![]() |
1EdTech GLC Bulk Data Exchange Management Service WSDL/XSD Binding Version 1.0 Final Release Specification Final 1.0 |
Date Issued: 30 June 2011
Latest version: /lis/
IPR and Distribution Notices
Recipients of this document are requested to submit, with their comments, notification of any relevant patent claims or other intellectual property rights of which they may be aware that might be infringed by any implementation of the specification set forth in this document, and to provide supporting documentation.
1EdTech takes no position regarding the validity or scope of any intellectual property or other rights that might be claimed to pertain to the implementation or use of the technology described in this document or the extent to which any license under such rights might or might not be available; neither does it represent that it has made any effort to identify any such rights. Information on 1EdTech's procedures with respect to rights in 1EdTech specifications can be found at the 1EdTech Intellectual Property Rights web page: /imsipr_policyFinal.pdf.
Copyright © 2011 1EdTech Consortium. All Rights Reserved.
If you wish to copy or distribute this document, you must complete a valid Registered User license registration with 1EdTech and receive an email from 1EdTech granting the license to distribute the specification. To register, follow the instructions on the 1EdTech website: /specificationdownload.cfm
This document may be copied and furnished to others by Registered Users who have registered on the 1EdTech website provided that the above copyright notice and this paragraph are included on all such copies. However, this document itself may not be modified in any way, such as by removing the copyright notice or references to 1EdTech, except as needed for the purpose of developing 1EdTech specifications, under the auspices of a chartered 1EdTech project group.
Use of this specification to develop products or services is governed by the license with 1EdTech found on the 1EdTech website: /license.html
The limited permissions granted above are perpetual and will not be revoked by 1EdTech or its successors or assigns.
THIS SPECIFICATION IS BEING OFFERED WITHOUT ANY WARRANTY WHATSOEVER, AND IN PARTICULAR, ANY WARRANTY OF NONINFRINGEMENT IS EXPRESSLY DISCLAIMED. ANY USE OF THIS SPECIFICATION SHALL BE MADE ENTIRELY AT THE IMPLEMENTER'S OWN RISK, AND NEITHER THE CONSORTIUM, NOR ANY OF ITS MEMBERS OR SUBMITTERS, SHALL HAVE ANY LIABILITY WHATSOEVER TO ANY IMPLEMENTER OR THIRD PARTY FOR ANY DAMAGES OF ANY NATURE WHATSOEVER, DIRECTLY OR INDIRECTLY, ARISING FROM THE USE OF THIS SPECIFICATION.
Table of Contents
- Introduction
- Platform Specific Model of the Binding
- Application of the Binding Guidelines
- WSDL File Documentation
- XSD File Documentation
- Binding of the Vocabularies
- Appendix A - Listing of the WSDLs
- Appendix B - Listing of the XSDs
- Appendix C - Vocabulary VDEX Instance File Listings
- Appendix D - Example SOAP Messages
- About This Document
- Revision History
1. Introduction
This document is a part of the 1EdTech GLC Bulk Data Exchange Management Service (BDEMS) v1.0 specification. The binding details how the Bulk Data Management Service Information Model is realised as a Web Service; in the form of a Web Services Description Language (WSDL) file. The BDEMS binding is contained in a set of WSDL, XSD and vocabulary files. The vocabulary files are instances of the 1EdTech Vocabulary Definition Exchange specification [VDEX, 04a], [VDEX, 04b]. The 1EdTech GLC Learning Information Services (LIS) Best Practice and Implementation Guide [LIS, 11b] provides non-normative guidance on how to use the Binding and Information Model. For a conceptual overview of the LIS Specification, please see the overall services description [LIS, 11a]. For a discussion of potential applications, see the Best Practice Guide.
1.1 Scope and Context
The 1EdTech GLC BDEMS WSDL Binding v1.0 is used in conjunction with the following documents:
- 1EdTech GLC Bulk Data Exchange Management Service Information Model v1.0 [BDEMS, 11] � the behaviour and data model definition of the Bulk Data Exchange Management Service;
- 1EdTech GLC Learning Information Services Best Practice and Implementation Guide v1.0 [LIS, 11b] � key information on how to adopt and implement the specification.
This WSDL binding takes the Bulk Data Exchange Management Service Information Model and produces an encoding of that description in WSDL. This WSDL binding is generated as recommended by the 1EdTech GLC General Web Services documents [GWS, 06a], [GWS, 06b]. The WSDL is created using the IMC GLC Binding Auto-generation Tool-kit (I-BAT) [I-BAT, 06].
1.2 Structure of this Document
The structure of this document is:
| 2. Platform Specific Model of the Binding | The description platform specific models in the form of the 1EdTech GLC UML-Profile service/data models representation of the 1EdTech GLC GMS specification information model. This representation is used by the 1EdTech GLC I-BAT tool to auto-generate the corresponding WSDL/XSDs; |
| 3. Application of the Binding Guidelines | Explanation of how the platform specific model is realised as the WDSDL/XSD binding. This addresses how the information model is realised as a Web Service; |
| 4. WSDL File Documentation | The description of the Web Services used to realise the service model components of the binding. This part of the binding document was created using the schema documentation tool provided as part of the Oxygen 12.2 product; |
| 5. XSD File Documentation | The description of the elements used within the data model components of the binding. This part of the binding document was created using the schema documentation tool provided as part of the Oxygen 12.2 product; |
| 6. Binding of the Vocabularies | Contains the description of how the set of external vocabulary files are realised as VDEX files; |
| Appendix A - Listing of the WSDL Files | This is the full listing of the BDEMS WSDL files; |
| Appendix B - Listing of the XSD Files | This is the full listing of the BDEMS XSD files; |
| Appendix C - Vocabulary VDEX Instance File Listings | This is the full listing of the set of external vocabulary VDEX instance files; |
| Appendix D - Examples SOAP Messages | Examples of the SOAP messages that are exchanged to realise the service. |
1.3 Nomenclature
| BDEMS | Bulk Data Exchange Management Service |
| CMS | Course Management Service |
| GMS | Group Management Service |
| HTTP | HyperText Transfer Protocol |
| I-BAT | 1EdTech GLC Binding Auto-generation Tool-kit |
| 1EdTech GLC | 1EdTech Consortium |
| LIS | Learning Information Services |
| MDA | Model Driven Architecture |
| MMS | Membership Management Service |
| OMS | Outcomes Management Service |
| PIM | Platform Independent Model |
| PMS | Person Management Service |
| PSM | Platform Specific Model |
| UML | Unified Modelling Language |
| VDEX | Vocabulary Definition Exchange |
| W3C | World Wide Web Consortium |
| WSDL | Wed Services Description Language |
| XMI | XML Meta-data Interchange |
| XML | Extensible Mark-up Language |
| XSD | XML Schema Definition |
| XSL | Extensible Stylesheet Language |
| XSLT | XSL Transformations |
1.4 References
| [BDEMS, 11] | 1EdTech GLC Bulk Data Exchange Management Services v1.0 Information Model Specification Final Release v1.0, L.Feng, B.Lee and C.Smythe, 1EdTech Consortium, June 2011. |
| [GWS, 06a] | 1EdTech GLC General Web Services Base Profile Specification Final Release v1.0, C.Schroeder, J.Simon and C.Smythe, 1EdTech Consortium, January 2006. |
| [GWS, 06b] | 1EdTech GLC General Web Services WSDL Binding Guidelines Final Release v1.0, C.Schroeder, J.Simon and C.Smythe, 1EdTech Consortium, January 2006. |
| [I-BAT, 06] | 1EdTech Binding Auto-generation Toolkit Manual v1.0, C.Smythe, 1EdTech Consortium, July 2006. |
| [LIS, 11a] | 1EdTech GLC Learning Information Services v2.0 Specification Final Rewease v1.0, L.Feng, B.Lee and C.Smythe, 1EdTech Consortium, June 2011. |
| [LIS, 11b] | 1EdTech GLC Learning Information Services v2.0 Best Practice and Implementation Guide Final Release v1.0, L.Feng, B.Lee and C.Smythe, 1EdTech Consortium, June 2011. |
| [SDN11, 06] | 1EdTech GLC Specification Note 11: Vocabulary Definition, Registration & Maintenance Procedures, C.Smythe, 1EdTech Consortium, October 2006. |
| [VDEX, 04a] | 1EdTech Vocabulary Definition Exchange Information Model Specification Final Release v1.0, A.Cooper, 1EdTech Consortium, February 2004. |
| [VDEX, 04b] | 1EdTech Vocabulary Definition Exchange XML Binding Specification Final Release v1.0, A.Cooper, 1EdTech Consortium, February 2004. |
2. Platform Specific Model of the Binding
2.1 Service Description
Figure 2.1 is the PSM of the service group model description for the BDEMS. This information is used to establish the mapping to the binding flavors of WSDL.

