1EdTech Final Release

1EdTech logo

1EdTech Outcomes Management Service WSDL/XSD Binding

Version 1.0

Final Release

 

Date Issued: 30 September 2013

Latest version: http://www.imsglobal.org/lis/

 

IPR and Distribution Notices

Recipients of this document are requested to submit, with their comments, notification of any relevant patent claims or other intellectual property rights of which they may be aware that might be infringed by any implementation of the specification set forth in this document, and to provide supporting documentation.

1EdTech takes no position regarding the validity or scope of any intellectual property or other rights that might be claimed to pertain to the implementation or use of the technology described in this document or the extent to which any license under such rights might or might not be available; neither does it represent that it has made any effort to identify any such rights. Information on 1EdTech’s procedures with respect to rights in 1EdTech specifications can be found at the 1EdTech Intellectual Property Rights web page: http://www.imsglobal.org/ipr/imsipr_policyFinal.pdf.

Copyright © 2013 1EdTech Consortium. All Rights Reserved.

Use of this specification to develop products or services is governed by the license with 1EdTech found on the 1EdTech website: http://www.imsglobal.org/license.html.

Permission is granted to all parties to use excerpts from this document as needed in producing requests for proposals.

The limited permissions granted above are perpetual and will not be revoked by 1EdTech or its successors or assigns.

THIS SPECIFICATION IS BEING OFFERED WITHOUT ANY WARRANTY WHATSOEVER, AND IN PARTICULAR, ANY WARRANTY OF NONINFRINGEMENT IS EXPRESSLY DISCLAIMED. ANY USE OF THIS SPECIFICATION SHALL BE MADE ENTIRELY AT THE IMPLEMENTER'S OWN RISK, AND NEITHER THE CONSORTIUM, NOR ANY OF ITS MEMBERS OR SUBMITTERS, SHALL HAVE ANY LIABILITY WHATSOEVER TO ANY IMPLEMENTER OR THIRD PARTY FOR ANY DAMAGES OF ANY NATURE WHATSOEVER, DIRECTLY OR INDIRECTLY, ARISING FROM THE USE OF THIS SPECIFICATION.

top


Table of Contents

  1. Introduction

a.       Scope and Context

b.      Structure of this Document

c.       Nomenclature

d.      References

  1. Platform Specific Model of the Binding

.        Service Description

a.       Data for the Service Operations

b.      Outcomes Data Model

c.       File Data Model

  1. Application of the Binding Guidelines
  2. WSDL File Documentation

.        Overview

a.       Messages

  1. XSD File Documentation

.        Service Data Model

a.       File Data Model

  1. Binding of the Vocabularies
  2. Appendix A - Listing of the WSDLs
  3. Appendix B - Listing of the XSDs
  4. Appendix C - Vocabulary VDEX Instance File Listings
  5. Appendix D - Example SOAP Messages
  6. About This Document
  7. Revision History

top


1. Introduction

This document is a part of the 1EdTech Outcomes Management Service (OMS) v1.0 specification. The binding details how the Outcomes Management Service Information Model is realised as a Web Service; in the form of a Web Services Description Language (WSDL) file. The OMS binding is contained in a set of WSDL, XSD and vocabulary files. The vocabulary files are instances of the 1EdTech Vocabulary Definition Exchange specification [VDEX, 04a], [VDEX, 04b]. The 1EdTech Learning Information Services (LIS) Best Practice and Implementation Guide [LIS, 13b] provides non-normative guidance on how to use the Binding and Information Model. For a conceptual overview of the LIS Specification, please see the overall services description [LIS, 13a]. For a discussion of potential applications, see the Best Practice Guide.

1.1 Scope and Context

The 1EdTech OMS WSDL Binding v1.0 is used in conjunction with the following documents:

  1. 1EdTech Outcomes Management Service Information Model v1.0 [OMS, 13] – the behaviour and data model definition of the Outcomes Management Service;
  2. 1EdTech Learning Information Services Best Practice and Implementation Guide v1.0 [LIS, 13b] – key information on how to adopt and implement the specification.

This is the frst version of the Outcomes Management Services specification..

This WSDL binding takes the Outcomes Management Service Information Model and produces an encoding of that description in WSDL. This WSDL binding is generated as recommended by the 1EdTech General Web Services documents [GWS, 06a], [GWS, 06b]. The WSDL is created using the IMC GLC Binding Auto-generation Tool-kit (I-BAT) [I-BAT, 06].

1.2 Structure of this Document

The structure of this document is:

2. Platform Specific Model of the Binding

The description platform specific models in the form of the 1EdTech GLC UML-Profile service/data models representation of the 1EdTech OMS specification information model. This representation is used by the 1EdTech I-BAT tool to auto-generate the corresponding WSDL/XSDs;

3. Application of the Binding Guidelines

Explanation of how the platform specific model is realised as the WSDL/XSD binding. This addresses how the information model is realised as a Web Service;

4. WSDL File Documentation

The description of the Web Services used to realise the service model components of the binding. This part of the binding document was created using the schema documentation tool provided as part of the Oxygen 12.1 product;

5. XSD File Documentation

The description of the elements used within the data model components of the binding. This part of the binding document was created using the schema documentation tool provided as part of the Oxygen 12.1 product;

6. Vocabulary Binding Using VDEX Instances

Contains the description of how the set of external vocabulary files realised as VDEX files;

Appendix A - Listing of the WSDL Files

This is the full listing of the OMS WSDL files;

Appendix B - Listing of the XSD Files

This is the full listing of the OMS XSD files;

Appendix C - Vocabulary VDEX Instance File Listings

This is the full listing of the set of external vocabulary VDEX instance files.

Appendix D - Examples SOAP Messages

Examples of the SOAP messages that are exchanged to realise the service.

1.3 Nomenclature

HTTP

HyperText Transfer Protocol

I-BAT

1EdTech Binding Auto-generation Tool-kit

1EdTech

1EdTech Consortium

LIS

Learning Information Services

MDA

Model Driven Architecture

OMS

Outcomes Management Service

PIM

Protocol Independent Model

PSM

Platform Specific Model

UML

Unified Modelling Language

VDEX

Vocabulary Definition Exchange

W3C

World Wide Web Consortium

WSDL

Wed Services Description Language

XMI

XML Meta-data Interchange

XML

Extensible Mark-up Language

XSD

XML Schema Definition

XSL

Extensible Stylesheet Language

XSLT

XSL Transformations

1.4 References

[GWS, 06a]

1EdTech General Web Services Base Profile Specification Final Release v1.0, C.Schroeder, J.Simon and C.Smythe, 1EdTech Consortium, January 2006.

[GWS, 06b]

1EdTech General Web Services WSDL Binding Guidelines Final Release v1.0, C.Schroeder, J.Simon and C.Smythe, 1EdTech Consortium, January 2006.

[I-BAT, 06]

1EdTech Binding Auto-generation Toolkit Manual v1.0, C.Smythe, 1EdTech Consortium, July 2006.

[LIS, 13a]

1EdTech Learning Information Services Specification v2.0.1 Final Release, L.Feng, B.Lee and C.Smythe, 1EdTech Consortium, September 2013.

[LIS, 1b]

1EdTech Learning Information Services Best Practice and Implementation Guide v2.0.1 Final Release, L.Feng, B.Lee and C.Smythe, 1EdTech Consortium, September 2013.

[OMS, 13]

1EdTech Outcomes Management Services Information Model Specification v1.0 Final Release, L.Feng, B.Lee and C.Smythe, 1EdTech Consortium, September 2013.

[SDN11, 06]

1EdTech Specification Note 11: Vocabulary Definition, Registration & Maintenance Procedures, C.Smythe, 1EdTech Consortium, October 2006.

[VDEX, 04a]

1EdTech Vocabulary Definition Exchange Information Model Specification Final Release v1.0, A.Cooper, 1EdTech Consortium, February 2004.

[VDEX, 04b]

1EdTech Vocabulary Definition Exchange XML Binding Specification Final Release v1.0, A.Cooper, 1EdTech Consortium, February 2004.

top | toc


2. Platform Specific Model of the Binding

2.1 Service Description

Figure 2.1 is the PSM of the service group model description for the OMS. This information is used to establish the mapping to the binding flavors of WSDL.

Figure 2.1 The PSM representation of the service group model description for the OMS.

Figure 2.2 is the PSM of the service model description for the OMS. The PSM is derived from the Platform Independent Model that was documented within the information model for the OMS specification [OMS, 13].

Figure 2.2 The PSM representation of the service model description for the OMS.

2.2 Data for the Service Operations

The data model for the service operations is shown in Figure 2.3 and 2.4. Figure 2.3 shows the data models for the set of parameters. Figure 2.4 is the data model for the Status Information and other WSDL-specific binding data structures.

Figure 2.3 The PSM representation of the parameters data model description for the OMS.

Figure 2.4 The PSM representation of the status information data model description for the OMS.

