 |
1EdTech GLC Outcomes Management Service WSDL/XSD Binding
Version 1.0 Public Draft Specification
Draft 2.0
|
Date Issued: 30 June 2011
Latest version: /lis/
IPR and Distribution Notices
Recipients of this document are requested to submit, with their comments, notification of any relevant patent claims or other intellectual property rights of which they may be aware that might be infringed by any implementation of the specification set forth in this document, and to provide supporting documentation.
1EdTech takes no position regarding the validity or scope of any intellectual property or other rights that might be claimed to pertain to the implementation or use of the technology described in this document or the extent to which any license under such rights might or might not be available; neither does it represent that it has made any effort to identify any such rights. Information on 1EdTech's procedures with respect to rights in 1EdTech specifications can be found at the 1EdTech Intellectual Property Rights web page: /imsipr_policyFinal.pdf.
Copyright © 2011 1EdTech Consortium. All Rights Reserved.
If you wish to copy or distribute this document, you must complete a valid Registered User license registration with 1EdTech and receive an email from 1EdTech granting the license to distribute the specification. To register, follow the instructions on the 1EdTech website: /specificationdownload.cfm
This document may be copied and furnished to others by Registered Users who have registered on the 1EdTech website provided that the above copyright notice and this paragraph are included on all such copies. However, this document itself may not be modified in any way, such as by removing the copyright notice or references to 1EdTech, except as needed for the purpose of developing 1EdTech specifications, under the auspices of a chartered 1EdTech project group.
Use of this specification to develop products or services is governed by the license with 1EdTech found on the 1EdTech website: /license.html
The limited permissions granted above are perpetual and will not be revoked by 1EdTech or its successors or assigns.
THIS SPECIFICATION IS BEING OFFERED WITHOUT ANY WARRANTY WHATSOEVER, AND IN PARTICULAR, ANY WARRANTY OF NONINFRINGEMENT IS EXPRESSLY DISCLAIMED. ANY USE OF THIS SPECIFICATION SHALL BE MADE ENTIRELY AT THE IMPLEMENTER'S OWN RISK, AND NEITHER THE CONSORTIUM, NOR ANY OF ITS MEMBERS OR SUBMITTERS, SHALL HAVE ANY LIABILITY WHATSOEVER TO ANY IMPLEMENTER OR THIRD PARTY FOR ANY DAMAGES OF ANY NATURE WHATSOEVER, DIRECTLY OR INDIRECTLY, ARISING FROM THE USE OF THIS SPECIFICATION.
Table of Contents
- Introduction
- Scope and Context
- Structure of this Document
- Nomenclature
- References
- Platform Specific Model of the Binding
- Service Description
- Data for the Service Operations
- Outcomes Data Model
- File Data Model
- Application of the Binding Guidelines
- WSDL File Documentation
- Overview
- Messages
- XSD File Documentation
- Service Data Model
- File Data Model
- Binding of the Vocabularies
- Appendix A - Listing of the WSDLs
- Appendix B - Listing of the XSDs
- Appendix C - Vocabulary VDEX Instance File Listings
- Appendix D - Example SOAP Messages
- About This Document
- Revision History
1. Introduction
This document is a part of the 1EdTech GLC Outcomes Management Service (OMS) v1.0 specification. The binding details how the Outcomes Management Service Information Model is realised as a Web Service; in the form of a Web Services Description Language (WSDL) file. The OMS binding is contained in a set of WSDL, XSD and vocabulary files. The vocabulary files are instances of the 1EdTech Vocabulary Definition Exchange specification [VDEX, 04a], [VDEX, 04b]. The 1EdTech GLC Learning Information Services (LIS) Best Practice and Implementation Guide [LIS, 11b] provides non-normative guidance on how to use the Binding and Information Model. For a conceptual overview of the LIS Specification, please see the overall services description [LIS, 11a]. For a discussion of potential applications, see the Best Practice Guide.
1.1 Scope and Context
The 1EdTech GLC OMS WSDL Binding v1.0 is used in conjunction with the following documents:
- 1EdTech GLC Outcomes Management Service Information Model v1.0 [OMS, 011] – the behaviour and data model definition of the Outcomes Management Service;
- 1EdTech GLC Learning Information Services Best Practice and Implementation Guide v1.0 [LIS, 11b] – key information on how to adopt and implement the specification.
This is the frst version of the Outcomes Management Services specification..
This WSDL binding takes the Outcomes Management Service Information Model and produces an encoding of that description in WSDL. This WSDL binding is generated as recommended by the 1EdTech GLC General Web Services documents [GWS, 06a], [GWS, 06b]. The WSDL is created using the IMC GLC Binding Auto-generation Tool-kit (I-BAT) [I-BAT, 06].
1.2 Structure of this Document
The structure of this document is:
| 2. Platform Specific Model of the Binding |
The description platform specific models in the form of the 1EdTech GLC UML-Profile service/data models representation of the 1EdTech GLC OMS specification information model. This representation is used by the 1EdTech GLC I-BAT tool to auto-generate the corresponding WSDL/XSDs; |
| 3. Application of the Binding Guidelines |
Explanation of how the platform specific model is realised as the WSDL/XSD binding. This addresses how the information model is realised as a Web Service; |
| 4. WSDL File Documentation |
The description of the Web Services used to realise the service model components of the binding. This part of the binding document was created using the schema documentation tool provided as part of the Oxygen 12.1 product; |
| 5. XSD File Documentation |
The description of the elements used within the data model components of the binding. This part of the binding document was created using the schema documentation tool provided as part of the Oxygen 12.1 product; |
| 6. Vocabulary Binding Using VDEX Instances |
Contains the description of how the set of external vocabulary files realised as VDEX files; |
| Appendix A - Listing of the WSDL Files |
This is the full listing of the OMS WSDL files; |
| Appendix B - Listing of the XSD Files |
This is the full listing of the OMS XSD files; |
| Appendix C - Vocabulary VDEX Instance File Listings |
This is the full listing of the set of external vocabulary VDEX instance files. |
| Appendix D - Examples SOAP Messages |
Examples of the SOAP messages that are exchanged to realise the service. |
1.3 Nomenclature
| HTTP |
HyperText Transfer Protocol |
| I-BAT |
1EdTech GLC Binding Auto-generation Tool-kit |
| 1EdTech GLC |
1EdTech Consortium |
| LIS |
Learning Information Services |
| MDA |
Model Driven Architecture |
| OMS |
Outcomes Management Service |
| PIM |
Protocol Independent Model |
| PSM |
Platform Specific Model |
| UML |
Unified Modelling Language |
| VDEX |
Vocabulary Definition Exchange |
| W3C |
World Wide Web Consortium |
| WSDL |
Wed Services Description Language |
| XMI |
XML Meta-data Interchange |
| XML |
Extensible Mark-up Language |
| XSD |
XML Schema Definition |
| XSL |
Extensible Stylesheet Language |
| XSLT |
XSL Transformations |
1.4 References
| [GWS, 06a] |
1EdTech GLC General Web Services Base Profile Specification Final Release v1.0, C.Schroeder, J.Simon and C.Smythe, 1EdTech Consortium, January 2006. |
| [GWS, 06b] |
1EdTech GLC General Web Services WSDL Binding Guidelines Final Release v1.0, C.Schroeder, J.Simon and C.Smythe, 1EdTech Consortium, January 2006. |
| [I-BAT, 06] |
1EdTech Binding Auto-generation Toolkit Manual v1.0, C.Smythe, 1EdTech Consortium, July 2006. |
| [LIS, 11a] |
1EdTech GLC Learning Information Services v2.0 Specification Final Release v1.0, L.Feng, B.Lee and C.Smythe, 1EdTech Consortium, May 2011. |
| [LIS, 11b] |
1EdTech GLC Learning Information Services v2.0 Best Practice and Implementation Guide Final Release v1.0, L.Feng, B.Lee and C.Smythe, 1EdTech Consortium, May 2011. |
| [OMS, 11] |
1EdTech GLC Outcomes Management Services v2.0 Information Model Specification Final Release v1.0, L.Feng, B.Lee and C.Smythe, 1EdTech Consortium, May 2011. |
| [SDN11, 06] |
1EdTech GLC Specification Note 11: Vocabulary Definition, Registration & Maintenance Procedures, C.Smythe, 1EdTech Consortium, October 2006. |
| [VDEX, 04a] |
1EdTech Vocabulary Definition Exchange Information Model Specification Final Release v1.0, A.Cooper, 1EdTech Consortium, February 2004. |
| [VDEX, 04b] |
1EdTech Vocabulary Definition Exchange XML Binding Specification Final Release v1.0, A.Cooper, 1EdTech Consortium, February 2004. |
2. Platform Specific Model of the Binding
2.1 Service Description
Figure 2.1 is the PSM of the service group model description for the OMS. This information is used to establish the mapping to the binding flavors of WSDL.

Figure 2.1 The PSM representation of the service group model description for the OMS.
Figure 2.2 is the PSM of the service model description for the OMS. The PSM is derived from the Platform Independent Model that was documented within the information model for the OMS specification [OMS, 10].