Figure 2.1 The PSM representation of the service group model description for the BDEMS.
Figure 2.2 is the PSM of the service model description for the BDEMS. The PSM is derived from the Platform Independent Model that was documented within the information model for the BDEMS specification [BDEMS, 10].

Figure 2.2 The PSM representation of the service model description for the BDEMS.
NOTE: In Figure 2.2 it can be seen that the BDEMS uses an extra SOAP Header (this is supplied as part of the 1EdTech GWS v1.0 specification). This header is used to support ansynchronous messaging uses end-point addressing provided as part of the SOAP request message (this is similar to the use of WS-Addressing which may replace this approach in later versions of the BDEMS).
2.2 Data for the Service Operations
The data model for the service opertaions is shown in Figure 2.3, 2.4 and 2.5. Figures 2.3 and 2.4 show the data models for the set of parameters. Figure 2.5 is the data model for the Status Information and other WSDL-specific binding data structures.

Figure 2.3 The PSM representation of the parameters data model description for the BDEMS.

Figure 2.4 The PSM representation epresentation of the supported parameter data model description for the BDEMS.

Figure 2.5 The PSM representation of the status information data model description for the BDEMS.
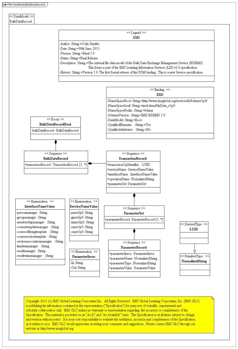
2.3 File-based Data Exchange Data Model
The PSM for the file-based bulk data exchange data models are shown in Figures 2.6 and 2.7. Figure 2.6 is the BulkDataRecord data model and Figure 2.7 contains the set of imported data model classes.

Figure 2.6 The PSM representation of the bulkdatarecord data model description for file storage in the BDEMS.

