the UML models. The short-hand equivalents shall be (exclusive of bracketed comments):
Where multiplicity is greater than one, the importance of the ordering of siblings is also indicated by appending either ','ordered or ',' unordered. ordered specifies a sequence of siblings as listed, unordered specifies a collection or bag of siblings for which the order is not important. The default value is unordered. |
|
Scope |
The scope of the attribute is define as either: • '-' denotes local; • '+' denotes global. The appropriate symbol precedes the name of the attribute. |
|
Parents |
Lists classes that may be parents of this class. |
|
Children |
Lists the set of attributes and associations of this class in the form '[' child *',' child ']'. One or more child classes may be expressed within square brackets. Each relationship in the list shall be separated by a comma. Where more than one child is listed, the importance of the ordering of siblings is also indicated by appending either ','ordered or ',' unordered. ordered specifies a sequence of siblings as listed. unordered specifies a collection or bag of sibling for which the order is not important. The default value is unordered. |
|
Description |
Contains descriptions relating to the class and its values space. |
In general, this specification does not define the ways in which an end system must be realized. However, the required interoperability behavior requires that an end system have certain characteristics. The static properties of these characteristics defined in this Section include:
• When an attribute has a multiplicity of '1..1', an end system must be capable of supporting one instance;
• When an attribute has a multiplicity of '1..*', an end system must be capable of supporting at least one instance. The specification will also define the smallest permitted maximum number of instances that must also be supported by the end system;
• When an attribute has a multiplicity of '0..1', an end system should support a single instance;
• When an attribute has a multiplicity of '0..*', the specification will define the smallest permitted maximum number of instances that must also be supported by the end system.
About this Document
Title: 1EdTech Accessible Portable Item Protocol (APIP) Technical Specification for the AfA PNPv2.0 Features
Editors: Colin Smythe (1EdTech), Mark McKell (1EdTech) and Mike Russell (Measured Progress)
Co-chairs: Gary Driscoll (ETS), Thomas Hoffmann (Measured Progress) and Wayne Ostler (Pearson)
Version: 1.0
Version Date: 31 March 2014
Status: Final Specification
Summary: The aim of the APIP Project is to use well established e-learning interoperability standards to enable the exchange of accessible assessment content between computer-based assessment systems, tools and applications. Users of systems, tools and applications that adopt the APIP are able to use their accessible assessment content on a wide range of systems. This document contains the information model and binding description for the new features that extend the 1EdTech Access for All Personal Needs & Preferences (AfA PNP) v2.1 specification to support portable accessibility functionality for items and tests. This includes support for the exchange of a set of APIP AfA PNP instances.
Purpose: This document is made available for adoption by the public community at large.
Document Location: http://www.imsglobal.org/apip/
List of Contributors
The following individuals contributed to the development of this document:
|
Rob Abel, 1EdTech (USA) |
Justin Marks, NWEA (USA) |
|
Michael Aumock, Pacific Metrics (USA) |
Mark McKell, 1EdTech (USA) |
|
Marty Christensen, ACT (USA) |
Sue Milne, JISC (UK) |
|
Jason Craft, Pearson (USA) |
Wayne Ostler, Pearson (USA) |
|
Gary Driscoll, ETS (USA) |
Zack Pierce, Measured Progress (USA) |
|
Eric Hansen, ETS (USA) |
Michelle Richard, Pearson (USA) |
|
Regina Hoag, ETS (USA) |
Mike Russell, Measured Progress (USA) |
|
Thomas Hoffmann, Measured Progress (USA) |
Farhat Siddiqui, ETS (USA) |
|
Wilbert Kraan, JISC (UK) |
Colin Smythe, 1EdTech (UK) |
|
Devin Loftis, McGraw-Hill/CTB (USA) |
Wyatt VanderStucken, ETS (USA) |
Revision History
|
Version No. |
Release Date |
Comments |
|
Final Specification V1.0 |
31 March 2014 |
The Final Specification version of this document. |
|
|
|
|
1EdTech Consortium, Inc. ("1EdTech") is publishing the information contained in this document ("Specification") for purposes of scientific, experimental, and scholarly collaboration only.
1EdTech makes no warranty or representation regarding the accuracy or completeness of the Specification.
This material is provided on an "As Is" and "As Available" basis.
The Specification is at all times subject to change and revision without notice.
It is your sole responsibility to evaluate the usefulness, accuracy, and completeness of the Specification as it relates to you.
1EdTech would appreciate receiving your comments and suggestions.
Please contact 1EdTech through our website at http://www.imsglobal.org.
Please refer to Document Name: 1EdTech APIP Technical Specification for AfA PNPv2.0 Features Final Specification v1.0
Date: 31 March 2014