Figure 2.2 The PSM representation of the service model description for the OMS.
2.2 Data for the Service Operations
The data model for the service operations is shown in Figure 2.3 and 2.4. Figure 2.3 shows the data models for the set of parameters. Figure 2.4 is the data model for the Status Information and other WSDL-specific binding data structures.

Figure 2.3 The PSM representation of the parameters data model description for the OMS.

Figure 2.4 The PSM representation of the status information data model description for the OMS.
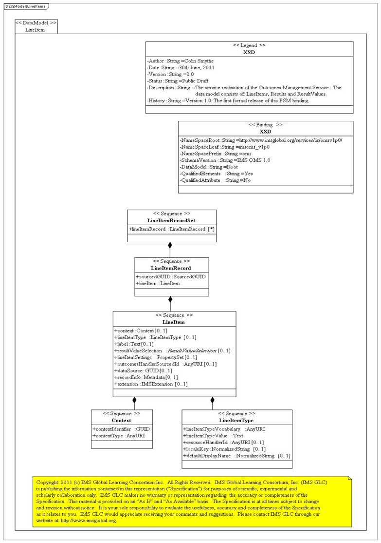
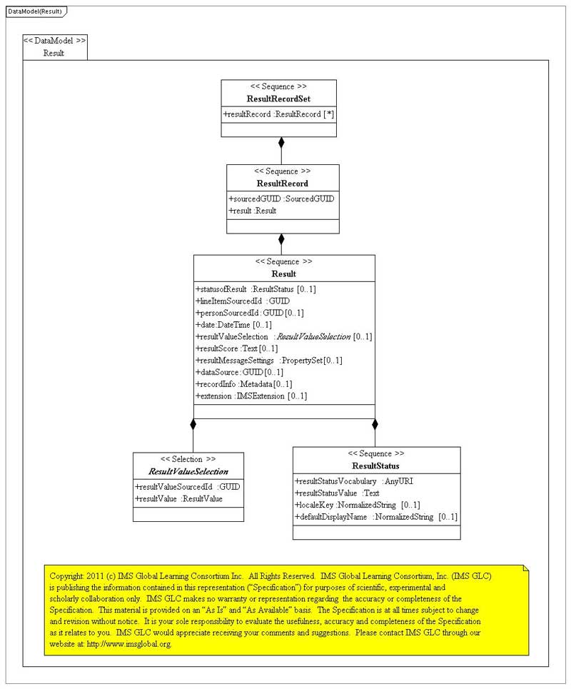
2.3 Outcomes Data Models
The PSM for the Outcomes data models are shown in Figures 2.5, 2.6, 2.7 and 2.8. Figure 2.5 is the LineItem data model, Figure 2.6 is the Result data model, Figure 2.7 is the ResultValue data model and Figure 2.8 contains the set of common data model classes.

Figure 2.5 The PSM representation of the LineItem data model description for the OMS.

Figure 2.6 The PSM representation of the Result data model description for the OMS.

Figure 2.7 The PSM representation of the ResultValue data model description for the OMS.

Figure 2.8 The PSM representation of the common data models description for the OMS.
2.4 File-based Data Exchange Data Model
The PSM for the file-based Outcomes data models are shown in Figures 2.9, 2.10, 2.11 and 2.12. Figure 2.9 is the LIneItemRecord data model, Figure 2.10 is the ResultRecord data model, Figure 2.11 is the ResultValueRecord data model and Figure 2.12 contains the set of common data model classes.

Figure 2.9 The PSM representation of the LineItemRecord data model description for file storage in the OMS.

Figure 2.10 The PSM representation of the ResultRecord data model description for file storage in the OMS.

Figure 2.11 The PSM representation of the ResultValueRecord data model description for file storage in the OMS.