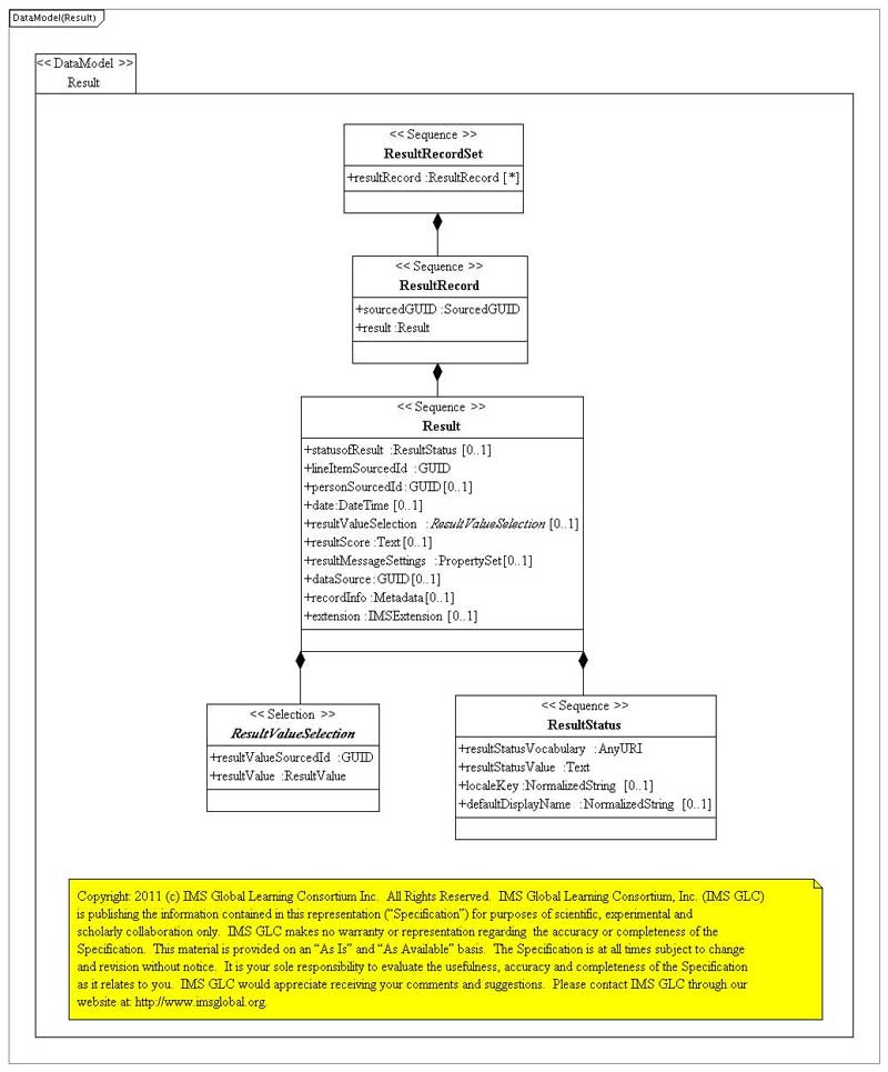
2.3 Outcomes Data Models

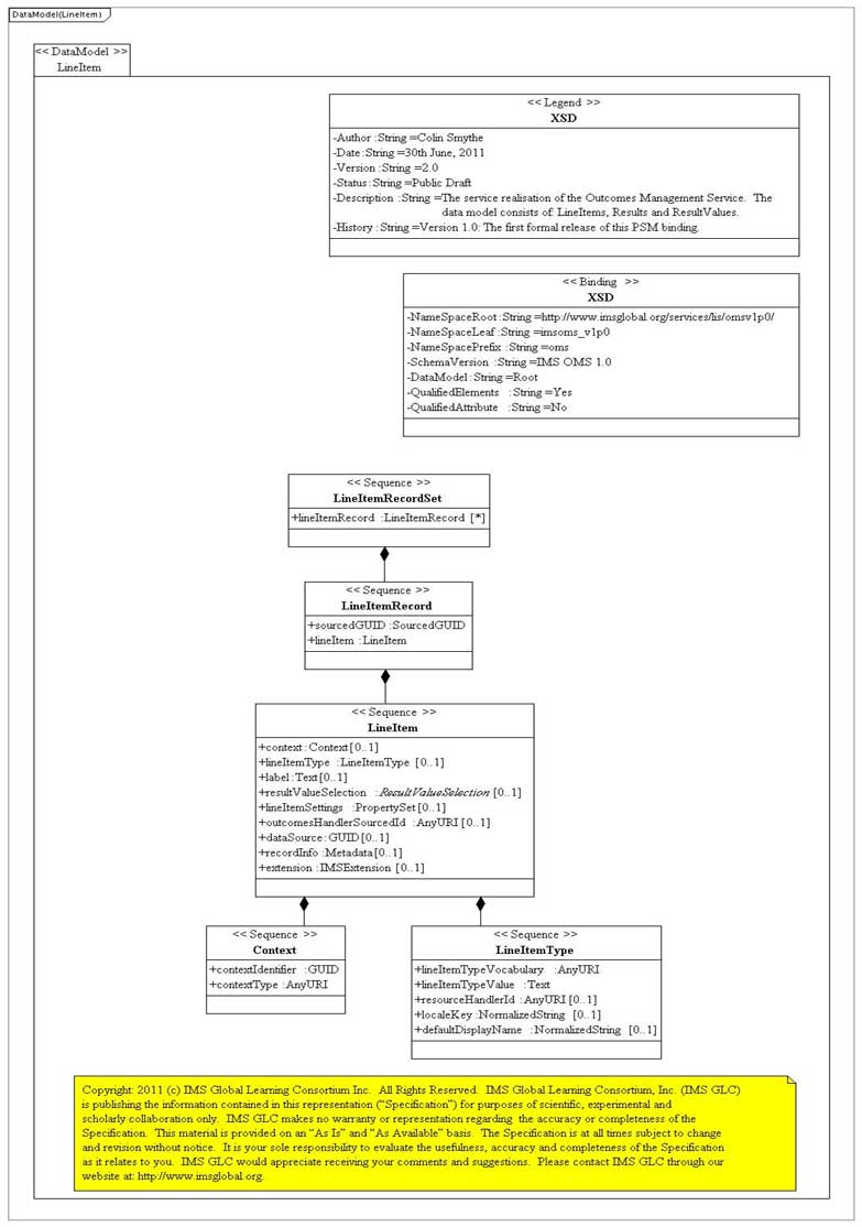
The PSM for the Outcomes data models are shown in Figures 2.5, 2.6, 2.7 and 2.8. Figure 2.5 is the LineItem data model, Figure 2.6 is the Result data model, Figure 2.7 is the ResultValue data model and Figure 2.8 contains the set of common data model classes.

Figure 2.5 The PSM representation of the LineItem data model description for the OMS.

Figure 2.6 The PSM representation of the Result data model description for the OMS.

Figure 2.7 The PSM representation of the ResultValue data model description for the OMS.

Figure 2.8 The PSM representation of the common data models description for the OMS.

2.4 File-based Data Exchange Data Model

The PSM for the file-based Outcomes data models are shown in Figures 2.9, 2.10, 2.11 and 2.12. Figure 2.9 is the LIneItemRecord data model, Figure 2.10 is the ResultRecord data model, Figure 2.11 is the ResultValueRecord data model and Figure 2.12 contains the set of common data model classes.

Figure 2.9 The PSM representation of the LineItemRecord data model description for file storage in the OMS.

Figure 2.10 The PSM representation of the ResultRecord data model description for file storage in the OMS.

Figure 2.11 The PSM representation of the ResultValueRecord data model description for file storage in the OMS.

Figure 2.12 The PSM representation of the common data model description for file storage in the OMS.

top | toc


3. Application of the Binding Guidelines

The WSDL/XSD bindings have been generated using the methodology documented in [GWS 06a] and [GWS, 06b]. Only the synchronous service binding has been created. The binding files are available in three forms:

  • A single combined WSDL/XSD – OutcomesManagementServicev1p0_SyncSingle_v1p0.wsdl;
  • As single combined WSDL/XSD for each interface – OutcomesManagementServicev1p0_LineItemManagerSyncSingle_v1p0.wsdl, OutcomesManagementServicev1p0_ResultManagerSyncSingle_v1p0.wsdl and OutcomesManagementServicev1p0_ResultValueManagerSyncSingle_v1p0.wsdl
  • Separated WSDL and XSD files – OutcomesManagementServicev1p0_SyncWSDL_v1p0.wsdl and OutcomesManagementServiceSyncXSD.xsd respectively.

It is recommended that only the combined form is used (many WSDL-based code generation tools do not process the 'import' instructions).

The mapping between the PIM and PSM descriptions is detailed in Table 3.1.

Table 3.1 Mapping between the PIM, PSM and XSD descriptions for the data models.