Figure 2.7 The PSM representation of the imported data model descriptions for file storage in the BDEMS.
3. Application of the Binding Guidelines
The WSDL/XSD bindings have been generated using the methodology documented in [GWS 06a] and [GWS, 06b]. Only the synchronous service binding has been created i.e. each call is realised as a request/response pair (note that the BDEMS operations are combined in various ways to create an asynchronous service; see the BDEMS Information Model [BDEMS, 11]). The binding files are available in two forms:
- A single combined WSDL/XSD�� BulkDataExchangeManagementServicev1.0_SyncSingle_v1p0.wsdl;
- Separated WSDL and XSD files � BulkDataExchangeManagementServicev1p0_SyncWSDL_v1p0.wsdl and BulkDataExchangeManagementServiceSyncXSD.xsd respectively.
It is recommended that only the combined form is used (many WSDL-based code generation tools do not process the WSDL 'import' instructions).
The mapping between the PIM and PSM descriptions is detailed in Table 3.1.
Table 3.1 Mapping between the PIM, PSM and XSD descriptions for the data models.
| PSM Reference | PIM Reference | XSD Reference | ||||
|---|---|---|---|---|---|---|
| Name | UML Type | Figure | Type | Table | Name | Type |
|
BulkBlockManifest |
Class | 2.3 | � | 4.1 | BulkBlockManifest.Type | ComplexType |
|
Attribute | 2.3 | LUID | 4.2 | bulkBlockManifestId | Element |
|
Attribute | 2.3 | DateTime | 4.3 | expiryDate | Element |
|
Attribute | 2.3 | BulkBlockDataFile | 4.4 | bulkBlockDataFile | Element |
|
BulkBlockDataFile |
Class | 2.3 | � | 4.5 | BulkBlockDataFile.Type | ComplexType |
|
Attribute | 2.3 | URL | 4.6 | url | Element |
|
Attribute | 2.3 | Hexadecimal | 4.7 | checkSum | Element |
|
Attribute | 2.3 | Integer | 4.8 | totalSize | Element |
|
Attribute | 2.3 | SequenceIdentifier | 4.9 | savePoint | Element |
|
Attribute | 2.3 | ServiceSet | 4.10 | serviceSet | Element |
|
ServiceSet |
Class | 2.3 | � | 4.11 | ServiceSet.Type | ComplexType |
|
Attribute | 2.3 | ServiceRecord | 4.12 | serviceRecord | Element |
|
ServiceRecord |
Class | 2.3 | � | 4.13 | ServiceRecord.Type | ComplexType |
|
Attribute | 2.3 | Enumeration | 4.14 | serviceName | Element |
|
Attribute | 2.3 | Enumeration | 4.15 | interfaceName | Element |
|
Attribute | 2.3 | OperationSet | 4.16 | operationSet | Element |
|
OperationSet |
Class | 2.3 | � | 4.17 | OperationSet.Type | ComplexType |
|
Attribute | 2.3 | NormalizedString | 4.18 | operationName | Element |
|
BulkBlockReport |
Class | 2.3 | � | 4.19 | BulkBlockReport.Type | ComplexType |
|
Attribute | 2.3 | LUID | 4.20 | bulkBlockManifestIdRef | Element |
|
Attribute | 2.3 | ReportSummary | 4.21 | reportSummary | Element |
|
Attribute | 2.3 | ReportFailureDetail | 4.22 | transactionReport | Element |
|
ReportSummary |
Class | 2.3 | � | 4.23 | ReportSummary.Type | ComplexType |
|
Attribute | 2.3 | Int | 4.24 | noofTotalFullSuccess | Element |
|
Attribute | 2.3 | Int | 4.25 | noofTotalPartialSuccess | Element |
|
Attribute | 2.3 | Int | 4.26 | noofTotalFailure | Element |
|
Attribute | 2.3 | InterfaceSummaryReport | 4.27 | InterfaceSummaryReport | Element |
|
InterfaceSummaryReport |
Class | 2.3 | � | 4.28 | InterfaceSummaryReport.Type | ComplexType |
|
Attribute | 2.3 | Enumeration | 4.29 | interfaceName | Element |
|
Attribute | 2.3 | Int | 4.30 | noofFullSuccess | Element |
|
Attribute | 2.3 | Int | 4.31 | noofPartialSuccess | Element |
|
Attribute | 2.3 | Int | 4.32 | noofFailure | Element |
|
ReportFailureDetail |
Class | 2.3 | � | 4.33 | ReportFailureDetail.Type | ComplexType |
|
Attribute | 2.3 | TransactionReport | 4.34 | failureReport | Element |
|
TransactionReport |
Class | 2.3 | � | 4.35 | TransactionReport.Type | ComplexType |
|
Attribute | 2.3 | LUID | 4.36 | transactionOpIdentifierRef | Element |
|
Attribute | 2.3 | Enumeration | 4.37 | serviceName | Element |
|
Attribute | 2.3 | AnyURI | 4.38 | transactionFailStatusVocabulary | Element |
|
Attribute | 2.3 | External Vocabulary | 4.39 | transactionFailStatus | Element |
|
FailureReport |
Class | 2.3 | � | 4.40 | FailureReport.Type | ComplexType |
|
Attribute | 2.3 | AnyURI | failureReportVocabulary | Element | |
|
Attribute | 2.3 | External Vocabulary | 4.41 | failureCode | Element |
|
Attribute | 2.3 | NormalizedString | 4.42 | failureDescription | Element |
|
FilterObject |
Class | 2.3 | � | 4.43 | FilterObject.Type | ComplexType |
|
Attribute | 2.3 | FilterRule | 4.44 | filterRule | Element |
|
FilterRule |
Class | 2.3 | � | 4.45 | FilterRule.Type | ComplexType |
|
Attribute | 2.3 | AnyURI | 4.46 | filterTypeVocabulary | Element |
|
Attribute | 2.3 | External Vocabulary | 4.47 | filterType | Element |
|
Attribute | 2.3 | AnyURI | 4.48 | filterValueVocabulary | Element |
|
Attribute | 2.3 | External Vocabulary | 4.49 | filterValue | Element |
|
SupportedServices |
Class | 2.4 | � | 4.50 | SupportedServices.Type | ComplexType |
|
Attribute | 2.4 | PersonInterfaceOperations | 4.51 | personOperation | Element |
|
Attribute | 2.4 | GroupInterfaceOperations | 4.52 | groupOperation | Element |
|
Attribute | 2.4 | MembershipInterfaceOperations | 4.53 | membershipOperation | Element |
|
Attribute | 2.4 | TemplateInterfaceOperations | 4.54 | templateOperation | Element |
|
Attribute | 2.4 | OfferingInterfaceOperations | 4.55 | offeringOperation | Element |
|
Attribute | 2.4 | SectionInterfaceOperations | 4.56 | sectionOperation | Element |
|
Attribute | 2.4 | AssociationInterfaceOperations | 4.57 | associationOperation | Element |
|
Attribute | 2.4 | LineItemInterfaceOperations | 4.58 | lineItemOperation | Element |
|
Attribute | 2.4 | ResultInterfaceOperations | 4.59 | resultOperation | Element |
|