Figure 2.12 The PSM representation of the common data model description for file storage in the OMS.
3. Application of the Binding Guidelines
The WSDL/XSD bindings have been generated using the methodology documented in [GWS 06a] and [GWS, 06b]. Only the synchronous service binding has been created. The binding files are available in three forms:
- A single combined WSDL/XSD – OutcomesManagementServicev1p0_SyncSingle_v1p0.wsdl;
- As single combined WSDL/XSD for each interface – OutcomesManagementServicev1p0_LineItemManagerSyncSingle_v1p0.wsdl, OutcomesManagementServicev1p0_ResultManagerSyncSingle_v1p0.wsdl and OutcomesManagementServicev1p0_ResultValueManagerSyncSingle_v1p0.wsdl
- Separated WSDL and XSD files – OutcomesManagementServicev1p0_SyncWSDL_v1p0.wsdl and OutcomesManagementServiceSyncXSD.xsd respectively.
It is recommended that only the combined form is used (many WSDL-based code generation tools do not process the 'import' instructions).
The mapping between the PIM and PSM descriptions is detailed in Table 3.1.
Table 3.1 Mapping between the PIM, PSM and XSD descriptions for the data models.
| PSM Reference |
PIM Reference |
XSD Reference |
| Name |
UML Type |
Figure |
Type |
Table |
Name |
Type |
|
LineItemRecordSet
|
Class |
2.5 |
– |
_ |
LineItemRecordSet.Type |
ComplexType |
|
|
Attribute |
2.5 |
LineItemRecord |
5.3 |
lineItemRecord |
Element |
|
LineItemRecord
|
Class |
2.5 |
– |
5.6 |
LineItemRecord.Type |
ComplexType |
|
|
Attribute |
2.5 |
SourcedGUID |
5.7 |
sourcedGUID |
Element |
|
|
Attribute |
2.5 |
LineItem |
5.8 |
lineItem |
Element |
|
LineItem
|
Class |
2.5 |
– |
5.23 |
LineItem.Type |
ComplexType |
|
|
Attribute |
2.5 |
Context |
5.24 |
context |
Element |
|
|
Attribute |
2.5 |
LineItemType |
5.25 |
lineItemType |
Element |
|
|
Attribute |
2.5 |
NormalizedString |
5.26 |
label |
Element |
|
|
Attribute |
2.5 |
GUID |
5.27 |
resultValueSourcedId |
Element |
|
|
Attribute |
2.5 |
ResultValue |
5.28 |
resultValue |
Element |
|
|
Attribute |
2.5 |
PropertySet |
5.29 |
lineItemMessageSettings |
Element |
|
|
Attribute |
2.5 |
URI |
5.30 |
outcomesHandlerSourcedId |
Element |
|
|
Attribute |
2.5 |
GUID |
5.31 |
dataSource |
Element |
|
|
Attribute |
2.5 |
Metadata |
5.32 |
recordInfo |
Element |
|
|
Attribute |
2.5 |
IMSExtension |
5.33 |
extension |
Element |
|
Context
|
Class |
2.5 |
– |
5.34 |
Context.Type |
ComplexType |
|
|
Attribute |
2.5 |
GUID |
5.35 |
contextIdentifier |
Element |
|
|
Attribute |
2.5 |
URI |
5.36 |
contextType |
Element |
|
LineItemType
|
Class |
2.5 |
– |
5.37 |
LineItemType.Type |
ComplexType |
|
|
Attribute |
2.5 |
URI |
5.38 |
lineItemTypeVocabulary |
Element |
|
|
Attribute |
2.5 |
Text |
5.39 |
lineItemTypeValue |
Element |
|
|
Attribute |
2.5 |
URI |
5.40 |
resourceHandlerSourcedId |
Element |
|
|
Attribute |
2.5 |
NormalizedString |
5.41 |
localKey |
Element |
|
|
Attribute |
2.5 |
NormalizedString |
5.42 |
defaultDisplayName |
Element |
|
ResultRecordSet
|
Class |
2.6 |
– |
_ |
ResultRecordSet.Type |
ComplexType |
|
|
Attribute |
2.6 |
resultRecord |
5.4 |
resultRecord |
Element |
|
ResultRecord
|
Class |
2.6 |
– |
5.9 |
ResultRecord.Type |
ComplexType |
|
|
Attribute |
2.5 |
SourcedGUID |
5.10 |
sourcedGUID |
Element |
|
|
Attribute |
2.6 |
Result |
5.11 |
result |
Element |
|
Result
|
Class |
2.6 |
– |
5.43 |
Result.Type |
ComplexType |
|
|
Attribute |
2.6 |
ResultStatus |
5.44 |
statusofResult |
Element |
|
|
Attribute |
2.6 |
GUID |
5.45 |
lineItemSourcedId |
Element |
|
|
Attribute |
2.6 |
GUID |
5.46 |
personSourcedId |
Element |
|
|
Attribute |
2.6 |
DateTime |
5.47 |
dateTime |
Element |
|
|
Attribute |
2.6 |
GUID |
5.48 |
resultValueSourcedId |
Element |
|
|
Attribute |
2.6 |
ResultValue |
5.49 |
resultValue |
Element |
|
|
Attribute |
2.6 |
Text |
5.50 |
resultScore |
Element |
|
|
Attribute |
2.5 |
PropertySet |
5.51 |
resultMessageSettings |
Element |
|
|
Attribute |
2.6 |
GUID |
5.52 |
dataSource |
Element |
|
|
Attribute |
2.6 |
Metadata |
5.53 |
recordInfo |
Element |
|
|
Attribute |
2.6 |
IMSExtension |
5.54 |
extension |
Element |
|
ResultStatus
|
Class |
2.6 |
– |
TBD |
ResultStatus.Type |
ComplexType |
|
|
Attribute |
2.5 |
URI |
5.55 |
resultStatusVocabulary |
Element |
|
|
Attribute |
2.5 |
Text |
5.56 |
resultStatusValue |
Element |
|
|
Attribute |
2.5 |
NormalizedString |
5.57 |
localKey |
Element |
|
|
Attribute |
2.5 |
NormalizedString |
5.58 |
defaultDisplayName |
Element |
|
ResultValueRecordSet
|
Class |
2.7 |
– |
_ |
ResultValueRecordSet.Type |
ComplexType |
|
|
Attribute |
2.7 |
resultValueRecord |
5.5 |
resultValueRecord |
Element |
|
ResultValueRecord
|
Class |
2.7 |
– |
5.12 |
ResultValueRecord.Type |
ComplexType |
|
|
Attribute |
2.7 |
SourcedGUID |
5.13 |
sourcedGUID |
Element |
|
|
Attribute |
2.7 |
ResultValue |
5.14 |
resultValue |
Element |
|
ResultValue
|
Class |
2.7 |
– |
5.59 |
ResultValue.Type |
ComplexType |
|
|
Attribute |
2.7 |
Text |
5.60 |
label |
Element |
|
|
Attribute |
2.7 |
ValueList |
5.61 |
valueList |
Element |
|
|
Attribute |
2.7 |
ValueRange |
5.62 |
valueRange |
Element |
|
|
Attribute |
2.7 |
GUID |
5.63 |
dataSource |
Element |
|
|
Attribute |
2.7 |
Metadata |
5.64 |
recordInfo |
Element |
|
|
Attribute |
2.7 |
IMSExtension |
5.65 |
extension |
Element |
|
ValueList
|
Class |
2.7 |
– |
5.66 |
ValueList.Type |
ComplexType |
|
|
Attribute |
2.7 |
OrderedValue |
5.67 |
orderedValue |
Element |
|
OrderedValue
|
Class |
2.7 |
– |
5.68 |
OrderedValue.Type |
ComplexType |
|
|
Attribute |
2.7 |
Integer |
5.69 |
ordinal |
Element |
|
|
Attribute |
2.7 |
Text |
5.70 |
grade |
Element |
|
|
Attribute |
2.7 |
ValueRange |
5.71 |
valueRange |
Element |
|
ValueRange
|
Class |
2.7 |
– |
5.72 |
ValueList.Type |
ComplexType |
|
|
Attribute |
2.7 |
Real |
5.73 |
min |
Element |
|
|
Attribute |
2.7 |
Real |
5.74 |
max |
Element |
|
Metadata
|
Class |
2.8 |
– |
5.75 |
Metadata.Type |
ComplexType |
|
|
Attribute |
2.8 |
URI |
5.76 |
metadataNameVocabulary |
Element |
|
|
Attribute |
2.8 |
URI |
5.77 |
metadataValueVocabulary |
Element |
|
|
Attribute |
2.8 |
ExtensionField |
5.78 |
metadataField |
Element |
|
IMSExtension
|
Class |
2.8 |
– |
5.79 |
IMSExtension.Type |
ComplexType |
|
|
Attribute |
2.8 |
URI |
5.80 |
extensionNameVocabulary |
Element |
|
|
Attribute |
2.8 |
URI |
5.81 |
extensionValueVocabulary |
Element |
|
|
Attribute |
2.8 |
ExtensionField |
5.82 |
extensionField |
Element |
|
ExtensionField
|
Class |
2.8 |
– |
5.83 |
ExtensionField.Type |
ComplexType |
|
|
Attribute |
2.8 |
NormalizedString |
5.84 |
fieldName |
Element |
|
|
Attribute |
2.8 |
NormalizedString |
5.85 |
fieldType |
Element |
|
|
Attribute |
2.8 |
NormalizedString |
5.86 |
fieldValue |
Element |
|
Text
|
Class |
2.8 |
– |
5.87 |
Text.Type |
ComplexType |
|
|
Attribute |
2.8 |
NormalizedString |
5.88 |
language |
Element |
|
|
Attribute |
2.8 |
String |
5.89 |
textString |
Element |
|
SourcedGUID
|
Class |
2.8 |
– |
5.90 |
SourcedGUID.Type |
ComplexType |
|
|
Attribute |
2.8 |
NormalizedString |
5.91 |
refAgentInstanceID |
Element |
|
|
Attribute |
2.8 |
GUID |
5.92 |
sourcedGUID |
Element |
|
imsx_StatusInfo
|
Class |
2.4 |
– |
See 1EdTech GWSv1.0 |
imsx_StatusInfo.Type |
ComplexType |
|
|
Attribute |
2.4 |
n/a |
See 1EdTech GWSv1.0 |
imsx_codeMajor |
Element |
|
|
Attribute |
2.4 |
n/a |
See 1EdTech GWSv1.0 |
imsx_severity |
Element |
- imsx_messageRefIdentifier
|
Attribute |
2.4 |
n/a |
See 1EdTech GWSv1.0 |
imsx_messageRefIdentifier |
Element |
- imsx_operationRefIdentifier
|
Attribute |
2.4 |
n/a |
See 1EdTech GWSv1.0 |
imsx_operationRefIdentifier |
Element |
|
|
Attribute |
2.4 |
n/a |
See 1EdTech GWSv1.0 |
imsx_description |
Element |
|
|
Attribute |
2.4 |
n/a |
See 1EdTech GWSv1.0 |
imsx_codeMinor |
Element |
|
imsx_CodeMinor
|
Class |
2.4 |
– |
See 1EdTech GWSv1.0 |
imsx_CodeMinor.Type |
ComplexType |
|
|
Attribute |
2.4 |
n/a |
See 1EdTech GWSv1.0 |
imsx_codeMinorField |
Element |
|
imsx_CodeMinorField
|
Class |
2.4 |
– |
See 1EdTech GWSv1.0 |
imsx_CodeMinorField.Type |
ComplexType |
|
|
Attribute |
2.4 |
n/a |
See 1EdTech GWSv1.0 |
imsx_codeMinorFieldName |
Element |
|
|
Attribute |
2.4 |
n/a |
See 1EdTech GWSv1.0 |
imsx_codeMinorFieldValue |
Element |
|
imsx_StatusBinding
|
Class |
2.4 |
– |
See 1EdTech GWSv1.0 |
imsx_StatusBinding.Type |
ComplexType |
- imsx_syncRequestHeaderInfo
|
Attribute |
2.4 |
n/a |
See 1EdTech GWSv1.0 |
imsx_syncRequestHeaderInfo |
Element |
- imsx_syncResponseHeaderInfo
|
Attribute |
2.4 |
n/a |
See 1EdTech GWSv1.0 |
imsx_syncResponseHeaderInfo |
Element |
|
imsx_RequestHeaderInfo
|
Class |
2.4 |
– |
See 1EdTech GWSv1.0 |
imsx_RequestHeaderInfo.Type |
ComplexType |
|
|
Attribute |
2.4 |
n/a |
See 1EdTech GWSv1.0 |
imsx_version |
Element |
|
|
Attribute |
2.4 |
n/a |
See 1EdTech GWSv1.0 |
imsx_messageIdentifier |
Element |
|