PSM Reference

PIM Reference

XSD Reference

Name

UML Type

Figure

Type

Table

Name

Type

LineItemRecordSet

Class

2.5

_

LineItemRecordSet.Type

ComplexType

  • lineItemRecord

Attribute

2.5

LineItemRecord

5.3

lineItemRecord

Element

LineItemRecord

Class

2.5

5.6

LineItemRecord.Type

ComplexType

  • sourcedGUID

Attribute

2.5

SourcedGUID

5.7

sourcedGUID

Element

  • lineItem

Attribute

2.5

LineItem

5.8

lineItem

Element

LineItem

Class

2.5

5.23

LineItem.Type

ComplexType

  • context

Attribute

2.5

Context

5.24

context

Element

  • lineItemType

Attribute

2.5

LineItemType

5.25

lineItemType

Element

  • label

Attribute

2.5

NormalizedString

5.26

label

Element

  • resultValueSourcedId

Attribute

2.5

GUID

5.27

resultValueSourcedId

Element

  • resultValue

Attribute

2.5

ResultValue

5.28

resultValue

Element

  • lineItemMessageSettings

Attribute

2.5

PropertySet

5.29

lineItemMessageSettings

Element

  • outcomesHandlerSourcedId

Attribute

2.5

URI

5.30

outcomesHandlerSourcedId

Element

  • dataSource

Attribute

2.5

GUID

5.31

dataSource

Element

  • recordInfo

Attribute

2.5

Metadata

5.32

recordInfo

Element

  • extension

Attribute

2.5

IMSExtension

5.33

extension

Element

Context

Class

2.5

5.34

Context.Type

ComplexType

  • contextIdentifier

Attribute

2.5

GUID

5.35

contextIdentifier

Element

  • contextType

Attribute

2.5

URI

5.36

contextType

Element

LineItemType

Class

2.5

5.37

LineItemType.Type

ComplexType

  • lineItemTypeVocabulary

Attribute

2.5

URI

5.38

lineItemTypeVocabulary

Element

  • lineItemTypeValue

Attribute

2.5

Text

5.39

lineItemTypeValue

Element

  • resourceHandlerSourcedId

Attribute

2.5

URI

5.40

resourceHandlerSourcedId

Element

  • localKey

Attribute

2.5

NormalizedString

5.41

localKey

Element

  • defaultDisplayName

Attribute

2.5

NormalizedString

5.42

defaultDisplayName

Element

ResultRecordSet

Class

2.6

_

ResultRecordSet.Type

ComplexType

  • resultRecord

Attribute

2.6

resultRecord

5.4

resultRecord

Element

ResultRecord

Class

2.6

5.9

ResultRecord.Type

ComplexType

  • sourcedGUID

Attribute

2.5

SourcedGUID

5.10

sourcedGUID

Element

  • result

Attribute

2.6

Result

5.11

result

Element

Result

Class

2.6

5.43

Result.Type

ComplexType

  • statusofResult

Attribute

2.6

ResultStatus

5.44

statusofResult

Element

  • lineItemSourcedId

Attribute

2.6

GUID

5.45

lineItemSourcedId

Element

  • personSourcedId

Attribute

2.6

GUID

5.46

personSourcedId

Element

  • date

Attribute

2.6

DateTime

5.47

dateTime

Element

  • resultValueSourcedId

Attribute

2.6

GUID

5.48

resultValueSourcedId

Element

  • resultValue

Attribute

2.6

ResultValue

5.49

resultValue

Element

  • resultScore

Attribute

2.6

Text

5.50

resultScore

Element

  • resultMessageSettings

Attribute

2.5

PropertySet

5.51

resultMessageSettings

Element

  • dataSource

Attribute

2.6

GUID

5.52

dataSource

Element

  • recordInfo

Attribute

2.6

Metadata

5.53

recordInfo

Element

  • extension

Attribute

2.6

IMSExtension

5.54

extension

Element

ResultStatus

Class

2.6

TBD

ResultStatus.Type

ComplexType

  • resultStatusVocabulary

Attribute

2.5

URI

5.55

resultStatusVocabulary

Element

  • resultStatusValue

Attribute

2.5

Text

5.56

resultStatusValue

Element

  • localKey

Attribute

2.5

NormalizedString

5.57

localKey

Element

  • defaultDisplayName

Attribute

2.5

NormalizedString

5.58

defaultDisplayName

Element

ResultValueRecordSet

Class

2.7

_

ResultValueRecordSet.Type

ComplexType

  • resultValueRecord

Attribute

2.7

resultValueRecord

5.5

resultValueRecord

Element

ResultValueRecord

Class

2.7

5.12

ResultValueRecord.Type

ComplexType

  • sourcedGUID

Attribute

2.7

SourcedGUID

5.13

sourcedGUID

Element

  • resultValue

Attribute

2.7

ResultValue

5.14

resultValue

Element

ResultValue

Class

2.7

5.59

ResultValue.Type

ComplexType

  • label

Attribute

2.7

Text

5.60

label

Element

  • valueList

Attribute

2.7

ValueList

5.61

valueList

Element

  • valueRange

Attribute

2.7

ValueRange

5.62

valueRange

Element

  • dataSource

Attribute

2.7

GUID

5.63

dataSource

Element

  • recordInfo

Attribute

2.7

Metadata

5.64

recordInfo

Element

  • extension

Attribute

2.7

IMSExtension

5.65

extension

Element

ValueList

Class

2.7

5.66

ValueList.Type

ComplexType

  • orderedValue

Attribute

2.7

OrderedValue

5.67

orderedValue

Element

OrderedValue

Class

2.7

5.68

OrderedValue.Type

ComplexType

  • ordinal

Attribute

2.7

Integer

5.69

ordinal

Element

  • grade

Attribute

2.7

Text

5.70

grade

Element

  • valueRange

Attribute

2.7

ValueRange

5.71

valueRange

Element

ValueRange

Class

2.7

5.72

ValueList.Type

ComplexType

  • min

Attribute

2.7

Real

5.73

min

Element

  • max

Attribute

2.7

Real

5.74

max

Element

Metadata

Class

2.8

5.75

Metadata.Type

ComplexType

  • metadataNameVocabulary

Attribute

2.8

URI

5.76

metadataNameVocabulary

Element

  • metadataValueVocabulary

Attribute

2.8

URI

5.77

metadataValueVocabulary

Element

  • metadataField

Attribute

2.8

ExtensionField

5.78

metadataField

Element

IMSExtension

Class

2.8

5.79

IMSExtension.Type

ComplexType

  • extensionNameVocabulary

Attribute

2.8

URI

5.80

extensionNameVocabulary

Element

  • extensionValueVocabulary

Attribute

2.8

URI

5.81

extensionValueVocabulary

Element

  • extensionField

Attribute

2.8

ExtensionField

5.82

extensionField

Element

ExtensionField

Class

2.8

5.83

ExtensionField.Type

ComplexType

  • fieldName

Attribute

2.8

NormalizedString

5.84

fieldName

Element

  • fieldType

Attribute

2.8

NormalizedString

5.85

fieldType

Element

  • fieldValue

Attribute

2.8

NormalizedString

5.86

fieldValue

Element

Text

Class

2.8

5.87

Text.Type

ComplexType

  • language

Attribute

2.8

NormalizedString

5.88

language

Element

  • textString

Attribute

2.8

String

5.89

textString

Element

SourcedGUID

Class

2.8

5.90

SourcedGUID.Type

ComplexType

  • refAgentInstanceID

Attribute

2.8

NormalizedString

5.91

refAgentInstanceID

Element

  • sourcedId

Attribute

2.8

GUID

5.92

sourcedGUID

Element

imsx_StatusInfo

Class

2.4

See 1EdTech GWSv1.0

imsx_StatusInfo.Type

ComplexType

  • imsx_codeMajor

Attribute

2.4

n/a

See 1EdTech GWSv1.0

imsx_codeMajor

Element

  • imsx_severity

Attribute

2.4

n/a

See 1EdTech GWSv1.0

imsx_severity

Element

  • imsx_messageRefIdentifier

Attribute

2.4

n/a

See 1EdTech GWSv1.0

imsx_messageRefIdentifier

Element

  • imsx_operationRefIdentifier

Attribute

2.4

n/a

See 1EdTech GWSv1.0

imsx_operationRefIdentifier

Element

  • imsx_description

Attribute

2.4

n/a

See 1EdTech GWSv1.0

imsx_description

Element

  • imsx_codeMinor

Attribute

2.4

n/a

See 1EdTech GWSv1.0

imsx_codeMinor

Element

imsx_CodeMinor

Class

2.4

See 1EdTech GWSv1.0

imsx_CodeMinor.Type

ComplexType

  • imsx_codeMinorField

Attribute

2.4

n/a

See 1EdTech GWSv1.0

imsx_codeMinorField

Element

imsx_CodeMinorField

Class

2.4

See 1EdTech GWSv1.0

imsx_CodeMinorField.Type

ComplexType

  • imsx_codeMinorFieldName

Attribute

2.4

n/a

See 1EdTech GWSv1.0

imsx_codeMinorFieldName

Element

  • imsx_codeMinorFieldValue

Attribute

2.4

n/a

See 1EdTech GWSv1.0

imsx_codeMinorFieldValue

Element

imsx_StatusBinding

Class

2.4

See 1EdTech GWSv1.0

imsx_StatusBinding.Type

ComplexType

  • imsx_syncRequestHeaderInfo

Attribute

2.4

n/a

See 1EdTech GWSv1.0

imsx_syncRequestHeaderInfo

Element

  • imsx_syncResponseHeaderInfo

Attribute

2.4

n/a

See 1EdTech GWSv1.0

imsx_syncResponseHeaderInfo

Element

imsx_RequestHeaderInfo

Class

2.4

See 1EdTech GWSv1.0

imsx_RequestHeaderInfo.Type

ComplexType

  • imsx_version

Attribute

2.4

n/a

See 1EdTech GWSv1.0

imsx_version

Element

  • imsx_messageIdentifier

Attribute

2.4

n/a

See 1EdTech GWSv1.0

imsx_messageIdentifier

Element

imsx_ResponseHeaderInfo

Class

2.4

See 1EdTech GWSv1.0

imsx_ResponseHeaderInfo.Type

ComplexType

  • imsx_version

Attribute

2.4

n/a

See 1EdTech GWSv1.0

imsx_version

Element

  • imsx_messageIdentifier

Attribute

2.4

n/a

See 1EdTech GWSv1.0

imsx_messageIdentifier

Element

  • imsx_statusInfo

Attribute

2.4

n/a

See 1EdTech GWSv1.0

imsx_statusInfo

Element

Key:

I.                        The 'PSM Reference' field refers to information in the PSM description (Section 2 in this document). The sub-fields are:

a.       Name – the name of the data structure in the PSM and PIM

b.      UML Type – the type of UML construct i.e. either Class or Attribute

c.       Figure – the reference Figure number in this document;

       II.            The 'PIM Reference' field refers to infomation in the OMS Information Model [OMS, 13]. The sub-fields are:

.        Type – the type of the data structure in the Information Model

a.       Table – the reference number of Tabular description in the corresponding Information Model document;

      III.            The 'XSD Reference' field refers to infrmation in the XSD descriptions (Section 5 in this document). The sub-fields are:

.        Name – the name of the field in the XSD(s)

a.       Type – the type of XSD construct i.e. either a ComplexType or Element.

top | toc


4. WSDL File Documentation

WSDL file: "WSDL file: "OutcomesManagementServicev1p0_SyncSingle_v1p0.wsdl"

Target namespace: http://www.imsglobal.org/services/lis/oms1p0/wsdl11/sync/imsoms_v1p0