Attribute | 2.4 | ResultValueInterfaceOperations | 4.60 | resultValueOperation | Element |
|
PersonInterfaceOperations |
Class | 2.4 | � | 4.61 | PersonInterfaceOperations.Type | ComplexType |
|
Attribute | 2.4 | NormalizedString | 4.62 | operationName | Element |
|
GroupInterfaceOperations |
Class | 2.4 | � | 4.63 | GroupInterfaceOperations.Type | ComplexType |
|
Attribute | 2.4 | NormalizedString | 4.64 | operationName | Element |
|
MembershipInterfaceOperations |
Class | 2.4 | � | 4.65 | MembershipInterfaceOperations.Type | ComplexType |
|
Attribute | 2.4 | NormalizedString | 4.66 | operationName | Element |
|
TemplateInterfaceOperations |
Class | 2.4 | � | 4.67 | TemplateInterfaceOperations.Type | ComplexType |
|
Attribute | 2.4 | NormalizedString | 4.68 | operationName | Element |
|
OfferingInterfaceOperations |
Class | 2.4 | � | 4.69 | OfferingInterfaceOperations.Type | ComplexType |
|
Attribute | 2.4 | NormalizedString | 4.70 | operationName | Element |
|
SectionInterfaceOperations |
Class | 2.4 | � | 4.71 | SectionInterfaceOperations.Type | ComplexType |
|
Attribute | 2.4 | NormalizedString | 4.72 | operationName | Element |
|
AssociationInterfaceOperations |
Class | 2.4 | � | 4.73 | AssociationInterfaceOperations.Type | ComplexType |
|
Attribute | 2.4 | NormalizedString | 4.74 | operationName | Element |
|
LineItemInterfaceOperations |
Class | 2.4 | � | 4.75 | LineItemInterfaceOperations.Type | ComplexType |
|
Attribute | 2.4 | NormalizedString | 4.76 | operationName | Element |
|
ResultInterfaceOperations |
Class | 2.4 | � | 4.77 | ResultInterfaceOperations.Type | ComplexType |
|
Attribute | 2.4 | NormalizedString | 4.78 | operationName | Element |
|
ResultValueInterfaceOperations |
Class | 2.4 | � | 4.79 | ResultValueInterfaceOperations.Type | ComplexType |
|
Attribute | 2.4 | NormalizedString | 4.80 | operationName | Element |
|
BulkDataRecord |
Class | 2.6 | � | 5.2 | BulkDataRecord.Type | ComplexType |
|
Attribute | 2.6 | TransactionRecord | 5.3 | transactionRecord | Element |
|
TransactionRecord |
Class | 2.6 | � | 5.4 | TransactionRecord.Type | ComplexType |
|
Attribute | 2.6 | LUID | 5.5 | transactionOpIdentifier | Element |
|
Attribute | 2.6 | NormalizedString | 5.6 | serviceName | Element |
|
Attribute | 2.6 | NormalizedString | 5.7 | interfaceName | Element |
|
Attribute | 2.6 | NormalizedString | 5.8 | operationName | Element |
|
Attribute | 2.6 | ParameterSet | 5.9 | parameterSet | Element |
|
ParameterSet |
Class | 2.6 | � | 5.10 | ParameterSet.Type | ComplexType |
|
Attribute | 2.6 | ParameterRecord | 5.11 | parameterRecord | Element |
|
ParameterRecord |
Class | 2.6 | � | 5.12 | ParameterRecord.Type | ComplexType |
|
Attribute | 2.6 | Internal Vocabulary | 5.13 | parameterInvoc | Element |
|
Attribute | 2.6 | NormalizedString | 5.14 | parameterName | Element |
|
Attribute | 2.6 | External Vocbulary | 5.15 | parameterType | Element |
|
Attribute | 2.6 | ParameterValue | 5.16 | parameterValue | Element |
|
ParameterValue |
Class | 2.7 | � | 5.17 | ParameterValue.Type | ComplexType |
|
Attribute | 2.7 | GUID | 5.18 | guid | Element |
|
Attribute | 2.7 | GUIDSet | 5.19 | guidSet | Element |
|
Attribute | 2.7 | NormalizedString | 5.20 | queryObject | Element |
|
Attribute | 2.7 | DateTime | 5.21 | sequenceIdentifier | Element |
|
Attribute | 2.7 | Text | 5.22 | academicSession | Element |
|
Attribute | 2.7 | URL | 5.23 | url | Element |
|
Attribute | 2.7 | PersonRecord | 5.24 | personRecord | Element |
|
Attribute | 2.7 | PersonCoreRecord | 5.25 | personCoreRecord | Element |
|
Attribute | 2.7 | PersonRecordSet | 5.26 | personRecordSet | Element |
|
Attribute | 2.7 | GroupRecord | 5.27 | groupRecord | Element |
|
Attribute | 2.7 | GroupRecordSet | 5.28 | groupRecordSet | Element |
|
Attribute | 2.7 | MembershipRecord | 5.29 | membershipRecord | Element |
|
Attribute | 2.7 | MembershipRecordSet | 5.30 | membershipRecordSet | Element |
|
Attribute | 2.7 | CourseTemplateRecord | 5.31 | courseTemplateRecord | Element |
|
Attribute | 2.7 | CourseTemplateRecordSet | 5.32 | courseTemplateRecordSet | Element |
|
Attribute | 2.7 | CourseOfferingRecord | 5.33 | courseOfferingRecord | Element |
|
Attribute | 2.7 | CourseOfferingRecordSet | courseOfferingRecordSet | Element | |
|
Attribute | 2.7 | CourseSectionRecord | 5.34 | courseSectionRecord | Element |
|
Attribute | 2.7 | CourseSectionRecordSet | 5.35 | courseSectionRecordSet | Element |
|
Attribute | 2.7 | SectionAssociationRecord | 5.36 | sectionAssociationRecord | Element |
|
Attribute | 2.7 | SectionAssociationRecordSet | 5.37 | sectionAssociationRecordSet | Element |
|
Attribute | 2.7 | ResultRecord | 5.38 | resultRecord | Element |
|
Attribute | 2.7 | ResultRecordSet | 5.39 | resultRecordSet | Element |
|
Attribute | 2.7 | ResultValueRecord | 5.40 | resultValueRecord | Element |
|
Attribute | 2.7 | ResultValueRecordSet | 5.41 | resultValueRecordSet | Element |
|
Attribute | 2.7 | LineItemRecord | 5.42 | lineItemRecord | Element |
|
Attribute | 2.7 | LineItemRecordSet | 5.43 | lineItemRecordSet | Element |
|
Attribute | 2.7 | LineItemType | 5.44 | lineItemType | Element |
|
Attribute | 2.7 | Internal Vocabulary | 5.45 | membershipIdType | Element |
|
Attribute | 2.7 | Relationship | 5.46 | relationship | Element |
|
Attribute | 2.7 | Role | 5.47 | role | Element |
|
Attribute | 2.7 | ResultStatus | 5.48 | resultStatus | Element |
|
Attribute | 2.7 | Status | 5.49 | status | Element |
|
PersonRecord |
Class | 2.7 | See 1EdTech GLC PMSv2.0 Info Model |
PersonRecord.Type |
ComplexType | |
|
PersonRecordSet |
Class | 2.7 | See 1EdTech GLC PMSv2.0 Info Model |
PersonRecordSet.Type |
ComplexType | |
|
GroupRecord |
Class | 2.7 | See 1EdTech GLC GMSv2.0 Info Model |