imsx_ResponseHeaderInfo
|
Class |
2.4 |
– |
See 1EdTech GWSv1.0 |
imsx_ResponseHeaderInfo.Type |
ComplexType |
|
|
Attribute |
2.4 |
n/a |
See 1EdTech GWSv1.0 |
imsx_version |
Element |
|
|
Attribute |
2.4 |
n/a |
See 1EdTech GWSv1.0 |
imsx_messageIdentifier |
Element |
|
|
Attribute |
2.4 |
n/a |
See 1EdTech GWSv1.0 |
imsx_statusInfo |
Element |
Key:
- The 'PSM Reference' field refers to information in the PSM description (Section 2 in this document). The sub-fields are:
- Name – the name of the data structure in the PSM and PIM
- UML Type – the type of UML construct i.e. either Class or Attribute
- Figure – the reference Figure number in this document;
- The 'PIM Reference' field refers to infomation in the OMS Information Model [OMS, 11]. The sub-fields are:
- Type – the type of the data structure in the Information Model
- Table – the reference number of Tabular description in the corresponding Information Model document;
- The 'XSD Reference' field refers to infrmation in the XSD descriptions (Section 5 in this document). The sub-fields are:
- Name – the name of the field in the XSD(s)
- Type – the type of XSD construct i.e. either a ComplexType or Element.
4. WSDL File Documentation
WSDL file: "WSDL file: "OutcomesManagementServicev1p0_SyncSingle_v1p0.wsdl"
Target namespace: /services/lis/oms1p0/wsdl11/sync/imsoms_v1p0
4.1 Overview
|
|
|
|
| Messages |
| createLineItemRequest, createLineItemResponse, createByProxyLineItemRequest, createByProxyLineItemResponse, deleteLineItemRequest, deleteLineItemResponse, readLineItemRequest, readLineItemResponse, readAllLineItemIdsRequest, readAllLineItemIdsResponse, readLineItemIdsForPersonRequest, readLineItemIdsForPersonResponse, readLineItemIdsForCourseOfferingRequest, readLineItemIdsForCourseOfferingResponse, readLineItemIdsForCourseSectionRequest, readLineItemIdsForCourseSectionResponse, readLineItemIdsForCourseSectionWithLineItemTypeRequest, readLineItemIdsForCourseSectionWithLineItemTypeResponse, readLineItemIdsWithLineItemTypeRequest, readLineItemIdsWithLineItemTypeResponse, readLineItemIdsFromSavePointRequest, readLineItemIdsFromSavePointResponse, readLineItemsRequest, readLineItemsResponse, readLineItemsFromSavePointRequest, readLineItemsFromSavePointResponse, updateLineItemRequest, updateLineItemResponse, replaceLineItemRequest, replaceLineItemResponse, discoverLineItemIdsRequest, discoverLineItemIdsResponse, changeLineItemIdentifierRequest, changeLineItemIdentifierResponse, createResultRequest, createResultResponse, createByProxyResultRequest, createByProxyResultResponse, deleteResultRequest, deleteResultResponse, readResultRequest, readResultResponse, readAllResultIdsRequest, readAllResultIdsResponse, readResultIdsForPersonRequest, readResultIdsForPersonResponse, readResultIdsForLineItemRequest, readResultIdsForLineItemResponse, readResultIdsForCourseOfferingRequest, readResultIdsForCourseOfferingResponse, readResultIdsForCourseSectionRequest, readResultIdsForCourseSectionResponse, readResultIdsForCourseSectionWithStatusRequest, readResultIdsForCourseSectionWithStatusResponse, readResultIdsForLineItemWithLineItemTypeRequest, readResultIdsForLineItemWithLineItemTypeResponse, readResultIdsFromSavePointRequest, readResultIdsFromSavePointResponse, readResultsRequest, readResultsResponse, readResultsFromSavePointRequest, readResultsFromSavePointResponse, updateResultRequest, updateResultResponse, replaceResultRequest, replaceResultResponse, replaceResultsForLineItemRequest, replaceResultsForLineItemResponse, discoverResultIdsRequest, discoverResultIdsResponse, changeResultIdentifierRequest, changeResultIdentifierResponse, createResultValueRequest, createResultValueResponse, createByProxyResultValueRequest, createByProxyResultValueResponse, deleteResultValueRequest, deleteResultValueResponse, readResultValueRequest, readResultValueResponse, readAllResultValueIdsRequest, readAllResultValueIdsResponse, readResultValueIdForLineItemRequest, readResultValueIdForLineItemResponse, readResultValueIdForResultRequest, readResultValueIdForResultResponse, readResultValueIdsFromSavePointRequest, readResultValueIdsFromSavePointResponse, readResultValuesRequest, readResultValuesResponse, readResultValuesFromSavePointRequest, readResultValuesFromSavePointResponse, updateResultValueRequest, updateResultValueResponse, replaceResultValueRequest, replaceResultValueResponse, discoverResultValueIdsRequest, discoverResultValueIdsResponse, changeResultValueIdentifierRequest, changeResultValueIdentifierResponse, |
|
| WSDL Definition |
| Name |
Documentation |
| OutcomesManagementServiceSyncServices |
WSDL File Information
Services: OutcomesManagementService (Synchronous Communications)
Author: Colin Smythe
Date: 30th June, 2011
Version: 2.0
Status: Public Draft
Description: The Outcomes Management Service.
History: Version 1.0: This is the first formal release of this service.
WSDL Binding: WSDL Binding is based upon the 1EdTech General Web Services Base Profile v1.0 The 1EdTech GWS Basic Profile is derived from the WS-I Basic Profile v1.1. This profile uses: WSDL 1.1, SOAP 1.1, HTTP 1.1 and XML 1.0. Extension profiles to the 1EdTech GWS Base Profile are available but are not supported using this tool version.
License: IPR, License and Distribution Notices
This machine readable file is derived from 1EdTech Consortium (GLC) specification 1EdTech GLC Outcome Management Version 1.0 found at /lis/omsv1p0/imsoms_InfoModelCMv1.pdf and the original 1EdTech schema binding or code base /lis/omsv1p0/imsomsv1p0_BindingCMv1.html.
Recipients of this document are requested to submit, with their comments, notification of any relevant patent claims or other intellectual property rights of which they may be aware that might be infringed by the schema binding contained in this document.
1EdTech GLC takes no position regarding the validity or scope of any intellectual property or other rights that might be claimed to pertain to the implementation or use of the technology described in this document or the extent to which any license under such rights might or might not be available; neither does it represent that it has made any effort to identify any such rights. Information on 1EdTech GLCs procedures with respect to rights in 1EdTech GLC specifications can be found at the 1EdTech GLC Intellectual Property Rights web page: /ipr/imsipr_policyFinal.pdf.
Copyright © 1EdTech Consortium 1999-2011. All Rights Reserved.
License Notice for Users
Users of products or services that include this document are hereby granted a worldwide, royalty-free, non-exclusive license to use this document.
Distribution Notice for Developers
Developers of products or services that are not original incorporators of this document and have not changed this document, that is, are distributing a software product that incorporates this document as is from a third-party source other than 1EdTech, are hereby granted permission to copy, display and distribute the contents of this document in any medium for any purpose without fee or royalty provided that you include this IPR, License and Distribution notice in its entirety on ALL copies, or portions thereof.
Developers of products or services that are original incorporators of this document and wish to provide distribution of this document as is or with modifications and developers of products and services that are not original incorporators of this document and have changed this document, are required to register with the 1EdTech GLC community on the 1EdTech GLC website as described in the following two paragraphs:-
- If you wish to distribute this document as is, with no modifications, you are hereby granted permission to copy, display and distribute the contents of this document in any medium for any purpose without fee or royalty provided that you include this IPR, License and Distribution notice in its entirety on ALL copies, or portions thereof, that you make and you complete a valid license registration with 1EdTech and receive an email from 1EdTech granting the license. To register, follow the instructions on the 1EdTech website: /specificationdownload.cfm. Once registered you are granted permission to transfer unlimited distribution rights of this document for the purposes of third-party or other distribution of your product or service that incorporates this document as long as this IPR, License and Distribution notice remains in place in its entirety.