4.1 Overview

Services

OutcomesManagementServiceSyncService

Bindings

LineItemManagerSyncSoapBinding

ResultManagerSyncSoapBinding

ResultValueManagerSyncSoapBinding

Port types

LineItemManagerSyncPortType

ResultManagerSyncPortType

ResultValueManagerSyncPortType

Messages

createLineItemRequest, createLineItemResponse, createByProxyLineItemRequest, createByProxyLineItemResponse, deleteLineItemRequest, deleteLineItemResponse, readLineItemRequest, readLineItemResponse, readAllLineItemIdsRequest, readAllLineItemIdsResponse, readLineItemIdsForPersonRequest, readLineItemIdsForPersonResponse, readLineItemIdsForCourseOfferingRequest, readLineItemIdsForCourseOfferingResponse, readLineItemIdsForCourseSectionRequest, readLineItemIdsForCourseSectionResponse, readLineItemIdsForCourseSectionWithLineItemTypeRequest, readLineItemIdsForCourseSectionWithLineItemTypeResponse, readLineItemIdsWithLineItemTypeRequest, readLineItemIdsWithLineItemTypeResponse, readLineItemIdsFromSavePointRequest, readLineItemIdsFromSavePointResponse, readLineItemsRequest, readLineItemsResponse, readLineItemsFromSavePointRequest, readLineItemsFromSavePointResponse, updateLineItemRequest, updateLineItemResponse, replaceLineItemRequest, replaceLineItemResponse, discoverLineItemIdsRequest, discoverLineItemIdsResponse, changeLineItemIdentifierRequest, changeLineItemIdentifierResponse, createResultRequest, createResultResponse, createByProxyResultRequest, createByProxyResultResponse, deleteResultRequest, deleteResultResponse, readResultRequest, readResultResponse, readAllResultIdsRequest, readAllResultIdsResponse, readResultIdsForPersonRequest, readResultIdsForPersonResponse, readResultIdsForLineItemRequest, readResultIdsForLineItemResponse, readResultIdsForCourseOfferingRequest, readResultIdsForCourseOfferingResponse, readResultIdsForCourseSectionRequest, readResultIdsForCourseSectionResponse, readResultIdsForCourseSectionWithStatusRequest, readResultIdsForCourseSectionWithStatusResponse, readResultIdsForLineItemWithLineItemTypeRequest, readResultIdsForLineItemWithLineItemTypeResponse, readResultIdsFromSavePointRequest, readResultIdsFromSavePointResponse, readResultsRequest, readResultsResponse, readResultsFromSavePointRequest, readResultsFromSavePointResponse, updateResultRequest, updateResultResponse, replaceResultRequest, replaceResultResponse, replaceResultsForLineItemRequest, replaceResultsForLineItemResponse, discoverResultIdsRequest, discoverResultIdsResponse, changeResultIdentifierRequest, changeResultIdentifierResponse, createResultValueRequest, createResultValueResponse, createByProxyResultValueRequest, createByProxyResultValueResponse, deleteResultValueRequest, deleteResultValueResponse, readResultValueRequest, readResultValueResponse, readAllResultValueIdsRequest, readAllResultValueIdsResponse, readResultValueIdForLineItemRequest, readResultValueIdForLineItemResponse, readResultValueIdForResultRequest, readResultValueIdForResultResponse, readResultValueIdsFromSavePointRequest, readResultValueIdsFromSavePointResponse, readResultValuesRequest, readResultValuesResponse, readResultValuesFromSavePointRequest, readResultValuesFromSavePointResponse, updateResultValueRequest, updateResultValueResponse, replaceResultValueRequest, replaceResultValueResponse, discoverResultValueIdsRequest, discoverResultValueIdsResponse, changeResultValueIdentifierRequest, changeResultValueIdentifierResponse,

 

WSDL Definition

Name

Documentation

OutcomesManagementServiceSyncServices

WSDL File Information

Services: OutcomesManagementService (Synchronous Communications)

Author: Colin Smythe

Date: 30th June, 2011

Version: 2.0

Status: Public Draft

Description: The Outcomes Management Service.

History: Version 1.0: This is the first formal release of this service.

WSDL Binding: WSDL Binding is based upon the 1EdTech General Web Services Base Profile v1.0 The 1EdTech GWS Basic Profile is derived from the WS-I Basic Profile v1.1. This profile uses: WSDL 1.1, SOAP 1.1, HTTP 1.1 and XML 1.0. Extension profiles to the 1EdTech GWS Base Profile are available but are not supported using this tool version.

License: IPR, License and Distribution Notices

This machine readable file is derived from 1EdTech Consortium (GLC) specification 1EdTech Outcome Management Version 1.0 found at http://www.imsglobal.org/lis/omsv1p0/imsoms_InfoModelCMv1.pdf and the original 1EdTech schema binding or code base http://www.imsglobal.org/lis/omsv1p0/imsomsv1p0_BindingCMv1.html.

Recipients of this document are requested to submit, with their comments, notification of any relevant patent claims or other intellectual property rights of which they may be aware that might be infringed by the schema binding contained in this document.

1EdTech takes no position regarding the validity or scope of any intellectual property or other rights that might be claimed to pertain to the implementation or use of the technology described in this document or the extent to which any license under such rights might or might not be available; neither does it represent that it has made any effort to identify any such rights. Information on 1EdTech GLCs procedures with respect to rights in 1EdTech specifications can be found at the 1EdTech Intellectual Property Rights web page: http://www.imsglobal.org/ipr/imsipr_policyFinal.pdf.

Copyright © 1EdTech Consortium 1999-2011. All Rights Reserved.

License Notice for Users

Users of products or services that include this document are hereby granted a worldwide, royalty-free, non-exclusive license to use this document.

Distribution Notice for Developers

Developers of products or services that are not original incorporators of this document and have not changed this document, that is, are distributing a software product that incorporates this document as is from a third-party source other than 1EdTech, are hereby granted permission to copy, display and distribute the contents of this document in any medium for any purpose without fee or royalty provided that you include this IPR, License and Distribution notice in its entirety on ALL copies, or portions thereof.

Developers of products or services that are original incorporators of this document and wish to provide distribution of this document as is or with modifications and developers of products and services that are not original incorporators of this document and have changed this document, are required to register with the 1EdTech community on the 1EdTech website as described in the following two paragraphs:-

  • If you wish to distribute this document as is, with no modifications, you are hereby granted permission to copy, display and distribute the contents of this document in any medium for any purpose without fee or royalty provided that you include this IPR, License and Distribution notice in its entirety on ALL copies, or portions thereof, that you make and you complete a valid license registration with 1EdTech and receive an email from 1EdTech granting the license. To register, follow the instructions on the 1EdTech website: http://www.imsglobal.org/specificationdownload.cfm. Once registered you are granted permission to transfer unlimited distribution rights of this document for the purposes of third-party or other distribution of your product or service that incorporates this document as long as this IPR, License and Distribution notice remains in place in its entirety.
  • If you wish to create and distribute a derived work from this document, you are hereby granted permission to copy, display and distribute the contents of the derived work in any medium for any purpose without fee or royalty provided that you include this IPR, License and Distribution notice in its entirety on ALL copies, or portions thereof, that you make and you complete a valid profile registration with 1EdTech and receive an email from 1EdTech granting the license. To register, follow the instructions on the 1EdTech GLC website: http://www.imsglobal.org/profile/. Once registered you are granted permission to transfer unlimited distribution rights of the derived work for the purposes of third-party or other distribution of your product or service that incorporates the derived work as long as this IPR, License and Distribution notice remains in place in its entirety.

The limited permissions granted above are perpetual and will not be revoked by 1EdTech or its successors or assigns.

THIS SPECIFICATION IS BEING OFFERED WITHOUT ANY WARRANTY WHATSOEVER, AND IN PARTICULAR, ANY WARRANTY OF NONINFRINGEMENT IS EXPRESSLY DISCLAIMED. ANY USE OF THIS SPECIFICATION SHALL BE MADE ENTIRELY AT THE IMPLEMENTERS OWN RISK, AND NEITHER THE CONSORTIUM NOR ANY OF ITS MEMBERS OR SUBMITTERS, SHALL HAVE ANY LIABILITY WHATSOEVER TO ANY IMPLEMENTER OR THIRD PARTY FOR ANY DAMAGES OF ANY NATURE WHATSOEVER, DIRECTLY OR INDIRECTLY, ARISING FROM THE USE OF THIS SPECIFICATION.

UML Source File Information

Choreography: Sync

Transport: SOAPv1.1

Source XSLT File Information

XSL Generator: UMLtoWSDLTransformv0p9p5.xsl

XSLT Processor: Xalan

Release: 1.0 Beta 4

Date: 31st March, 2011

1EdTech Auto-generation Binding Tool-kit (I-BAT)

This file was auto-generated using the 1EdTech Binding Auto-generation Tool-kit (I-BAT). While every attempt has been made to ensure that this tool auto-generates the files correctly, users should be aware that this is an experimental tool. Permission is given to make use of this tool. 1EdTech makes no claim on the materials created by third party users of this tool. Details on how to use this tool are contained in the 1EdTech "I-BAT" Documentation available at the 1EdTech web-site.

Tool Copyright: 2005-2011 (c) 1EdTech Consortium Inc. All Rights Reserved.

 

Services

Name

Documentation

OutcomesManagementServiceSyncService

Service Information

Author: Colin Smythe

Date: 30th June, 2011

Version: 2.0

Status: Public Draft

Description: The Outcomes Management Service is composed of three interfaces each of which has several operations.

History: Version 1.0: This is the first formal release of this service. This service is a part of the 1EdTech LIS v2.0 specification.

 

Service : OutcomesManagementServiceSyncService

Port Name

Binding

Address Extensibility

Documentation

LineItemManagerSyncSoapPort

LineItemManagerSyncSoapBinding

<soap11:address location="http://www.imsglobal.org/lis/oms1p0/LineItemManagerSyncSoap/"/>

N/A

ResultManagerSyncSoapPort

ResultManagerSyncSoapBinding

<soap11:address location="http://www.imsglobal.org/lis/oms1p0/ResultManagerSyncSoap/"/>

N/A

ResultValueManagerSyncSoapPort

ResultValueManagerSyncSoapBinding

<soap11:address location="http://www.imsglobal.org/lis/oms1p0/ResultValueManagerSyncSoap/"/>

N/A

 

Binding : LineItemManagerSyncSoapBinding

Port Type

LineItemManagerSyncPortType

Extensibility

<soap11:binding transport="http://schemas.xmlsoap.org/soap/http" style="document"/>

Operations

createLineItem, createByProxyLineItem, deleteLineItem, readLineItem, readAllLineItemIds, readLineItemIdsForPerson, readLineItemIdsForCourseOffering, readLineItemIdsForCourseSection, readLineItemIdsForCourseSectionWithLineItemType, readLineItemIdsWithLineItemType, readLineItemIdsFromSavePoint, readLineItems, readLineItemsFromSavePoint, updateLineItem, replaceLineItem, discoverLineItemIds, changeLineItemIdentifier,

 

Binding : ResultManagerSyncSoapBinding

Port Type

ResultManagerSyncPortType

Extensibility

<soap11:binding transport="http://schemas.xmlsoap.org/soap/http" style="document"/>

Operations

createResult, createByProxyResult, deleteResult, readResult, readAllResultIds, readResultIdsForPerson, readResultIdsForLineItem, readResultIdsForCourseOffering, readResultIdsForCourseSection, readResultIdsForCourseSectionWithStatus, readResultIdsForLineItemWithLineItemType, readResultIdsFromSavePoint, readResults, readResultsFromSavePoint, updateResult, replaceResult, replaceResultsForLineItem, discoverResultIds, changeResultIdentifier,

 

Binding : ResultValueManagerSyncSoapBinding

Port Type

ResultValueManagerSyncPortType

Extensibility

<soap11:binding transport="http://schemas.xmlsoap.org/soap/http" style="document"/>