GroupRecord.Type |
ComplexType | |
|
GroupRecordSet |
Class | 2.7 | See 1EdTech GLC GMSv2.0 Info Model |
GroupRecordSet.Type |
ComplexType | |
|
MembershipRecord |
Class | 2.7 | See 1EdTech GLC MMSv2.0 Info Model |
MembershipRecord.Type |
ComplexType | |
|
MembershipRecordSet |
Class | 2.7 | See 1EdTech GLC MMSv2.0 Info Model |
MembershipRecordSet.Type |
ComplexType | |
|
CourseTemplateRecord |
Class | 2.7 | See 1EdTech GLC CMSv1.0 Info Model |
CourseTemplateRecord.Type |
ComplexType | |
|
CourseTemplateRecordSet |
Class | 2.7 | See 1EdTech GLC CMSv1.0 Info Model |
CourseTemplateRecordSet.Type |
ComplexType | |
|
CourseOfferingRecord |
Class | 2.7 | See 1EdTech GLC CMSv1.0 Info Model |
CourseOfferingRecord.Type |
ComplexType | |
|
CourseOfferingRecordSet |
Class | 2.7 | See 1EdTech GLC CMSv1.0 Info Model |
CourseOfferingRecordSet.Type |
ComplexType | |
|
CourseSectionRecord |
Class | 2.7 | See 1EdTech GLC CMSv1.0 Info Model |
CourseSectionRecord.Type |
ComplexType | |
|
CourseSectionRecordSet |
Class | 2.7 | See 1EdTech GLC CMSv1.0 Info Model |
CourseSectionRecordSet.Type |
ComplexType | |
|
SectionAssociationRecord |
Class | 2.7 | See 1EdTech GLC CMSv1.0 Info Model |
SectionAssociationRecord.Type |
ComplexType | |
|
SectionAssociationRecordSet |
Class | 2.7 | See 1EdTech GLC CMSv1.0 Info Model |
SectionAssociationRecordSet.Type |
ComplexType | |
|
ResultRecord |
Class | 2.7 | See 1EdTech GLC OMSv1.0 Info Model |
ResultRecord.Type |
ComplexType | |
|
ResultRecordSet |
Class | 2.7 | See 1EdTech GLC OMSv1.0 Info Model |
ResultRecordSet.Type |
ComplexType | |
|
ResultValueRecord |
Class | 2.7 | See 1EdTech GLC OMSv1.0 Info Model |
ResultValueRecord.Type |
ComplexType | |
|
ResultValueRecordSet |
Class | 2.7 | See 1EdTech GLC OMSv1.0 Info Model |
ResultValueRecordSet.Type |
ComplexType | |
|
LineItemRecord |
Class | 2.7 | See 1EdTech GLC OMSv1.0 Info Model |
LineItemRecord.Type |
ComplexType | |
|
LineItemRecordSet |
Class | 2.7 | See 1EdTech GLC OMSv1.0 Info Model |
LineItemRecordSet.Type |
ComplexType | |
|
Relationship |
Class | 2.7 | See 1EdTech GLC MMSv2.0 Info Model |
Relationship.Type |
ComplexType | |
|
Role |
Class | 2.7 | See 1EdTech GLC GMSv2.0 Info Model |
Role.Type |
ComplexType | |
|
LineItemType |
Class | 2.7 | See 1EdTech GLC OMSv1.0 Info Model |
LineItemType.Type |
ComplexType | |
|
ResultStatus |
Class | 2.7 | See 1EdTech GLC OMSv1.0 Info Model |
ResultStatus.Type |
ComplexType | |
|
Status |
Class | 2.7 | See 1EdTech GLC OMSv1.0 Info Model |
ResultStatus.Type |
ComplexType | |
|
Text |
Class | 2.7 | See 1EdTech GLC CMSv1.0 Info Model | Status.Type | ComplexType | |
|
imsx_StatusInfo |
Class | 2.5 | � | See 1EdTech GWSv1.0 | imsx_StatusInfo.Type | ComplexType |
|
Attribute | 2.4 | n/a | See 1EdTech GWSv1.0 | imsx_codeMajor | Element |
|
Attribute | 2.4 | n/a | See 1EdTech GWSv1.0 | imsx_severity | Element |
|
Attribute | 2.4 | n/a | See 1EdTech GWSv1.0 | imsx_messageRefIdentifier | Element |
|
Attribute | 2.4 | n/a | See 1EdTech GWSv1.0 | imsx_operationRefIdentifier | Element |
|
Attribute | 2.4 | n/a | See 1EdTech GWSv1.0 | imsx_description | Element |
|
Attribute | 2.4 | n/a | See 1EdTech GWSv1.0 | imsx_codeMinor | Element |
|
imsx_CodeMinor |
Class | 2.4 | � | See 1EdTech GWSv1.0 | imsx_CodeMinor.Type | ComplexType |
|
Attribute | 2.4 | n/a | See 1EdTech GWSv1.0 | imsx_codeMinorField | Element |
|
imsx_CodeMinorField |
Class | 2.4 | � | See 1EdTech GWSv1.0 | imsx_CodeMinorField.Type | ComplexType |
|
Attribute | 2.4 | n/a | See 1EdTech GWSv1.0 | imsx_codeMinorFieldName | Element |
|
Attribute | 2.4 | n/a | See 1EdTech GWSv1.0 | imsx_codeMinorFieldValue | Element |
|
imsx_StatusBinding |
Class | 2.4 | � | See 1EdTech GWSv1.0 | imsx_StatusBinding.Type | ComplexType |
|
Attribute | 2.4 | n/a | See 1EdTech GWSv1.0 | imsx_syncRequestHeaderInfo | Element |
|
Attribute | 2.4 | n/a | See 1EdTech GWSv1.0 | imsx_syncResponseHeaderInfo | Element |
|
imsx_RequestHeaderInfo |
Class | 2.4 | � | See 1EdTech GWSv1.0 | imsx_RequestHeaderInfo.Type | ComplexType |
|
Attribute | 2.4 | n/a | See 1EdTech GWSv1.0 | imsx_version | Element |
|
Attribute | 2.4 | n/a | See 1EdTech GWSv1.0 | imsx_messageIdentifier | Element |
|
imsx_ResponseHeaderInfo |
Class | 2.4 | � | See 1EdTech GWSv1.0 | imsx_ResponseHeaderInfo.Type | ComplexType |
|
Attribute | 2.4 | n/a | See 1EdTech GWSv1.0 | imsx_version | Element |
|
Attribute | 2.4 | n/a | See 1EdTech GWSv1.0 | imsx_messageIdentifier | Element |
|
Attribute | 2.4 | n/a | See 1EdTech GWSv1.0 | imsx_statusInfo | Element |
Key:
- The 'PSM Reference' field refers to information in the PSM description (Section 2 in this document). The sub-fields are:
- Name � the name of the data structure in the PSM and PIM
- UML Type � the type of UML construct i.e. either Class or Attribute
- Figure � the reference Figure number in this document;
- The 'PIM Reference' field refers to infomation in the BDEMS Information Model [BDEMS, 11]. The sub-fields are:
- Type � the type of the data structure in the Information Model
- Table � the reference number of Tabular description in the corresponding Information Model document;
- The 'XSD Reference' field refers to infrmation in the XSD descriptions (Section 5 in this document). The sub-fields are:
- Name � the name of the field in the XSD(s)
- Type � the type of XSD construct i.e. either a ComplexType or Element.
4. WSDL File Documentation
WSDL file: "BulkDataExchangeManagementServiceSyncSingle.wsdl"
Target namespace: /services/lis/bdems1p0/wsdl11/sync/imsbdems_v1p0
4.1 Overview
| WSDL Definition | |
|---|---|
| Name | Documentation |
| BulkDataExchangeManagementServiceSyncServices |