- If you wish to create and distribute a derived work from this document, you are hereby granted permission to copy, display and distribute the contents of the derived work in any medium for any purpose without fee or royalty provided that you include this IPR, License and Distribution notice in its entirety on ALL copies, or portions thereof, that you make and you complete a valid profile registration with 1EdTech GLC and receive an email from 1EdTech GLC granting the license. To register, follow the instructions on the 1EdTech GLC website: /profile/. Once registered you are granted permission to transfer unlimited distribution rights of the derived work for the purposes of third-party or other distribution of your product or service that incorporates the derived work as long as this IPR, License and Distribution notice remains in place in its entirety.
The limited permissions granted above are perpetual and will not be revoked by 1EdTech GLC or its successors or assigns.
THIS SPECIFICATION IS BEING OFFERED WITHOUT ANY WARRANTY WHATSOEVER, AND IN PARTICULAR, ANY WARRANTY OF NONINFRINGEMENT IS EXPRESSLY DISCLAIMED. ANY USE OF THIS SPECIFICATION SHALL BE MADE ENTIRELY AT THE IMPLEMENTERS OWN RISK, AND NEITHER THE CONSORTIUM NOR ANY OF ITS MEMBERS OR SUBMITTERS, SHALL HAVE ANY LIABILITY WHATSOEVER TO ANY IMPLEMENTER OR THIRD PARTY FOR ANY DAMAGES OF ANY NATURE WHATSOEVER, DIRECTLY OR INDIRECTLY, ARISING FROM THE USE OF THIS SPECIFICATION.
UML Source File Information
Choreography: Sync
Transport: SOAPv1.1
Source XSLT File Information
XSL Generator: UMLtoWSDLTransformv0p9p5.xsl
XSLT Processor: Xalan
Release: 1.0 Beta 4
Date: 31st March, 2011
1EdTech GLC Auto-generation Binding Tool-kit (I-BAT)
This file was auto-generated using the 1EdTech GLC Binding Auto-generation Tool-kit (I-BAT). While every attempt has been made to ensure that this tool auto-generates the files correctly, users should be aware that this is an experimental tool. Permission is given to make use of this tool. 1EdTech GLC makes no claim on the materials created by third party users of this tool. Details on how to use this tool are contained in the 1EdTech GLC "I-BAT" Documentation available at the 1EdTech GLC web-site.
Tool Copyright: 2005-2011 (c) 1EdTech Consortium Inc. All Rights Reserved.
|
| Services |
| Name |
Documentation |
| OutcomesManagementServiceSyncService |
Service Information
Author: Colin Smythe
Date: 30th June, 2011
Version: 2.0
Status: Public Draft
Description: The Outcomes Management Service is composed of three interfaces each of which has several operations.
History: Version 1.0: This is the first formal release of this service. This service is a part of the 1EdTech LIS v2.0 specification.
|
|
| Service : OutcomesManagementServiceSyncService |
| Port Name |
Binding |
Address Extensibility |
Documentation |
| LineItemManagerSyncSoapPort |
LineItemManagerSyncSoapBinding |
<soap11:address location="/lis/oms1p0/LineItemManagerSyncSoap/"/> |
|
| ResultManagerSyncSoapPort |
ResultManagerSyncSoapBinding |
<soap11:address location="/lis/oms1p0/ResultManagerSyncSoap/"/> |
|
| ResultValueManagerSyncSoapPort |
ResultValueManagerSyncSoapBinding |
<soap11:address location="/lis/oms1p0/ResultValueManagerSyncSoap/"/> |
|
| Binding : LineItemManagerSyncSoapBinding |
| Port Type |
LineItemManagerSyncPortType |
| Extensibility |
<soap11:binding transport="http://schemas.xmlsoap.org/soap/http" style="document"/> |
| Operations |
createLineItem, createByProxyLineItem, deleteLineItem, readLineItem, readAllLineItemIds, readLineItemIdsForPerson, readLineItemIdsForCourseOffering, readLineItemIdsForCourseSection, readLineItemIdsForCourseSectionWithLineItemType, readLineItemIdsWithLineItemType, readLineItemIdsFromSavePoint, readLineItems, readLineItemsFromSavePoint, updateLineItem, replaceLineItem, discoverLineItemIds, changeLineItemIdentifier, |
| Binding : ResultManagerSyncSoapBinding |
| Port Type |
ResultManagerSyncPortType |
| Extensibility |
<soap11:binding transport="http://schemas.xmlsoap.org/soap/http" style="document"/> |
| Operations |
createResult, createByProxyResult, deleteResult, readResult, readAllResultIds, readResultIdsForPerson, readResultIdsForLineItem, readResultIdsForCourseOffering, readResultIdsForCourseSection, readResultIdsForCourseSectionWithStatus, readResultIdsForLineItemWithLineItemType, readResultIdsFromSavePoint, readResults, readResultsFromSavePoint, updateResult, replaceResult, replaceResultsForLineItem, discoverResultIds, changeResultIdentifier, |
| Binding : ResultValueManagerSyncSoapBinding |
| Port Type |
ResultValueManagerSyncPortType |
| Extensibility |
<soap11:binding transport="http://schemas.xmlsoap.org/soap/http" style="document"/> |
| Operations |
createResultValue, createByProxyResultValue, deleteResultValue, readResultValue, readAllResultValueIds, readResultValueIdForLineItem, readResultValueIdForResult, readResultValueIdsFromSavePoint, readResultValues, readResultValuesFromSavePoint, updateResultValue, replaceResultValue, discoverResultValueIds, changeResultValueIdentifier, |
4.2 Messages
createLineItemRequest
| Part Name |
Element |
Type |
Documentation |
| Parameters |
tns:createLineItemRequest |
N/A |
|
| HeaderInfoParameters |
tns:imsx_syncRequestHeaderInfo |
N/A |
|
createLineItemResponse
| Part Name |
Element |
Type |
Documentation |
| Response |
tns:createLineItemResponse |
N/A |
|
| HeaderInfoResponse |
tns:imsx_syncResponseHeaderInfo |
N/A |
|
createByProxyLineItemRequest
| Part Name |
Element |
Type |
Documentation |
| Parameters |
tns:createByProxyLineItemRequest |
N/A |
|
| HeaderInfoParameters |
tns:imsx_syncRequestHeaderInfo |
N/A |
|
createByProxyLineItemResponse
| Part Name |
Element |
Type |
Documentation |
| Response |
tns:createByProxyLineItemResponse |
N/A |
|
| HeaderInfoResponse |
tns:imsx_syncResponseHeaderInfo |
N/A |
|
deleteLineItemRequest
| Part Name |
Element |
Type |
Documentation |
| Parameters |
tns:deleteLineItemRequest |
N/A |
|
| HeaderInfoParameters |
tns:imsx_syncRequestHeaderInfo |
N/A |
|
deleteLineItemResponse
| Part Name |
Element |
Type |
Documentation |
| Response |
tns:deleteLineItemResponse |
N/A |
|
| HeaderInfoResponse |
tns:imsx_syncResponseHeaderInfo |
N/A |
|
readLineItemRequest
| Part Name |
Element |
Type |
Documentation |
| Parameters |
tns:readLineItemRequest |
N/A |
|
| HeaderInfoParameters |
tns:imsx_syncRequestHeaderInfo |
N/A |
|
readLineItemResponse
| Part Name |
Element |
Type |
Documentation |
| Response |
tns:readLineItemResponse |
N/A |
|
| HeaderInfoResponse |
tns:imsx_syncResponseHeaderInfo |
N/A |
|
readAllLineItemIdsRequest
| Part Name |
Element |
Type |
Documentation |
| Parameters |
tns:readAllLineItemIdsRequest |
N/A |
|
| HeaderInfoParameters |
tns:imsx_syncRequestHeaderInfo |
N/A |
|
readAllLineItemIdsResponse
| Part Name |
Element |
Type |
Documentation |
| Response |
tns:readAllLineItemIdsResponse |
N/A |
|
| HeaderInfoResponse |
tns:imsx_syncResponseHeaderInfo |
N/A |
|
readLineItemIdsForPersonRequest
| Part Name |
Element |
Type |
Documentation |
| Parameters |
tns:readLineItemIdsForPersonRequest |
N/A |
|
| HeaderInfoParameters |
tns:imsx_syncRequestHeaderInfo |
N/A |
|
readLineItemIdsForPersonResponse
| Part Name |
Element |
Type |
Documentation |
| Response |
tns:readLineItemIdsForPersonResponse |
N/A |
|
| HeaderInfoResponse |
tns:imsx_syncResponseHeaderInfo |
N/A |
|
readLineItemIdsForCourseOfferingRequest
| Part Name |
Element |
Type |
Documentation |
| Parameters |
tns:readLineItemIdsForCourseOfferingRequest |
N/A |
|
| HeaderInfoParameters |
tns:imsx_syncRequestHeaderInfo |
N/A |
|
readLineItemIdsForCourseOfferingResponse
| Part Name |
Element |
Type |
Documentation |
| Response |
tns:readLineItemIdsForCourseOfferingResponse |
N/A |
|
| HeaderInfoResponse |
tns:imsx_syncResponseHeaderInfo |
N/A |
|
readLineItemIdsForCourseSectionRequest
| Part Name |
Element |
Type |
Documentation |
| Parameters |
tns:readLineItemIdsForCourseSectionRequest |
N/A |
|
| HeaderInfoParameters |
tns:imsx_syncRequestHeaderInfo |
N/A |
|
readLineItemIdsForCourseSectionResponse
| Part Name |
Element |
Type |
Documentation |
| Response |
tns:readLineItemIdsForCourseSectionResponse |
N/A |
|
| HeaderInfoResponse |
tns:imsx_syncResponseHeaderInfo |
N/A |
|
readLineItemIdsForCourseSectionWithLineItemTypeRequest
| Part Name |
Element |
Type |
Documentation |
| Parameters |
tns:readLineItemIdsForCourseSectionWithLineItemTypeRequest |
N/A |
|
| HeaderInfoParameters |
tns:imsx_syncRequestHeaderInfo |
N/A |
|
readLineItemIdsForCourseSectionWithLineItemTypeResponse
| Part Name |
Element |
Type |
Documentation |
| Response |
tns:readLineItemIdsForCourseSectionWithLineItemTypeResponse |
N/A |
|
| HeaderInfoResponse |
tns:imsx_syncResponseHeaderInfo |
N/A |
|
readLineItemIdsWithLineItemTypeRequest
| Part Name |
Element |
Type |
Documentation |
| Parameters |
tns:readLineItemIdsWithLineItemTypeRequest |
N/A |
|
| HeaderInfoParameters |
tns:imsx_syncRequestHeaderInfo |
N/A |
|
readLineItemIdsWithLineItemTypeResponse
| Part Name |
Element |
Type |
Documentation |
| Response |
tns:readLineItemIdsWithLineItemTypeResponse |
N/A |
|
| HeaderInfoResponse |