Operations

createResultValue, createByProxyResultValue, deleteResultValue, readResultValue, readAllResultValueIds, readResultValueIdForLineItem, readResultValueIdForResult, readResultValueIdsFromSavePoint, readResultValues, readResultValuesFromSavePoint, updateResultValue, replaceResultValue, discoverResultValueIds, changeResultValueIdentifier,

 

Port Type : LineItemManagerSyncPortType

Operation Name

Input message

Output message

Documentation

createLineItem

createLineItemRequest

createLineItemResponse

The 'createLineItem' operation requests the service provider to create a new LineItem object with the supplied sourcedId value.

createByProxyLineItem

createByProxyLineItemRequest

createByProxyLineItemResponse

The 'createByProxyLineItem' operation requests the service provider to create a new LineItem object with a sourcedId allocated by the service provider itself.

deleteLineItem

deleteLineItemRequest

deleteLineItemResponse

The 'deleteLineItem' operation requests the service provider to delete the identified LineItem object.

readLineItem

readLineItemRequest

readLineItemResponse

The 'readLineItem' operation requests the service provider to supply the stored data for the identified LineItem object.

readAllLineItemIds

readAllLineItemIdsRequest

readAllLineItemIdsResponse

The 'readAllLineItemIds' operation requests the service provider to supply all of the SourcedIds that have been assigned to LineItem objects.

readLineItemIdsForPerson

readLineItemIdsForPersonRequest

readLineItemIdsForPersonResponse

The 'readLineItemIdsForPerson' operation requests the service provider to supply the SourcedIds of the LineItem objects that contain results for the identified Person.

readLineItemIdsForCourseOffering

readLineItemIdsForCourseOfferingRequest

readLineItemIdsForCourseOfferingResponse

The 'readLineItemIdsForCourseOffering' operation requests the service provider to supply the SourcedIds of the LineItem objects that contain results associated with the identified CourseOffering.

readLineItemIdsForCourseSection

readLineItemIdsForCourseSectionRequest

readLineItemIdsForCourseSectionResponse

The 'readLineItemIdsForCourseSection' operation requests the service provider to supply the SourcedIds of the LineItem objects that contain results associated with the identified CourseSection.

readLineItemIdsForCourseSectionWithLineItemType

readLineItemIdsForCourseSectionWithLineItemTypeRequest

readLineItemIdsForCourseSectionWithLineItemTypeResponse

The 'readLineItemIdsForCourseSectionWithLineItemType' operation requests the service provider to supply the SourcedIds of the LineItem objects for the identified CourseSection with the identified LineItemType.

readLineItemIdsWithLineItemType

readLineItemIdsWithLineItemTypeRequest

readLineItemIdsWithLineItemTypeResponse

The 'readLineItemIdsWithLineItemTypen' operation requests the service provider to supply the SourcedIds of the LineItem objects with the identified LineItemType.

readLineItemIdsFromSavePoint

readLineItemIdsFromSavePointRequest

readLineItemIdsFromSavePointResponse

The 'readLineItemIdsFromSavePoint' operation requests the service provider to supply the SourcedIds of the LineItem objects that have been altered after the defined reference point (SavePoint).

readLineItems

readLineItemsRequest

readLineItemsResponse

The 'readLineItems' operation requests the service provider to supply the LineItem objects that have been identified by the service consumer.

readLineItemsFromSavePoint

readLineItemsFromSavePointRequest

readLineItemsFromSavePointResponse

The 'readLineItemsFromSavePoint' operation requests the service provider to supply the LineItem objects that have been altered after the defined reference point (SavePoint).

updateLineItem

updateLineItemRequest

updateLineItemResponse

The 'updateLineItem' operation requests the service provider to write the new data into identified LineItem object (this is an additive write).

replaceLineItem

replaceLineItemRequest

replaceLineItemResponse

The 'replaceLineItem' operation requests the service provider to write the new data into identified LineItem object (this is an destructive overwrite of all the previously stored data). If the identified object does not exist, this becomes a 'createLineItem' operation.

discoverLineItemIds

discoverLineItemIdsRequest

discoverLineItemIdsResponse

The 'discoverLineItem' operation requests the service provider to supply the SourcedIds for all of the LineItem objects that comply to the supplied search criteria.

changeLineItemIdentifier

changeLineItemIdentifierRequest

changeLineItemIdentifierResponse

The 'changeLineItemIdentifier' operation requests the service provider to change the SourcedId for the identified LineItem object.

 

Port Type : ResultManagerSyncPortType

Operation Name

Input message

Output message

Documentation

createResult

createResultRequest

createResultResponse

The 'createLineItem' operation requests the service provider to create a new LineItem object with the supplied sourcedId value.

createByProxyResult

createByProxyResultRequest

createByProxyResultResponse

The 'createByProxyResult' operation requests the service provider to create a new LineItem object with a sourcedId allocated by the service provider itself.

deleteResult

deleteResultRequest

deleteResultResponse

The 'deleteResult' operation requests the service provider to delete the identified Result object.

readResult

readResultRequest

readResultResponse

The 'readResult' operation requests the service provider to supply the stored data for the identified Result object.

readAllResultIds

readAllResultIdsRequest

readAllResultIdsResponse

The 'readAllResultIds' operation requests the service provider to supply all of the SourcedIds that have been assigned to Result objects.

readResultIdsForPerson

readResultIdsForPersonRequest

readResultIdsForPersonResponse

The 'readResultIdsForPerson' operation requests the service provider to supply the SourcedIds of the Result objects for the identified Person.

readResultIdsForLineItem

readResultIdsForLineItemRequest

readResultIdsForLineItemResponse

The 'readResultIdsForLineItem' operation requests the service provider to supply the SourcedIds of the Result objects for the identified LineItem.

readResultIdsForCourseOffering

readResultIdsForCourseOfferingRequest

readResultIdsForCourseOfferingResponse

The 'readResultIdsForCourseOffering' operation requests the service provider to supply the SourcedIds of the Result objects for the identified CourseOffering.

readResultIdsForCourseSection

readResultIdsForCourseSectionRequest

readResultIdsForCourseSectionResponse

The 'readResultIdsForSection' operation requests the service provider to supply the SourcedIds of the Result objects for the identified CourseSection.

readResultIdsForCourseSectionWithStatus

readResultIdsForCourseSectionWithStatusRequest

readResultIdsForCourseSectionWithStatusResponse

The 'readResultIdsForSection' operation requests the service provider to supply the SourcedIds of the Result objects for the identified result status and for the identified CourseSection.

readResultIdsForLineItemWithLineItemType

readResultIdsForLineItemWithLineItemTypeRequest

readResultIdsForLineItemWithLineItemTypeResponse

The 'readResultIdsForLineItemsWithLineItemType' operation requests the service provider to supply the SourcedIds of the Result objects with the given result status for the identified LineItemObject and with the given LineItemType.

readResultIdsFromSavePoint

readResultIdsFromSavePointRequest

readResultIdsFromSavePointResponse

The 'readResultIdsFromSavePoint' operation requests the service provider to supply the SourcedIds of the Result objects that have been altered after the defined reference point (SavePoint).

readResults

readResultsRequest

readResultsResponse

The 'readResults' operation requests the service provider to supply the Result objects that have been identified by the service consumer.

readResultsFromSavePoint

readResultsFromSavePointRequest

readResultsFromSavePointResponse

The 'readResultsFromSavePoint' operation requests the service provider to supply the Result objects that have been altered after the defined reference point (SavePoint).

updateResult

updateResultRequest

updateResultResponse

The 'updateResult' operation requests the service provider to write the new data into identified Result object (this is an additive write).

replaceResult

replaceResultRequest

replaceResultResponse

The 'replaceResult' operation requests the service provider to write the new data into identified Result object (this is an destructive overwrite of all the previously stored data). If the identified object does not exist, this becomes a 'createResult' operation.

replaceResultsForLineItem

replaceResultsForLineItemRequest

replaceResultsForLineItemResponse

The 'replaceResultsForLineItem' operation sends the Result records all for PersonSourcedIds for a specific LIneItem object in one request message.

discoverResultIds

discoverResultIdsRequest

discoverResultIdsResponse

The 'discoverResult' operation requests the service provider to supply the SourcedIds for all of the Result objects that comply to the supplied search criteria.

changeResultIdentifier

changeResultIdentifierRequest

changeResultIdentifierResponse

The 'changeResultIdentifier' operation requests the service provider to change the SourcedId for the identified Result object.

 

Port Type : ResultValueManagerSyncPortType

Operation Name

Input message

Output message

Documentation

createResultValue

createResultValueRequest

createResultValueResponse

The 'createLineItem' operation requests the service provider to create a new LineItem object with the supplied sourcedId value.

createByProxyResultValue

createByProxyResultValueRequest

createByProxyResultValueResponse

The 'createByProxyResultValue' operation requests the service provider to create a new LineItem object with a sourcedId allocated by the service provider itself.

deleteResultValue

deleteResultValueRequest

deleteResultValueResponse

The 'deleteResultValue' operation requests the service provider to delete the identified ResultValue object.

readResultValue

readResultValueRequest

readResultValueResponse

The 'readResultValue' operation requests the service provider to supply the stored data for the identified Result object.

readAllResultValueIds

readAllResultValueIdsRequest

readAllResultValueIdsResponse

The 'readAllResultValueIds' operation requests the service provider to supply all of the SourcedIds that have been assigned to ResultValue objects.

readResultValueIdForLineItem

readResultValueIdForLineItemRequest

readResultValueIdForLineItemResponse

The 'readResultValueIdForLineItem' operation requests the service provider to supply the SourcedId of the ResultValue objects for the identified LineItem.

readResultValueIdForResult

readResultValueIdForResultRequest

readResultValueIdForResultResponse

The 'readResultValueIdForResult' operation requests the service provider to supply the SourcedId of the ResultValue objects for the identified Result.

readResultValueIdsFromSavePoint

readResultValueIdsFromSavePointRequest

readResultValueIdsFromSavePointResponse

The 'readResultValueIdsFromSavePoint' operation requests the service provider to supply the SourcedIds of the ResultValue objects that have been altered after the defined reference point (SavePoint).

readResultValues

readResultValuesRequest

readResultValuesResponse

The 'readResultValues' operation requests the service provider to supply the ResultValue objects that have been identified by the service consumer.

readResultValuesFromSavePoint

readResultValuesFromSavePointRequest

readResultValuesFromSavePointResponse

The 'readResultValuesFromSavePoint' operation requests the service provider to supply the ResultValue objects that have been altered after the defined reference point (SavePoint).

updateResultValue

updateResultValueRequest

updateResultValueResponse

The 'updateResultValue' operation requests the service provider to write the new data into identified ResultValue object (this is an additive write).

replaceResultValue

replaceResultValueRequest

replaceResultValueResponse

The 'replaceResultValue' operation requests the service provider to write the new data into identified ResultValue object (this is an destructive overwrite of all the previously stored data). If the identified object does not exist, this becomes a 'createResultValue' operation.

discoverResultValueIds

discoverResultValueIdsRequest

discoverResultValueIdsResponse

The 'discoverResultValue' operation requests the service provider to supply the SourcedIds for all of the ResultValue objects that comply to the supplied search criteria.

changeResultValueIdentifier

changeResultValueIdentifierRequest

changeResultValueIdentifierResponse

The 'changeResultValueIdentifier' operation requests the service provider to change the SourcedId for the identified ResultValue object.