WSDL File InformationServices: BulkDataExchangeManagementService (Synchronous Communications) Author: Colin Smythe Date: 30 June 2011 Version: Final 1.0 Status: Final Release Description: The Bulk Data Exchange Management Service (BDEMS). This forms a part of the 1EdTech Learning Information Services (LIS) v2.0 specification. History: Version 1.0: This is the first formal release of this service. WSDL Binding: WSDL Binding is based upon the 1EdTech General Web Services Base Profile v1.0 The 1EdTech GWS Basic Profile is derived from the WS-I Basic Profile v1.1. This profile uses: WSDL 1.1, SOAP 1.1, HTTP 1.1 and XML 1.0. Extension profiles to the 1EdTech GWS Base Profile are available but are not supported using this tool version. License: IPR, License and Distribution Notices This machine readable file is derived from 1EdTech Consortium (GLC) specification 1EdTech GLC Bulk Data Exchange Management Service Version 1.0 found at /lis/bdemsv1p0/imsbdemsv1p0_BindPDv1.pdf and the original 1EdTech schema binding or code base /lis/bdemsv1p0/imsbdemsv10_BindPDv1.html. Recipients of this document are requested to submit, with their comments, notification of any relevant patent claims or other intellectual property rights of which they may be aware that might be infringed by the schema binding contained in this document. 1EdTech GLC takes no position regarding the validity or scope of any intellectual property or other rights that might be claimed to pertain to the implementation or use of the technology described in this document or the extent to which any license under such rights might or might not be available; neither does it represent that it has made any effort to identify any such rights. Information on 1EdTech GLCs procedures with respect to rights in 1EdTech GLC specifications can be found at the 1EdTech GLC Intellectual Property Rights web page: /ipr/imsipr_policyFinal.pdf. Copyright � 1EdTech Consortium 1999-2011. All Rights Reserved. License Notice for UsersUsers of products or services that include this document are hereby granted a worldwide, royalty-free, non-exclusive license to use this document. Distribution Notice for DevelopersDevelopers of products or services that are not original incorporators of this document and have not changed this document, that is, are distributing a software product that incorporates this document as is from a third-party source other than 1EdTech, are hereby granted permission to copy, display and distribute the contents of this document in any medium for any purpose without fee or royalty provided that you include this IPR, License and Distribution notice in its entirety on ALL copies, or portions thereof. Developers of products or services that are original incorporators of this document and wish to provide distribution of this document as is or with modifications and developers of products and services that are not original incorporators of this document and have changed this document, are required to register with the 1EdTech GLC community on the 1EdTech GLC website as described in the following two paragraphs:-
The limited permissions granted above are perpetual and will not be revoked by 1EdTech GLC or its successors or assigns. THIS SPECIFICATION IS BEING OFFERED WITHOUT ANY WARRANTY WHATSOEVER, AND IN PARTICULAR, ANY WARRANTY OF NONINFRINGEMENT IS EXPRESSLY DISCLAIMED. ANY USE OF THIS SPECIFICATION SHALL BE MADE ENTIRELY AT THE IMPLEMENTERS OWN RISK, AND NEITHER THE CONSORTIUM NOR ANY OF ITS MEMBERS OR SUBMITTERS, SHALL HAVE ANY LIABILITY WHATSOEVER TO ANY IMPLEMENTER OR THIRD PARTY FOR ANY DAMAGES OF ANY NATURE WHATSOEVER, DIRECTLY OR INDIRECTLY, ARISING FROM THE USE OF THIS SPECIFICATION. UML Source File InformationChoreography: Sync Transport: SOAPv1.1 Source XSLT File InformationXSL Generator: UMLtoWSDLTransformv0p9.5.xsl XSLT Processor: Xalan Release: 1.0 Beta 4 Date: 31st March, 2011 1EdTech GLC Auto-generation Binding Tool-kit (I-BAT)This file was auto-generated using the 1EdTech GLC Binding Auto-generation Tool-kit (I-BAT). While every attempt has been made to ensure that this tool auto-generates the files correctly, users should be aware that this is an experimental tool. Permission is given to make use of this tool. 1EdTech GLC makes no claim on the materials created by third party users of this tool. Details on how to use this tool are contained in the 1EdTech GLC "I-BAT" Documentation available at the 1EdTech GLC web-site. Tool Copyright: 2005-2011 (c) 1EdTech Consortium Inc. All Rights Reserved. |
| Services | ||
|---|---|---|
| Name | Documentation | |
| BulkDataExchangeManagementServiceSyncService |
|
|
| Service : BulkDataExchangeManagementServiceSyncService | ||||
|---|---|---|---|---|
| Port Name | Binding | Address Extensibility | Documentation | |
| BulkDataExchangeManagerSyncSoapPort | BulkDataExchangeManagerSyncSoapBinding | <soap11:address location="/lis/bdems1p0/BulkDataExchangeManagerSyncSoap/"/> |
|
|
| Binding : BulkDataExchangeManagerSyncSoapBinding | |
|---|---|
| Port Type | BulkDataExchangeManagerSyncPortType |
| Extensibility | <soap11:binding transport="http://schemas.xmlsoap.org/soap/http" style="document"/> |
| Operations | announceBulkDataExchange, announceFailureBulkDataExchange, reportBulkDataExchange, requestBulkDataExchange, ignoreBulkDataExchange, cancelBulkDataExchange, |
| Port Type : BulkDataExchangeManagerSyncPortType | ||||
|---|---|---|---|---|
| Operation Name | Input message | Output message | Documentation | |
| announceBulkDataExchange | announceBulkDataExchangeRequest | announceBulkDataExchangeResponse |
|
|
| announceFailureBulkDataExchange | announceFailureBulkDataExchangeRequest | announceFailureBulkDataExchangeResponse |
|
|