tns:imsx_syncResponseHeaderInfo |
N/A |
|
readLineItemIdsFromSavePointRequest
| Part Name |
Element |
Type |
Documentation |
| Parameters |
tns:readLineItemIdsFromSavePointRequest |
N/A |
|
| HeaderInfoParameters |
tns:imsx_syncRequestHeaderInfo |
N/A |
|
readLineItemIdsFromSavePointResponse
| Part Name |
Element |
Type |
Documentation |
| Response |
tns:readLineItemIdsFromSavePointResponse |
N/A |
|
| HeaderInfoResponse |
tns:imsx_syncResponseHeaderInfo |
N/A |
|
readLineItemsRequest
| Part Name |
Element |
Type |
Documentation |
| Parameters |
tns:readLineItemsRequest |
N/A |
|
| HeaderInfoParameters |
tns:imsx_syncRequestHeaderInfo |
N/A |
|
readLineItemsResponse
| Part Name |
Element |
Type |
Documentation |
| Response |
tns:readLineItemsResponse |
N/A |
|
| HeaderInfoResponse |
tns:imsx_syncResponseHeaderInfo |
N/A |
|
readLineItemsFromSavePointRequest
| Part Name |
Element |
Type |
Documentation |
| Parameters |
tns:readLineItemsFromSavePointRequest |
N/A |
|
| HeaderInfoParameters |
tns:imsx_syncRequestHeaderInfo |
N/A |
|
readLineItemsFromSavePointResponse
| Part Name |
Element |
Type |
Documentation |
| Response |
tns:readLineItemsFromSavePointResponse |
N/A |
|
| HeaderInfoResponse |
tns:imsx_syncResponseHeaderInfo |
N/A |
|
updateLineItemRequest
| Part Name |
Element |
Type |
Documentation |
| Parameters |
tns:updateLineItemRequest |
N/A |
|
| HeaderInfoParameters |
tns:imsx_syncRequestHeaderInfo |
N/A |
|
updateLineItemResponse
| Part Name |
Element |
Type |
Documentation |
| Response |
tns:updateLineItemResponse |
N/A |
|
| HeaderInfoResponse |
tns:imsx_syncResponseHeaderInfo |
N/A |
|
replaceLineItemRequest
| Part Name |
Element |
Type |
Documentation |
| Parameters |
tns:replaceLineItemRequest |
N/A |
|
| HeaderInfoParameters |
tns:imsx_syncRequestHeaderInfo |
N/A |
|
replaceLineItemResponse
| Part Name |
Element |
Type |
Documentation |
| Response |
tns:replaceLineItemResponse |
N/A |
|
| HeaderInfoResponse |
tns:imsx_syncResponseHeaderInfo |
N/A |
|
discoverLineItemIdsRequest
| Part Name |
Element |
Type |
Documentation |
| Parameters |
tns:discoverLineItemIdsRequest |
N/A |
|
| HeaderInfoParameters |
tns:imsx_syncRequestHeaderInfo |
N/A |
|
discoverLineItemIdsResponse
| Part Name |
Element |
Type |
Documentation |
| Response |
tns:discoverLineItemIdsResponse |
N/A |
|
| HeaderInfoResponse |
tns:imsx_syncResponseHeaderInfo |
N/A |
|
changeLineItemIdentifierRequest
| Part Name |
Element |
Type |
Documentation |
| Parameters |
tns:changeLineItemIdentifierRequest |
N/A |
|
| HeaderInfoParameters |
tns:imsx_syncRequestHeaderInfo |
N/A |
|
changeLineItemIdentifierResponse
| Part Name |
Element |
Type |
Documentation |
| Response |
tns:changeLineItemIdentifierResponse |
N/A |
|
| HeaderInfoResponse |
tns:imsx_syncResponseHeaderInfo |
N/A |
|
createResultRequest
| Part Name |
Element |
Type |
Documentation |
| Parameters |
tns:createResultRequest |
N/A |
|
| HeaderInfoParameters |
tns:imsx_syncRequestHeaderInfo |
N/A |
|
createResultResponse
| Part Name |
Element |
Type |
Documentation |
| Response |
tns:createResultResponse |
N/A |
|
| HeaderInfoResponse |
tns:imsx_syncResponseHeaderInfo |
N/A |
|
createByProxyResultRequest
| Part Name |
Element |
Type |
Documentation |
| Parameters |
tns:createByProxyResultRequest |
N/A |
|
| HeaderInfoParameters |
tns:imsx_syncRequestHeaderInfo |
N/A |
|
createByProxyResultResponse
| Part Name |
Element |
Type |
Documentation |
| Response |
tns:createByProxyResultResponse |
N/A |
|
| HeaderInfoResponse |
tns:imsx_syncResponseHeaderInfo |
N/A |
|
deleteResultRequest
| Part Name |
Element |
Type |
Documentation |
| Parameters |
tns:deleteResultRequest |
N/A |
|
| HeaderInfoParameters |
tns:imsx_syncRequestHeaderInfo |
N/A |
|
deleteResultResponse
| Part Name |
Element |
Type |
Documentation |
| Response |
tns:deleteResultResponse |
N/A |
|
| HeaderInfoResponse |
tns:imsx_syncResponseHeaderInfo |
N/A |
|
readResultRequest
| Part Name |
Element |
Type |
Documentation |
| Parameters |
tns:readResultRequest |
N/A |
|
| HeaderInfoParameters |
tns:imsx_syncRequestHeaderInfo |
N/A |
|
readResultResponse
| Part Name |
Element |
Type |
Documentation |
| Response |
tns:readResultResponse |
N/A |
|
| HeaderInfoResponse |
tns:imsx_syncResponseHeaderInfo |
N/A |
|
readAllResultIdsRequest
| Part Name |
Element |
Type |
Documentation |
| Parameters |
tns:readAllResultIdsRequest |
N/A |
|
| HeaderInfoParameters |
tns:imsx_syncRequestHeaderInfo |
N/A |
|
readAllResultIdsResponse
| Part Name |
Element |
Type |
Documentation |
| Response |
tns:readAllResultIdsResponse |
N/A |
|
| HeaderInfoResponse |
tns:imsx_syncResponseHeaderInfo |
N/A |
|
readResultIdsForPersonRequest
| Part Name |
Element |
Type |
Documentation |
| Parameters |
tns:readResultIdsForPersonRequest |
N/A |
|
| HeaderInfoParameters |
tns:imsx_syncRequestHeaderInfo |
N/A |
|
readResultIdsForPersonResponse
| Part Name |
Element |
Type |
Documentation |
| Response |
tns:readResultIdsForPersonResponse |
N/A |
|
| HeaderInfoResponse |
tns:imsx_syncResponseHeaderInfo |
N/A |
|
readResultIdsForLineItemRequest
| Part Name |
Element |
Type |
Documentation |
| Parameters |
tns:readResultIdsForLineItemRequest |
N/A |
|
| HeaderInfoParameters |
tns:imsx_syncRequestHeaderInfo |
N/A |
|
readResultIdsForLineItemResponse
| Part Name |
Element |
Type |
Documentation |
| Response |
tns:readResultIdsForLineItemResponse |
N/A |
|
| HeaderInfoResponse |
tns:imsx_syncResponseHeaderInfo |
N/A |
|
readResultIdsForCourseOfferingRequest
| Part Name |
Element |
Type |
Documentation |
| Parameters |
tns:readResultIdsForCourseOfferingRequest |
N/A |
|
| HeaderInfoParameters |
tns:imsx_syncRequestHeaderInfo |
N/A |
|
readResultIdsForCourseOfferingResponse
| Part Name |
Element |
Type |
Documentation |
| Response |
tns:readResultIdsForCourseOfferingResponse |
N/A |
|
| HeaderInfoResponse |
tns:imsx_syncResponseHeaderInfo |
N/A |
|
readResultIdsForCourseSectionRequest
| Part Name |
Element |
Type |
Documentation |
| Parameters |
tns:readResultIdsForCourseSectionRequest |
N/A |
|
| HeaderInfoParameters |
tns:imsx_syncRequestHeaderInfo |
N/A |
|
readResultIdsForCourseSectionResponse
| Part Name |
Element |
Type |
Documentation |
| Response |
tns:readResultIdsForCourseSectionResponse |
N/A |
|
| HeaderInfoResponse |
tns:imsx_syncResponseHeaderInfo |
N/A |
|
readResultIdsForCourseSectionWithStatusRequest
| Part Name |
Element |
Type |
Documentation |
| Parameters |
tns:readResultIdsForCourseSectionWithStatusRequest |
N/A |
|
| HeaderInfoParameters |
tns:imsx_syncRequestHeaderInfo |
N/A |
|
readResultIdsForCourseSectionWithStatusResponse
| Part Name |
Element |
Type |
Documentation |
| Response |
tns:readResultIdsForCourseSectionWithStatusResponse |
N/A |
|
| HeaderInfoResponse |
tns:imsx_syncResponseHeaderInfo |
N/A |
|
readResultIdsForLineItemWithLineItemTypeRequest
| Part Name |
Element |
Type |
Documentation |
| Parameters |
tns:readResultIdsForLineItemWithLineItemTypeRequest |
N/A |
|
| HeaderInfoParameters |
tns:imsx_syncRequestHeaderInfo |
N/A |
|
readResultIdsForLineItemWithLineItemTypeResponse
| Part Name |
Element |
Type |
Documentation |
| Response |
tns:readResultIdsForLineItemWithLineItemTypeResponse |
N/A |
|
| HeaderInfoResponse |
tns:imsx_syncResponseHeaderInfo |
N/A |
|
readResultIdsFromSavePointRequest
| Part Name |
Element |
Type |
Documentation |
| Parameters |
tns:readResultIdsFromSavePointRequest |
N/A |
|
| HeaderInfoParameters |
tns:imsx_syncRequestHeaderInfo |
N/A |
|
readResultIdsFromSavePointResponse
| Part Name |
Element |
Type |
Documentation |
| Response |
tns:readResultIdsFromSavePointResponse |
N/A |
|
| HeaderInfoResponse |
tns:imsx_syncResponseHeaderInfo |
N/A |
|
readResultsRequest
| Part Name |
Element |
Type |
Documentation |
| Parameters |
tns:readResultsRequest |
N/A |
|
| HeaderInfoParameters |
tns:imsx_syncRequestHeaderInfo |
N/A |
|
readResultsResponse
| Part Name |
Element |
Type |
Documentation |
| Response |
tns:readResultsResponse |
N/A |
|
| HeaderInfoResponse |
tns:imsx_syncResponseHeaderInfo |
N/A |
|
readResultsFromSavePointRequest
| Part Name |
Element |
Type |
Documentation |
| Parameters |
tns:readResultsFromSavePointRequest |
N/A |
|
| HeaderInfoParameters |
tns:imsx_syncRequestHeaderInfo |
N/A |
|
readResultsFromSavePointResponse
| Part Name |
Element |
Type |
Documentation |
| Response |
tns:readResultsFromSavePointResponse |
N/A |
|
| HeaderInfoResponse |
tns:imsx_syncResponseHeaderInfo |
N/A |
|
updateResultRequest
| Part Name |
Element |
Type |
Documentation |
| Parameters |
tns:updateResultRequest |
N/A |
|
| HeaderInfoParameters |
tns:imsx_syncRequestHeaderInfo |
N/A |
|
updateResultResponse
| Part Name |
Element |
Type |
Documentation |
| Response |
tns:updateResultResponse |
N/A |
|
| HeaderInfoResponse |