 

4.2 Messages

createLineItemRequest

Part Name

Element

Type

Documentation

Parameters

tns:createLineItemRequest

N/A

N/A

HeaderInfoParameters

tns:imsx_syncRequestHeaderInfo

N/A

N/A

 

createLineItemResponse

Part Name

Element

Type

Documentation

Response

tns:createLineItemResponse

N/A

N/A

HeaderInfoResponse

tns:imsx_syncResponseHeaderInfo

N/A

N/A

 

createByProxyLineItemRequest

Part Name

Element

Type

Documentation

Parameters

tns:createByProxyLineItemRequest

N/A

N/A

HeaderInfoParameters

tns:imsx_syncRequestHeaderInfo

N/A

N/A

 

createByProxyLineItemResponse

Part Name

Element

Type

Documentation

Response

tns:createByProxyLineItemResponse

N/A

N/A

HeaderInfoResponse

tns:imsx_syncResponseHeaderInfo

N/A

N/A

 

deleteLineItemRequest

Part Name

Element

Type

Documentation

Parameters

tns:deleteLineItemRequest

N/A

N/A

HeaderInfoParameters

tns:imsx_syncRequestHeaderInfo

N/A

N/A

 

deleteLineItemResponse

Part Name

Element

Type

Documentation

Response

tns:deleteLineItemResponse

N/A

N/A

HeaderInfoResponse

tns:imsx_syncResponseHeaderInfo

N/A

N/A

 

readLineItemRequest

Part Name

Element

Type

Documentation

Parameters

tns:readLineItemRequest

N/A

N/A

HeaderInfoParameters

tns:imsx_syncRequestHeaderInfo

N/A

N/A

 

readLineItemResponse

Part Name

Element

Type

Documentation

Response

tns:readLineItemResponse

N/A

N/A

HeaderInfoResponse

tns:imsx_syncResponseHeaderInfo

N/A

N/A

 

readAllLineItemIdsRequest

Part Name

Element

Type

Documentation

Parameters

tns:readAllLineItemIdsRequest

N/A

N/A

HeaderInfoParameters

tns:imsx_syncRequestHeaderInfo

N/A

N/A

 

readAllLineItemIdsResponse

Part Name

Element

Type

Documentation

Response

tns:readAllLineItemIdsResponse

N/A

N/A

HeaderInfoResponse

tns:imsx_syncResponseHeaderInfo

N/A

N/A

 

readLineItemIdsForPersonRequest

Part Name

Element

Type

Documentation

Parameters

tns:readLineItemIdsForPersonRequest

N/A

N/A

HeaderInfoParameters

tns:imsx_syncRequestHeaderInfo

N/A

N/A

 

readLineItemIdsForPersonResponse

Part Name

Element

Type

Documentation

Response

tns:readLineItemIdsForPersonResponse

N/A

N/A

HeaderInfoResponse

tns:imsx_syncResponseHeaderInfo

N/A

N/A

 

readLineItemIdsForCourseOfferingRequest

Part Name

Element

Type

Documentation

Parameters

tns:readLineItemIdsForCourseOfferingRequest

N/A

N/A

HeaderInfoParameters

tns:imsx_syncRequestHeaderInfo

N/A

N/A

 

readLineItemIdsForCourseOfferingResponse

Part Name

Element

Type

Documentation

Response

tns:readLineItemIdsForCourseOfferingResponse

N/A

N/A

HeaderInfoResponse

tns:imsx_syncResponseHeaderInfo

N/A

N/A

 

readLineItemIdsForCourseSectionRequest

Part Name

Element

Type

Documentation

Parameters

tns:readLineItemIdsForCourseSectionRequest

N/A

N/A

HeaderInfoParameters

tns:imsx_syncRequestHeaderInfo

N/A

N/A

 

readLineItemIdsForCourseSectionResponse

Part Name

Element

Type

Documentation

Response

tns:readLineItemIdsForCourseSectionResponse

N/A

N/A

HeaderInfoResponse

tns:imsx_syncResponseHeaderInfo

N/A

N/A

 

readLineItemIdsForCourseSectionWithLineItemTypeRequest

Part Name

Element

Type

Documentation

Parameters

tns:readLineItemIdsForCourseSectionWithLineItemTypeRequest

N/A

N/A

HeaderInfoParameters

tns:imsx_syncRequestHeaderInfo

N/A

N/A

 

readLineItemIdsForCourseSectionWithLineItemTypeResponse

Part Name

Element

Type

Documentation

Response

tns:readLineItemIdsForCourseSectionWithLineItemTypeResponse

N/A

N/A

HeaderInfoResponse

tns:imsx_syncResponseHeaderInfo

N/A

N/A

 

readLineItemIdsWithLineItemTypeRequest

Part Name

Element

Type

Documentation

Parameters

tns:readLineItemIdsWithLineItemTypeRequest

N/A

N/A

HeaderInfoParameters

tns:imsx_syncRequestHeaderInfo

N/A

N/A

 

readLineItemIdsWithLineItemTypeResponse

Part Name

Element

Type

Documentation

Response

tns:readLineItemIdsWithLineItemTypeResponse

N/A

N/A

HeaderInfoResponse

tns:imsx_syncResponseHeaderInfo

N/A

N/A

 

readLineItemIdsFromSavePointRequest

Part Name

Element

Type

Documentation

Parameters

tns:readLineItemIdsFromSavePointRequest

N/A

N/A

HeaderInfoParameters

tns:imsx_syncRequestHeaderInfo

N/A

N/A

 

readLineItemIdsFromSavePointResponse

Part Name

Element

Type

Documentation

Response

tns:readLineItemIdsFromSavePointResponse

N/A

N/A

HeaderInfoResponse

tns:imsx_syncResponseHeaderInfo

N/A

N/A

 

readLineItemsRequest

Part Name

Element

Type

Documentation

Parameters

tns:readLineItemsRequest

N/A

N/A

HeaderInfoParameters

tns:imsx_syncRequestHeaderInfo

N/A

N/A

 

readLineItemsResponse

Part Name

Element

Type

Documentation

Response

tns:readLineItemsResponse

N/A

N/A

HeaderInfoResponse

tns:imsx_syncResponseHeaderInfo

N/A

N/A

 

readLineItemsFromSavePointRequest

Part Name

Element

Type

Documentation

Parameters

tns:readLineItemsFromSavePointRequest

N/A

N/A

HeaderInfoParameters

tns:imsx_syncRequestHeaderInfo

N/A

N/A

 

readLineItemsFromSavePointResponse

Part Name

Element

Type

Documentation

Response

tns:readLineItemsFromSavePointResponse

N/A

N/A

HeaderInfoResponse

tns:imsx_syncResponseHeaderInfo

N/A

N/A

 

updateLineItemRequest

Part Name

Element

Type

Documentation

Parameters

tns:updateLineItemRequest

N/A

N/A

HeaderInfoParameters

tns:imsx_syncRequestHeaderInfo

N/A

N/A

 

updateLineItemResponse

Part Name

Element

Type

Documentation

Response

tns:updateLineItemResponse

N/A

N/A

HeaderInfoResponse

tns:imsx_syncResponseHeaderInfo

N/A

N/A

 

replaceLineItemRequest

Part Name

Element

Type

Documentation

Parameters

tns:replaceLineItemRequest

N/A

N/A

HeaderInfoParameters

tns:imsx_syncRequestHeaderInfo

N/A

N/A

 

replaceLineItemResponse

Part Name

Element

Type

Documentation

Response

tns:replaceLineItemResponse

N/A

N/A

HeaderInfoResponse

tns:imsx_syncResponseHeaderInfo

N/A

N/A

 

discoverLineItemIdsRequest

Part Name

Element

Type

Documentation

Parameters

tns:discoverLineItemIdsRequest

N/A

N/A

HeaderInfoParameters

tns:imsx_syncRequestHeaderInfo

N/A

N/A

 

discoverLineItemIdsResponse

Part Name

Element

Type

Documentation

Response

tns:discoverLineItemIdsResponse

N/A

N/A

HeaderInfoResponse

tns:imsx_syncResponseHeaderInfo

N/A

N/A

 

changeLineItemIdentifierRequest

Part Name

Element

Type

Documentation

Parameters

tns:changeLineItemIdentifierRequest

N/A

N/A

HeaderInfoParameters

tns:imsx_syncRequestHeaderInfo

N/A

N/A

 

changeLineItemIdentifierResponse

Part Name

Element

Type

Documentation

Response

tns:changeLineItemIdentifierResponse

N/A

N/A

HeaderInfoResponse

tns:imsx_syncResponseHeaderInfo

N/A

N/A

 

createResultRequest

Part Name

Element

Type

Documentation

Parameters

tns:createResultRequest

N/A

N/A

HeaderInfoParameters

tns:imsx_syncRequestHeaderInfo

N/A

N/A

 

createResultResponse

Part Name

Element

Type

Documentation

Response

tns:createResultResponse

N/A

N/A

HeaderInfoResponse

tns:imsx_syncResponseHeaderInfo

N/A

N/A

 

createByProxyResultRequest

Part Name

Element

Type

Documentation

Parameters

tns:createByProxyResultRequest

N/A

N/A

HeaderInfoParameters

tns:imsx_syncRequestHeaderInfo

N/A

N/A

 