| reportBulkDataExchange | reportBulkDataExchangeRequest | reportBulkDataExchangeResponse |
|
|
| requestBulkDataExchange | requestBulkDataExchangeRequest | requestBulkDataExchangeResponse |
|
|
| ignoreBulkDataExchange | ignoreBulkDataExchangeRequest | ignoreBulkDataExchangeResponse |
|
|
| cancelBulkDataExchange | cancelBulkDataExchangeRequest | cancelBulkDataExchangeResponse |
|
|
4.2 Messages
announceBulkDataExchangeRequest
| Part Name | Element | Type | Documentation | |
|---|---|---|---|---|
| Parameters | tns:announceBulkDataExchangeRequest | N/A |
|
|
| HeaderInfoParameters | tns:imsx_syncRequestHeaderInfo | N/A |
|
|
| imsx_epaRequestHeaderInfoRequest | epa:imsx_epaRequestHeaderInfo | N/A |
|
announceBulkDataExchangeResponse
| Part Name | Element | Type | Documentation | |
|---|---|---|---|---|
| Response | tns:announceBulkDataExchangeResponse | N/A |
|
|
| HeaderInfoResponse | tns:imsx_syncResponseHeaderInfo | N/A |
|
announceFailureBulkDataExchangeRequest
| Part Name | Element | Type | Documentation | |
|---|---|---|---|---|
| Parameters | tns:announceFailureBulkDataExchangeRequest | N/A |
|
|
| HeaderInfoParameters | tns:imsx_syncRequestHeaderInfo | N/A |
|
|
| imsx_epaRequestHeaderInfoRequest | epa:imsx_epaRequestHeaderInfo | N/A |
|
announceFailureBulkDataExchangeResponse
| Part Name | Element | Type | Documentation | |
|---|---|---|---|---|
| Response | tns:announceFailureBulkDataExchangeResponse | N/A |
|
|
| HeaderInfoResponse | tns:imsx_syncResponseHeaderInfo | N/A |
|
reportBulkDataExchangeRequest
| Part Name | Element | Type | Documentation | |
|---|---|---|---|---|
| Parameters | tns:reportBulkDataExchangeRequest | N/A |
|
|
| HeaderInfoParameters | tns:imsx_syncRequestHeaderInfo | N/A |
|
|
| imsx_epaRequestHeaderInfoRequest | epa:imsx_epaRequestHeaderInfo | N/A |
|
reportBulkDataExchangeResponse
| Part Name | Element | Type | Documentation | |
|---|---|---|---|---|
| Response | tns:reportBulkDataExchangeResponse | N/A |
|
|
| HeaderInfoResponse | tns:imsx_syncResponseHeaderInfo | N/A |
|
requestBulkDataExchangeRequest
| Part Name | Element | Type | Documentation | |
|---|---|---|---|---|
| Parameters | tns:requestBulkDataExchangeRequest | N/A |
|
|
| HeaderInfoParameters | tns:imsx_syncRequestHeaderInfo | N/A |
|
|
| imsx_epaRequestHeaderInfoRequest | epa:imsx_epaRequestHeaderInfo | N/A |
|
requestBulkDataExchangeResponse
| Part Name | Element | Type | Documentation | |
|---|---|---|---|---|
| Response | tns:requestBulkDataExchangeResponse | N/A |
|
|
| HeaderInfoResponse | tns:imsx_syncResponseHeaderInfo | N/A |
|
ignoreBulkDataExchangeRequest
| Part Name | Element | Type | Documentation | |
|---|---|---|---|---|
| Parameters | tns:ignoreBulkDataExchangeRequest | N/A |
|
|
| HeaderInfoParameters | tns:imsx_syncRequestHeaderInfo | N/A |
|
|
| imsx_epaRequestHeaderInfoRequest | epa:imsx_epaRequestHeaderInfo | N/A |
|
ignoreBulkDataExchangeResponse
| Part Name | Element | Type | Documentation | |
|---|---|---|---|---|
| Response | tns:ignoreBulkDataExchangeResponse | N/A |
|
|
| HeaderInfoResponse | tns:imsx_syncResponseHeaderInfo | N/A |
|
cancelBulkDataExchangeRequest
| Part Name | Element | Type | Documentation | |
|---|---|---|---|---|
| Parameters | tns:cancelBulkDataExchangeRequest | N/A |
|
|
| HeaderInfoParameters | tns:imsx_syncRequestHeaderInfo | N/A |
|
|
| imsx_epaRequestHeaderInfoRequest | epa:imsx_epaRequestHeaderInfo | N/A |
|
cancelBulkDataExchangeResponse
| Part Name | Element | Type | Documentation | |
|---|---|---|---|---|
| Response | tns:cancelBulkDataExchangeResponse | N/A |
|
|
| HeaderInfoResponse | tns:imsx_syncResponseHeaderInfo | N/A |
|
NOTE: Each of the SOAP request messages includes the end-point addressing SOAP header (this should be optionally supplied).
5. XSD File Documentation
The XSD file documentation has been produced by the Oxygen XML Editing tool.
5.1 Service Data Model
Click on the Section header to access this documentation for the data models in the service description.
5.2 File Data Model
Click on the Section header to access this documentation for the data models for file-based storage.
6. Binding of the Vocabularies
The vocabularies in the BDEMS are:
- Parameter type vocabulary � the set of values for the type of parameter that are permitted for the bulk data exchange data model. The PSM for the vocabulary is shown in Figures 6.1a, 6.1b, 6.1c and 6.1d;
- Transaction fail status code vocabulary � the set of values for the failure codes for transactions in the bulk data exchange management service. The PSM for the vocabulary is shown in Figures 6.2a and 6.2b;
- Announce failure report vocabulary � the set of values for the failure report codes for an announce request in the bulk data exchange management service. The PSM for the vocabulary is shown in Figure 6.3;
- Filter types vocabulary � the set of values for the filter types in a request in the bulk data exchange management service. The PSM for the vocabulary is shown in Figures 6.4a and 6.4b;
- Filter values for an object filter type vocabulary � the set of values for the filter values of a filter type of 'object' in a request in the bulk data exchange management service. The PSM for the vocabulary is shown in Figure 6.5.
These vocabularies are the default set maintained under the 1EdTech GLC Vocabulary Registry [SDN11, 06].� It is the responsibility of an implementation to ensure that it is using the correct and latest versions of the vocabulary files.� Changes to the default vocabularies are permitted; this results in the creation of a new vocabulary that should be registered with 1EdTech GLC.� As part of a profiling process entirely new vocabularies may be defined to replace the default set.