tns:imsx_syncResponseHeaderInfo |
N/A |
|
replaceResultRequest
| Part Name |
Element |
Type |
Documentation |
| Parameters |
tns:replaceResultRequest |
N/A |
|
| HeaderInfoParameters |
tns:imsx_syncRequestHeaderInfo |
N/A |
|
replaceResultResponse
| Part Name |
Element |
Type |
Documentation |
| Response |
tns:replaceResultResponse |
N/A |
|
| HeaderInfoResponse |
tns:imsx_syncResponseHeaderInfo |
N/A |
|
replaceResultsForLineItemRequest
| Part Name |
Element |
Type |
Documentation |
| Parameters |
tns:replaceResultsForLineItemRequest |
N/A |
|
| HeaderInfoParameters |
tns:imsx_syncRequestHeaderInfo |
N/A |
|
replaceResultsForLineItemResponse
| Part Name |
Element |
Type |
Documentation |
| Response |
tns:replaceResultsForLineItemResponse |
N/A |
|
| HeaderInfoResponse |
tns:imsx_syncResponseHeaderInfo |
N/A |
|
discoverResultIdsRequest
| Part Name |
Element |
Type |
Documentation |
| Parameters |
tns:discoverResultIdsRequest |
N/A |
|
| HeaderInfoParameters |
tns:imsx_syncRequestHeaderInfo |
N/A |
|
discoverResultIdsResponse
| Part Name |
Element |
Type |
Documentation |
| Response |
tns:discoverResultIdsResponse |
N/A |
|
| HeaderInfoResponse |
tns:imsx_syncResponseHeaderInfo |
N/A |
|
changeResultIdentifierRequest
| Part Name |
Element |
Type |
Documentation |
| Parameters |
tns:changeResultIdentifierRequest |
N/A |
|
| HeaderInfoParameters |
tns:imsx_syncRequestHeaderInfo |
N/A |
|
changeResultIdentifierResponse
| Part Name |
Element |
Type |
Documentation |
| Response |
tns:changeResultIdentifierResponse |
N/A |
|
| HeaderInfoResponse |
tns:imsx_syncResponseHeaderInfo |
N/A |
|
createResultValueRequest
| Part Name |
Element |
Type |
Documentation |
| Parameters |
tns:createResultValueRequest |
N/A |
|
| HeaderInfoParameters |
tns:imsx_syncRequestHeaderInfo |
N/A |
|
createResultValueResponse
| Part Name |
Element |
Type |
Documentation |
| Response |
tns:createResultValueResponse |
N/A |
|
| HeaderInfoResponse |
tns:imsx_syncResponseHeaderInfo |
N/A |
|
createByProxyResultValueRequest
| Part Name |
Element |
Type |
Documentation |
| Parameters |
tns:createByProxyResultValueRequest |
N/A |
|
| HeaderInfoParameters |
tns:imsx_syncRequestHeaderInfo |
N/A |
|
createByProxyResultValueResponse
| Part Name |
Element |
Type |
Documentation |
| Response |
tns:createByProxyResultValueResponse |
N/A |
|
| HeaderInfoResponse |
tns:imsx_syncResponseHeaderInfo |
N/A |
|
deleteResultValueRequest
| Part Name |
Element |
Type |
Documentation |
| Parameters |
tns:deleteResultValueRequest |
N/A |
|
| HeaderInfoParameters |
tns:imsx_syncRequestHeaderInfo |
N/A |
|
deleteResultValueResponse
| Part Name |
Element |
Type |
Documentation |
| Response |
tns:deleteResultValueResponse |
N/A |
|
| HeaderInfoResponse |
tns:imsx_syncResponseHeaderInfo |
N/A |
|
readResultValueRequest
| Part Name |
Element |
Type |
Documentation |
| Parameters |
tns:readResultValueRequest |
N/A |
|
| HeaderInfoParameters |
tns:imsx_syncRequestHeaderInfo |
N/A |
|
readResultValueResponse
| Part Name |
Element |
Type |
Documentation |
| Response |
tns:readResultValueResponse |
N/A |
|
| HeaderInfoResponse |
tns:imsx_syncResponseHeaderInfo |
N/A |
|
readAllResultValueIdsRequest
| Part Name |
Element |
Type |
Documentation |
| Parameters |
tns:readAllResultValueIdsRequest |
N/A |
|
| HeaderInfoParameters |
tns:imsx_syncRequestHeaderInfo |
N/A |
|
readAllResultValueIdsResponse
| Part Name |
Element |
Type |
Documentation |
| Response |
tns:readAllResultValueIdsResponse |
N/A |
|
| HeaderInfoResponse |
tns:imsx_syncResponseHeaderInfo |
N/A |
|
readResultValueIdForLineItemRequest
| Part Name |
Element |
Type |
Documentation |
| Parameters |
tns:readResultValueIdForLineItemRequest |
N/A |
|
| HeaderInfoParameters |
tns:imsx_syncRequestHeaderInfo |
N/A |
|
readResultValueIdForLineItemResponse
| Part Name |
Element |
Type |
Documentation |
| Response |
tns:readResultValueIdForLineItemResponse |
N/A |
|
| HeaderInfoResponse |
tns:imsx_syncResponseHeaderInfo |
N/A |
|
readResultValueIdForResultRequest
| Part Name |
Element |
Type |
Documentation |
| Parameters |
tns:readResultValueIdForResultRequest |
N/A |
|
| HeaderInfoParameters |
tns:imsx_syncRequestHeaderInfo |
N/A |
|
readResultValueIdForResultResponse
| Part Name |
Element |
Type |
Documentation |
| Response |
tns:readResultValueIdForResultResponse |
N/A |
|
| HeaderInfoResponse |
tns:imsx_syncResponseHeaderInfo |
N/A |
|
readResultValueIdsFromSavePointRequest
| Part Name |
Element |
Type |
Documentation |
| Parameters |
tns:readResultValueIdsFromSavePointRequest |
N/A |
|
| HeaderInfoParameters |
tns:imsx_syncRequestHeaderInfo |
N/A |
|
readResultValueIdsFromSavePointResponse
| Part Name |
Element |
Type |
Documentation |
| Response |
tns:readResultValueIdsFromSavePointResponse |
N/A |
|
| HeaderInfoResponse |
tns:imsx_syncResponseHeaderInfo |
N/A |
|
readResultValuesRequest
| Part Name |
Element |
Type |
Documentation |
| Parameters |
tns:readResultValuesRequest |
N/A |
|
| HeaderInfoParameters |
tns:imsx_syncRequestHeaderInfo |
N/A |
|
readResultValuesResponse
| Part Name |
Element |
Type |
Documentation |
| Response |
tns:readResultValuesResponse |
N/A |
|
| HeaderInfoResponse |
tns:imsx_syncResponseHeaderInfo |
N/A |
|
readResultValuesFromSavePointRequest
| Part Name |
Element |
Type |
Documentation |
| Parameters |
tns:readResultValuesFromSavePointRequest |
N/A |
|
| HeaderInfoParameters |
tns:imsx_syncRequestHeaderInfo |
N/A |
|
readResultValuesFromSavePointResponse
| Part Name |
Element |
Type |
Documentation |
| Response |
tns:readResultValuesFromSavePointResponse |
N/A |
|
| HeaderInfoResponse |
tns:imsx_syncResponseHeaderInfo |
N/A |
|
updateResultValueRequest
| Part Name |
Element |
Type |
Documentation |
| Parameters |
tns:updateResultValueRequest |
N/A |
|
| HeaderInfoParameters |
tns:imsx_syncRequestHeaderInfo |
N/A |
|
updateResultValueResponse
| Part Name |
Element |
Type |
Documentation |
| Response |
tns:updateResultValueResponse |
N/A |
|
| HeaderInfoResponse |
tns:imsx_syncResponseHeaderInfo |
N/A |
|
replaceResultValueRequest
| Part Name |
Element |
Type |
Documentation |
| Parameters |
tns:replaceResultValueRequest |
N/A |
|
| HeaderInfoParameters |
tns:imsx_syncRequestHeaderInfo |
N/A |
|
replaceResultValueResponse
| Part Name |
Element |
Type |
Documentation |
| Response |
tns:replaceResultValueResponse |
N/A |
|
| HeaderInfoResponse |
tns:imsx_syncResponseHeaderInfo |
N/A |
|
discoverResultValueIdsRequest
| Part Name |
Element |
Type |
Documentation |
| Parameters |
tns:discoverResultValueIdsRequest |
N/A |
|
| HeaderInfoParameters |
tns:imsx_syncRequestHeaderInfo |
N/A |
|
discoverResultValueIdsResponse
| Part Name |
Element |
Type |
Documentation |
| Response |
tns:discoverResultValueIdsResponse |
N/A |
|
| HeaderInfoResponse |
tns:imsx_syncResponseHeaderInfo |
N/A |
|
changeResultValueIdentifierRequest
| Part Name |
Element |
Type |
Documentation |
| Parameters |
tns:changeResultValueIdentifierRequest |
N/A |
|
| HeaderInfoParameters |
tns:imsx_syncRequestHeaderInfo |
N/A |
|
changeResultValueIdentifierResponse
| Part Name |
Element |
Type |
Documentation |
| Response |
tns:changeResultValueIdentifierResponse |
N/A |
|
| HeaderInfoResponse |
tns:imsx_syncResponseHeaderInfo |
N/A |
|
5. XSD File Documentation
The XSD file documentation has been produced by the Oxygen XML Editing tool.
Click on the Section header to access this documentation for the data models in the service description.
Click on the Section header to access this documentation for the data models for the exchange of Outcomes objects in an external file.
6. Binding of the Vocabularies
The vocabularies in the OMS are:
- Lineitemtype vocabulary – the set of permitted values for the type/status for a LineItem. The PSM for the extension data-type vocabulary is shown in Figure 6.1;
- Statusofresult vocabulary – the set of permitted values for the status of a Result. The PSM for the extension data-type vocabulary is shown in Figure 6.2;
- Replacestatuscode vocabulary - the set of permitted values for the 'replaceResultsForLineItem' operation. The PSM for the extension data-type vocabulary is shown in Figure 6.3;
- Extension data-type vocabulary – the set of data-types that are permitted for extensions in the Outcomes data model. The PSM for the extension data-type vocabulary is shown in Figure 6.4.
This vocabulary is the default set maintained under the 1EdTech GLC Vocabulary Registry [SDN11, 06]. It is the responsibility of an implementation to ensure that it is using the correct and latest versions of the vocabulary files. Changes to the default vocabularies are permitted; this results in the creation of a new vocabulary that should be registered with 1EdTech GLC. As part of a profiling process entirely new vocabularies may be defined to replace the default set.