createByProxyResultResponse

Part Name

Element

Type

Documentation

Response

tns:createByProxyResultResponse

N/A

N/A

HeaderInfoResponse

tns:imsx_syncResponseHeaderInfo

N/A

N/A

 

deleteResultRequest

Part Name

Element

Type

Documentation

Parameters

tns:deleteResultRequest

N/A

N/A

HeaderInfoParameters

tns:imsx_syncRequestHeaderInfo

N/A

N/A



deleteResultResponse

Part Name

Element

Type

Documentation

Response

tns:deleteResultResponse

N/A

N/A

HeaderInfoResponse

tns:imsx_syncResponseHeaderInfo

N/A

N/A

 

readResultRequest

Part Name

Element

Type

Documentation

Parameters

tns:readResultRequest

N/A

N/A

HeaderInfoParameters

tns:imsx_syncRequestHeaderInfo

N/A

N/A

 

readResultResponse

Part Name

Element

Type

Documentation

Response

tns:readResultResponse

N/A

N/A

HeaderInfoResponse

tns:imsx_syncResponseHeaderInfo

N/A

N/A

 

readAllResultIdsRequest

Part Name

Element

Type

Documentation

Parameters

tns:readAllResultIdsRequest

N/A

N/A

HeaderInfoParameters

tns:imsx_syncRequestHeaderInfo

N/A

N/A

 

readAllResultIdsResponse

Part Name

Element

Type

Documentation

Response

tns:readAllResultIdsResponse

N/A

N/A

HeaderInfoResponse

tns:imsx_syncResponseHeaderInfo

N/A

N/A

 

readResultIdsForPersonRequest

Part Name

Element

Type

Documentation

Parameters

tns:readResultIdsForPersonRequest

N/A

N/A

HeaderInfoParameters

tns:imsx_syncRequestHeaderInfo

N/A

N/A

 

readResultIdsForPersonResponse

Part Name

Element

Type

Documentation

Response

tns:readResultIdsForPersonResponse

N/A

N/A

HeaderInfoResponse

tns:imsx_syncResponseHeaderInfo

N/A

N/A

 

readResultIdsForLineItemRequest

Part Name

Element

Type

Documentation

Parameters

tns:readResultIdsForLineItemRequest

N/A

N/A

HeaderInfoParameters

tns:imsx_syncRequestHeaderInfo

N/A

N/A

 

readResultIdsForLineItemResponse

Part Name

Element

Type

Documentation

Response

tns:readResultIdsForLineItemResponse

N/A

N/A

HeaderInfoResponse

tns:imsx_syncResponseHeaderInfo

N/A

N/A

 

readResultIdsForCourseOfferingRequest

Part Name

Element

Type

Documentation

Parameters

tns:readResultIdsForCourseOfferingRequest

N/A

N/A

HeaderInfoParameters

tns:imsx_syncRequestHeaderInfo

N/A

N/A

 

readResultIdsForCourseOfferingResponse

Part Name

Element

Type

Documentation

Response

tns:readResultIdsForCourseOfferingResponse

N/A

N/A

HeaderInfoResponse

tns:imsx_syncResponseHeaderInfo

N/A

N/A

 

readResultIdsForCourseSectionRequest

Part Name

Element

Type

Documentation

Parameters

tns:readResultIdsForCourseSectionRequest

N/A

N/A

HeaderInfoParameters

tns:imsx_syncRequestHeaderInfo

N/A

N/A

 

readResultIdsForCourseSectionResponse

Part Name

Element

Type

Documentation

Response

tns:readResultIdsForCourseSectionResponse

N/A

N/A

HeaderInfoResponse

tns:imsx_syncResponseHeaderInfo

N/A

N/A

 

readResultIdsForCourseSectionWithStatusRequest

Part Name

Element

Type

Documentation

Parameters

tns:readResultIdsForCourseSectionWithStatusRequest

N/A

N/A

HeaderInfoParameters

tns:imsx_syncRequestHeaderInfo

N/A

N/A

 

readResultIdsForCourseSectionWithStatusResponse

Part Name

Element

Type

Documentation

Response

tns:readResultIdsForCourseSectionWithStatusResponse

N/A

N/A

HeaderInfoResponse

tns:imsx_syncResponseHeaderInfo

N/A

N/A

 

readResultIdsForLineItemWithLineItemTypeRequest

Part Name

Element

Type

Documentation

Parameters

tns:readResultIdsForLineItemWithLineItemTypeRequest

N/A

N/A

HeaderInfoParameters

tns:imsx_syncRequestHeaderInfo

N/A

N/A

 

readResultIdsForLineItemWithLineItemTypeResponse

Part Name

Element

Type

Documentation

Response

tns:readResultIdsForLineItemWithLineItemTypeResponse

N/A

N/A

HeaderInfoResponse

tns:imsx_syncResponseHeaderInfo

N/A

N/A

 

readResultIdsFromSavePointRequest

Part Name

Element

Type

Documentation

Parameters

tns:readResultIdsFromSavePointRequest

N/A

N/A

HeaderInfoParameters

tns:imsx_syncRequestHeaderInfo

N/A

N/A

 

readResultIdsFromSavePointResponse

Part Name

Element

Type

Documentation

Response

tns:readResultIdsFromSavePointResponse

N/A

N/A

HeaderInfoResponse

tns:imsx_syncResponseHeaderInfo

N/A

N/A

 

readResultsRequest

Part Name

Element

Type

Documentation

Parameters

tns:readResultsRequest

N/A

N/A

HeaderInfoParameters

tns:imsx_syncRequestHeaderInfo

N/A

N/A

 

readResultsResponse

Part Name

Element

Type

Documentation

Response

tns:readResultsResponse

N/A

N/A

HeaderInfoResponse

tns:imsx_syncResponseHeaderInfo

N/A

N/A

 

readResultsFromSavePointRequest

Part Name

Element

Type

Documentation

Parameters

tns:readResultsFromSavePointRequest

N/A

N/A

HeaderInfoParameters

tns:imsx_syncRequestHeaderInfo

N/A

N/A

 

readResultsFromSavePointResponse

Part Name

Element

Type

Documentation

Response

tns:readResultsFromSavePointResponse

N/A

N/A

HeaderInfoResponse

tns:imsx_syncResponseHeaderInfo

N/A

N/A

 

updateResultRequest

Part Name

Element

Type

Documentation

Parameters

tns:updateResultRequest

N/A

N/A

HeaderInfoParameters

tns:imsx_syncRequestHeaderInfo

N/A

N/A

 

updateResultResponse

Part Name

Element

Type

Documentation

Response

tns:updateResultResponse

N/A

N/A

HeaderInfoResponse

tns:imsx_syncResponseHeaderInfo

N/A

N/A

 

replaceResultRequest

Part Name

Element

Type

Documentation

Parameters

tns:replaceResultRequest

N/A

N/A

HeaderInfoParameters

tns:imsx_syncRequestHeaderInfo

N/A

N/A

 

replaceResultResponse

Part Name

Element

Type

Documentation

Response

tns:replaceResultResponse

N/A

N/A

HeaderInfoResponse

tns:imsx_syncResponseHeaderInfo

N/A

N/A

 

replaceResultsForLineItemRequest

Part Name

Element

Type

Documentation

Parameters

tns:replaceResultsForLineItemRequest

N/A

N/A

HeaderInfoParameters

tns:imsx_syncRequestHeaderInfo

N/A

N/A

 

replaceResultsForLineItemResponse

Part Name

Element

Type

Documentation

Response

tns:replaceResultsForLineItemResponse

N/A

N/A

HeaderInfoResponse

tns:imsx_syncResponseHeaderInfo

N/A

N/A

 

discoverResultIdsRequest

Part Name

Element

Type

Documentation

Parameters

tns:discoverResultIdsRequest

N/A

N/A

HeaderInfoParameters

tns:imsx_syncRequestHeaderInfo

N/A

N/A

 

discoverResultIdsResponse

Part Name

Element

Type

Documentation

Response

tns:discoverResultIdsResponse

N/A

N/A

HeaderInfoResponse

tns:imsx_syncResponseHeaderInfo

N/A

N/A

 

changeResultIdentifierRequest

Part Name

Element

Type

Documentation

Parameters

tns:changeResultIdentifierRequest

N/A

N/A

HeaderInfoParameters

tns:imsx_syncRequestHeaderInfo

N/A

N/A

 

changeResultIdentifierResponse

Part Name

Element

Type

Documentation

Response

tns:changeResultIdentifierResponse

N/A

N/A

HeaderInfoResponse

tns:imsx_syncResponseHeaderInfo

N/A

N/A

 

createResultValueRequest

Part Name

Element

Type

Documentation

Parameters

tns:createResultValueRequest

N/A

N/A

HeaderInfoParameters

tns:imsx_syncRequestHeaderInfo

N/A

N/A

 

createResultValueResponse

Part Name

Element

Type

Documentation

Response

tns:createResultValueResponse

N/A

N/A

HeaderInfoResponse

tns:imsx_syncResponseHeaderInfo

N/A

N/A

 

createByProxyResultValueRequest

Part Name

Element

Type

Documentation

Parameters

tns:createByProxyResultValueRequest

N/A

N/A

HeaderInfoParameters

tns:imsx_syncRequestHeaderInfo

N/A

N/A

 

createByProxyResultValueResponse

Part Name

Element

Type

Documentation

Response

tns:createByProxyResultValueResponse

N/A

N/A

HeaderInfoResponse

tns:imsx_syncResponseHeaderInfo

N/A

N/A

 

deleteResultValueRequest

Part Name

Element

Type

Documentation

Parameters

tns:deleteResultValueRequest

N/A

N/A

HeaderInfoParameters

tns:imsx_syncRequestHeaderInfo

N/A

N/A

 

deleteResultValueResponse

Part Name

Element

Type

Documentation

Response

tns:deleteResultValueResponse

N/A

N/A

HeaderInfoResponse

tns:imsx_syncResponseHeaderInfo

N/A

N/A

 

readResultValueRequest

Part Name

Element

Type

Documentation

Parameters

tns:readResultValueRequest

N/A

N/A

HeaderInfoParameters

tns:imsx_syncRequestHeaderInfo

N/A

N/A

 

readResultValueResponse

Part Name

Element

Type

Documentation

Response

tns:readResultValueResponse

N/A

N/A

HeaderInfoResponse

tns:imsx_syncResponseHeaderInfo

N/A

N/A

 