Figure 6.1a The PSM representation of the parametertype vocabulary for the BDEMS.

Figure 6.1b The PSM representation of the parametertype vocabulary for the BDEMS.

Figure 6.1c The PSM representation of the parametertype vocabulary for the BDEMS.

Figure 6.1d The PSM representation of the parametertype vocabulary for the BDEMS.

Figure 6.2a The PSM representation of the transactionfailstatus vocabulary for the BDEMS.

Figure 6.2b The PSM representation of the transactionfailstatus vocabulary for the BDEMS.

Figure 6.3 The PSM representation of the announcefailurereport vocabulary for the BDEMS.

Figure 6.4a The PSM representation of the filtertype vocabulary for the BDEMS.

Figure 6.4b The PSM representation of the filtertype vocabulary for the BDEMS.

Figure 6.5 The PSM representation of the filtervalueobject vocabulary for the BDEMS.
Appendix A - Listing of the WSDLs
The WSDL bindings are for a Synchronous SOAP implementation only. The WSDL files, expressed using WSDLv1.1, are:
- The combined WSDL/XSD file (this contains the WSDL and XSD descriptions in a single file) � BulkDataExchangeManagementServicev1p0_SyncSingle_v1p0.wsdl
- The single WSDL file (used in conjunction with the separate XSD file) is available to LIS Alliance members. Click here to join the Alliance. Also available to Alliance members are combined WSDL/XSD files but where each file describes a single interface/port.
These files were generated by the I-BATv0.9.5 tool using the PSM representation described in Section 2.
Appendix B - Listing of the XSDs
The XSD files are:
- The stand-alone XSD � BulkDataExchangeManagmentServiceSyncXSD.xsd
- The 1EdTech General Web Services XSD for the validation of the end-point addressing headers - imsepav1p0_v1p0.xsd
- The XSD for the external data file (this XSD also requires the data file validation XSDs from the PMS, GMS, MMS, CMS and OMS bindings) � imsbdemsFileData_v1p0.xsd
- The XSD for the BDEMS containing the external data structure definitions for use with the separated WSDL file(s) is available to LIS Alliance members. Click here to join the Alliance.
This file was generated by the I-BATv0.9.5 tool using the PSM representation described in Section 2. Documentation of the XSDs is supplied in Section 5.
Appendix C - Vocabulary VDEX Instance File Listings
The BDEMS vocabularies are:
- Parameter types vocabulary � parametertypevocabularyv1p0.xml;
- Filter types vocabulary � filtertypevocabularyv1p0.xml;
- Filter types for filter objects vocabulary � filtervalueobjectvocabularyv1p0.xml;
- Transaction failure status codes vocabulary � transactionfailstatusvocabularyv1p0.xml;
- Announce failure reports vocabulary � announcefailurereportvocabularyv1p0.xml.
These vocabularies are each expressed as an instance of the 1EdTech GLC Vocabulary Data Exchange (VDEX) v1.0 specification. Documentation of the vocabulary is supplied in Section 6. The online versions of these vocabularies are available in the directory: /vdex/lis/bdemsv1p0/.
Appendix D - Example SOAP Messages
The set of examples for the SOAP messages are listed in Table D.1. The messaging pattern is a Request/Response exchange to support the Synchronous Service definition.
Table D.1 The set of SOAP message examples for each operation.
| Operation Name | Input (Request) SOAP Message | Output (Response) SOAP Message |
|---|---|---|
| announceBulkDataExchange | announceBulkDataExchangeRequest | announceBulkDataExchangeResponse |
| announceFailureBulkDataExchange | announceFailureBulkDataExchangeRequest | announceFailureBulkDataExchangeResponse |
| reportBulkDataExchange | reportBulkDataExchangeRequest | reportBulkDataExchangeResponse |
| requestBulkDataExchange | requestBulkDataExchangeRequest | requestBulkDataExchangeResponse |
| ignoreBulkDataExchange | ignoreBulkDataExchangeRequest | ignoreBulkDataExchangeResponse |
| cancelBulkDataExchange | cancelBulkDataExchangeRequest | cancelBulkDataExchangeResponse |
NOTE: The above examples do not demonstrate the use of the end-point addressing SOAP header.
About This Document
| Title | 1EdTech GLC Bulk Data Exchange Management Service WSDL/XSD Binding |
| Editor | Colin Smythe (1EdTech GLC) |
| Co-Chairs | Linda Feng (Oracle), Bill Lee (Desire2learn) |
| Version | 1.0 |
| Version Date | 30 June 2011 |
| Release | Final 1.0 |
| Status | Final Release |
| Summary | This document contains the description of the 1EdTech GLC Bulk Data Exchange Management Service v1.0 WSDL/XSD binding. This service is used to exchange bulk data by reference to an exernal data file. This document contains the definition of the corresponding Web Service based upon SOAP/HTTP messaging. |
| Revision Information | Original release. |
| Purpose | This document is made available for adoption by the public community at large. |
| Document Location | /lis/ |
List of Contributors
The following individuals contributed to the development of this document:
| Name | Organization |
|---|---|
| Kerry Blinco | DEEWR (Australia) |
| Kirk Bunte | SungardHE (USA) |
| Angus Chan | Desire2learn (Canada) |
| Adam Cooper | JISC (UK) |
| Michael Feldstein | Cengage (USA) |
| Linda Feng | Oracle (USA) |
| John Fontaine | Blackboard (USA) |
| Chris Hatton | Pearson (USA) |
| Karen Kuffner | University of Michigan (USA) |
| Zack Leavitt | eCollege (USA) |
| Bill Lee | Desire2learn (Canada) |
| Richard Moon | SungardHE (USA) |
| Mike Parkhill | Desire2learn (Canada) |
| Colin Smythe | 1EdTech Consortium, Inc. |
| Reinhold Staudinger | Blackboard (USA) |
| Nick Terrible | University of Wisconsin (USA) |
| Jason Zhong | SungardHE (USA) |
Revision History
| Version No. | Release Date | Comments |
|---|---|---|
| Final Release 1.0 | 30 June 2011 | The first formal release of the Final Release version of this document. |
1EdTech Consortium, Inc. (“1EdTech GLC”) is publishing the information contained in this document (“Specification”) for purposes of scientific, experimental, and scholarly collaboration only.
1EdTech GLC makes no warranty or representation regarding the accuracy or completeness of the Specification.
This material is provided on an “As Is” and “As Available” basis.
The Specification is at all times subject to change and revision without notice.
It is your sole responsibility to evaluate the usefulness, accuracy, and completeness of the Specification as it relates to you.
1EdTech GLC would appreciate receiving your comments and suggestions.
Please contact 1EdTech GLC through our website at .
Please refer to Document Name: 1EdTech GLC BDEMS v1.0 WSDL/XSD Binding Final Release v1.0
Date: 30 June 2011.