Figure 6.1 The PSM representation of the lineitemtype vocabulary for the OMS.

Figure 6.2 The PSM representation of the statusofresult vocabulary for the OMS.

Figure 6.3 The PSM representation of the replacestatuscode vocabulary for the OMS.

Figure 6.4 The PSM representation of the extension data-type vocabulary for the OMS.
Appendix A - Listing of the WSDLs
The WSDL bindings are for a Synchronous SOAP implementation only. The WSDL files, expressed using WSDLv1.1, are:
- The combined WSDL/XSD file (this contains the WSDL and XSD descriptions in a single file) – OutcomesManagementServicev1p0_SyncSingle_v1p0.wsdl
- The single WSDL files (used either in conjunction with the separate XSD file or to provide a single interface per WSDL file) are available to LIS Alliance members. Click here to join the Alliance. Also available to Alliance members are combined WSDL/XSD files but where each file describes a single interface/port.
These files were generated by the I-BATv0.9.5 tool using the PSM representation described in Section 2.
Appendix B - Listing of the XSDs
The XSD files are:
This file was generated by the I-BATv0.9.5 tool using the PSM representation described in Section 2. Documentation of the XSDs is supplied in Section 5.
Appendix C - Vocabulary VDEX Instance File Listings
The OMS vocabularies are:
The online version of these vocabularies are available in the directory: /vdex/lis/omsv1p0. These vocabularies are expressed as an instance of the 1EdTech GLC Vocabulary Data Exchange (VDEX) v1.0 specification. Documentation of the vocabulary is supplied in Section 6.
Appendix D - Example SOAP Messages
The set of examples for the SOAP messages are listed in Tables D.1 (for the LineItem port), D.2 (for the Result port) and D.3 (for the ResultValue port). The messaging pattern is a Request/Response exchange to support the Synchronous Service definition.
Table D.1 The set of SOAP message examples for each operation of the LineItem port.
Table D.2 The set of SOAP message examples for each operation of the Result port.
Table D.3 The set of SOAP message examples for each operation of the ResultValue port.
About This Document
| Title |
1EdTech GLC Outcomes Management Service WSDL/XSD Binding |
| Editor |
Colin Smythe (1EdTech GLC) |
| Co-Chairs |
Linda Feng (Oracle), Bill Lee (Desire2learn) |
| Version |
2.0 |
| Version Date |
30 June 2011 |
| Release |
Final 1.0 |
| Status |
Public Draft |
| Summary |
This document contains the description of the 1EdTech GLC Outcomes Management Service v1.0 WSDL/XSD binding. This service is used to exchange information about reporting Outcomes. An Outcome consists of LineItems, Results and ResultValues. The business transactions include the simple create, read, update and delete of the Outcomes data models for a single instance. This document contains the definition of the corresponding Web Service based upon SOAP/HTTP messaging. |
| Revision Information |
Original release |
| Purpose |
This document is made available for review by the public community at large. |
| Document Location |
/lis/ |
List of Contributors
The following individuals contributed to the development of this document:
| Name |
Organization |
| Kerry Blinco |
DEEWR (Australia) |
| Kirk Bunte |
SungardHE (USA) |
| Angus Chan |
Desire2learn (Canada) |
| Adam Cooper |
JISC (UK) |
| Michael Feldstein |
Cengage (USA) |
| Linda Feng |
Oracle (USA) |
| Jon Fontaine |
Blackboard (USA) |
| Chris Hatton |
Pearson (USA) |
| Karen Kuffner |
University of Michigan (USA) |
| Zack Leavitt |
eCollege (USA) |
| Bill Lee |
Desire2learn (Canada) |
| Richard Moon |
SungardHE (USA) |
| Mike Parkhill |
Desire2learn (Canada) |
| Colin Smythe |
1EdTech Consortium, Inc. |
| Reihold Staudinger |
Blackboard (USA) |
| Nick Terrible |
University of Wisconsin (USA) |
| Jason Zhong |
SungardHE (USA) |
Revision History
| Version No. |
Release Date |
Comments |
| Public Draft v1.0 |
30 June 2011 |
The first formal release of the Public Draft version of this document. |
| |
|
|
| |
|
|
1EdTech Consortium, Inc. (“1EdTech GLC”) is publishing the information contained in this document (“Specification”) for purposes of scientific, experimental, and scholarly collaboration only.
1EdTech GLC makes no warranty or representation regarding the accuracy or completeness of the Specification.
This material is provided on an “As Is” and “As Available” basis.
The Specification is at all times subject to change and revision without notice.
It is your sole responsibility to evaluate the usefulness, accuracy, and completeness of the Specification as it relates to you.
1EdTech GLC would appreciate receiving your comments and suggestions.
Please contact 1EdTech GLC through our website at .
Please refer to Document Name: 1EdTech GLC OMS v1.0 WSDL/XSD Binding Final Release v1.0
Date: 30 June 2011.