readAllResultValueIdsRequest

Part Name

Element

Type

Documentation

Parameters

tns:readAllResultValueIdsRequest

N/A

N/A

HeaderInfoParameters

tns:imsx_syncRequestHeaderInfo

N/A

N/A

 

readAllResultValueIdsResponse

Part Name

Element

Type

Documentation

Response

tns:readAllResultValueIdsResponse

N/A

N/A

HeaderInfoResponse

tns:imsx_syncResponseHeaderInfo

N/A

N/A

 

readResultValueIdForLineItemRequest

Part Name

Element

Type

Documentation

Parameters

tns:readResultValueIdForLineItemRequest

N/A

N/A

HeaderInfoParameters

tns:imsx_syncRequestHeaderInfo

N/A

N/A

 

readResultValueIdForLineItemResponse

Part Name

Element

Type

Documentation

Response

tns:readResultValueIdForLineItemResponse

N/A

N/A

HeaderInfoResponse

tns:imsx_syncResponseHeaderInfo

N/A

N/A

 

readResultValueIdForResultRequest

Part Name

Element

Type

Documentation

Parameters

tns:readResultValueIdForResultRequest

N/A

N/A

HeaderInfoParameters

tns:imsx_syncRequestHeaderInfo

N/A

N/A

 

readResultValueIdForResultResponse

Part Name

Element

Type

Documentation

Response

tns:readResultValueIdForResultResponse

N/A

N/A

HeaderInfoResponse

tns:imsx_syncResponseHeaderInfo

N/A

N/A

 

readResultValueIdsFromSavePointRequest

Part Name

Element

Type

Documentation

Parameters

tns:readResultValueIdsFromSavePointRequest

N/A

N/A

HeaderInfoParameters

tns:imsx_syncRequestHeaderInfo

N/A

N/A

 

readResultValueIdsFromSavePointResponse

Part Name

Element

Type

Documentation

Response

tns:readResultValueIdsFromSavePointResponse

N/A

N/A

HeaderInfoResponse

tns:imsx_syncResponseHeaderInfo

N/A

N/A

 

readResultValuesRequest

Part Name

Element

Type

Documentation

Parameters

tns:readResultValuesRequest

N/A

N/A

HeaderInfoParameters

tns:imsx_syncRequestHeaderInfo

N/A

N/A

 

readResultValuesResponse

Part Name

Element

Type

Documentation

Response

tns:readResultValuesResponse

N/A

N/A

HeaderInfoResponse

tns:imsx_syncResponseHeaderInfo

N/A

N/A

 

readResultValuesFromSavePointRequest

Part Name

Element

Type

Documentation

Parameters

tns:readResultValuesFromSavePointRequest

N/A

N/A

HeaderInfoParameters

tns:imsx_syncRequestHeaderInfo

N/A

N/A

 

readResultValuesFromSavePointResponse

Part Name

Element

Type

Documentation

Response

tns:readResultValuesFromSavePointResponse

N/A

N/A

HeaderInfoResponse

tns:imsx_syncResponseHeaderInfo

N/A

N/A

 

updateResultValueRequest

Part Name

Element

Type

Documentation

Parameters

tns:updateResultValueRequest

N/A

N/A

HeaderInfoParameters

tns:imsx_syncRequestHeaderInfo

N/A

N/A

 

updateResultValueResponse

Part Name

Element

Type

Documentation

Response

tns:updateResultValueResponse

N/A

N/A

HeaderInfoResponse

tns:imsx_syncResponseHeaderInfo

N/A

N/A

 

replaceResultValueRequest

Part Name

Element

Type

Documentation

Parameters

tns:replaceResultValueRequest

N/A

N/A

HeaderInfoParameters

tns:imsx_syncRequestHeaderInfo

N/A

N/A

 

replaceResultValueResponse

Part Name

Element

Type

Documentation

Response

tns:replaceResultValueResponse

N/A

N/A

HeaderInfoResponse

tns:imsx_syncResponseHeaderInfo

N/A

N/A

 

discoverResultValueIdsRequest

Part Name

Element

Type

Documentation

Parameters

tns:discoverResultValueIdsRequest

N/A

N/A

HeaderInfoParameters

tns:imsx_syncRequestHeaderInfo

N/A

N/A

 

discoverResultValueIdsResponse

Part Name

Element

Type

Documentation

Response

tns:discoverResultValueIdsResponse

N/A

N/A

HeaderInfoResponse

tns:imsx_syncResponseHeaderInfo

N/A

N/A

 

changeResultValueIdentifierRequest

Part Name

Element

Type

Documentation

Parameters

tns:changeResultValueIdentifierRequest

N/A

N/A

HeaderInfoParameters

tns:imsx_syncRequestHeaderInfo

N/A

N/A

 

changeResultValueIdentifierResponse

Part Name

Element

Type

Documentation

Response

tns:changeResultValueIdentifierResponse

N/A

N/A

HeaderInfoResponse

tns:imsx_syncResponseHeaderInfo

N/A

N/A

top | toc


5. XSD File Documentation

The XSD file documentation has been produced by the Oxygen XML Editing tool.

5.1 Service Data Model

Click on the Section header to access this documentation for the data models in the service description.

5.2 File Data Model

Click on the Section header to access this documentation for the data models for the exchange of Outcomes objects in an external file.

top | toc


6. Binding of the Vocabularies

The vocabularies in the OMS are:

  • Lineitemtype vocabulary – the set of permitted values for the type/status for a LineItem. The PSM for the extension data-type vocabulary is shown in Figure 6.1;
  • Statusofresult vocabulary – the set of permitted values for the status of a Result. The PSM for the extension data-type vocabulary is shown in Figure 6.2;
  • Replacestatuscode vocabulary - the set of permitted values for the 'replaceResultsForLineItem' operation. The PSM for the extension data-type vocabulary is shown in Figure 6.3;
  • Extension data-type vocabulary – the set of data-types that are permitted for extensions in the Outcomes data model. The PSM for the extension data-type vocabulary is shown in Figure 6.4.

This vocabulary is the default set maintained under the 1EdTech Vocabulary Registry [SDN11, 06].  It is the responsibility of an implementation to ensure that it is using the correct and latest versions of the vocabulary files.  Changes to the default vocabularies are permitted; this results in the creation of a new vocabulary that should be registered with 1EdTech.  As part of a profiling process entirely new vocabularies may be defined to replace the default set.

Figure 6.1 The PSM representation of the lineitemtype vocabulary for the OMS.

Figure 6.2 The PSM representation of the statusofresult vocabulary for the OMS.

Figure 6.3 The PSM representation of the replacestatuscode vocabulary for the OMS.

Figure 6.4 The PSM representation of the extension data-type vocabulary for the OMS.

top | toc


Appendix A - Listing of the WSDLs

The WSDL bindings are for a Synchronous SOAP implementation only. The WSDL files, expressed using WSDLv1.1, are:

  • The combined WSDL/XSD file (this contains the WSDL and XSD descriptions in a single file) – OutcomesManagementServicev1p0_SyncSingle_v1p0.wsdl
  • The single WSDL files (used either in conjunction with the separate XSD file or to provide a single interface per WSDL file) are available to LIS Alliance members. Click here to join the Alliance. Also available to Alliance members are combined WSDL/XSD files but where each file describes a single interface/port.

These files were generated by the I-BATv0.9.5 tool using the PSM representation described in Section 2.

top | toc


Appendix B - Listing of the XSDs

The XSD files are:

This file was generated by the I-BATv0.9.5 tool using the PSM representation described in Section 2. Documentation of the XSDs is supplied in Section 5.

top | toc


Appendix C - Vocabulary VDEX Instance File Listings

The OMS vocabularies are:

The online version of these vocabularies are available in the directory: http://www.imsglobal.org/vdex/lis/omsv1p0. These vocabularies are expressed as an instance of the 1EdTech Vocabulary Data Exchange (VDEX) v1.0 specification. Documentation of the vocabulary is supplied in Section 6.

top | toc


Appendix D - Example SOAP Messages

The set of examples for the SOAP messages are listed in Tables D.1 (for the LineItem port), D.2 (for the Result port) and D.3 (for the ResultValue port). The messaging pattern is a Request/Response exchange to support the Synchronous Service definition.

Table D.1 The set of SOAP message examples for each operation of the LineItem port.

Operation Name

Input (Request) SOAP Message

Output (Response) SOAP Message

createLineItem

createLineItemRequest

createLineItemResponse

createByProxyLineItem

createByProxyLineItemRequest

createByProxyLineItemResponse

deleteLineItem

deleteLineItemRequest

deleteLineItemResponse

readLineItem

readLineItemRequest

readLineItemResponse

readAllLineItemIds

readAllLineItemIdsRequest

readAllLineItemIdsResponse

readLineItemIdsForPerson

readLineItemIdsForPersonRequest

readLineItemIdsForPersonResponse

readLineItemIdsForCourseOffering

readLineItemIdsForCourseOfferingRequest

readLineItemIdsForCourseOfferingResponse

readLineItemIdsForCourseSection

readLineItemIdsForCourseSectionRequest

readLineItemIdsForCourseSectionResponse

readLineItemIdsForCourseSectionWithLineItemType

readLineItemIdsForCourseSectionWithLineItemTypeRequest

readLineItemIdsForCourseSectionWithLineItemTypeResponse

readLineItemIdsWithLineItemType

readLineItemIdsWithLineItemTypeRequest

readLineItemIdsWithLineItemTypeResponse

readLineItemIdsFromSavePoint

readLineItemIdsFromSavePointRequest

readLineItemIdsFromSavePointResponse

readLineItems

readLineItemsRequest

readLineItemsResponse

readLineItemsFromSavePoint

readLineItemsFromSavePointRequest

readLineItemsFromSavePointResponse

updateLineItem

updateLineItemRequest

updateLineItemResponse

replaceLineItem

replaceLineItemRequest

replaceLineItemResponse

discoverLineItemIds

discoverLineItemIdsRequest

discoverLineItemIdsResponse

changeLineItemIdentifier

changeLineItemIdentifierRequest

changeLineItemIdentifierResponse

Table D.2 The set of SOAP message examples for each operation of the Result port.

Operation Name

Input (Request) SOAP Message

Output (Response) SOAP Message

createResult

createResultRequest

createResultResponse

createByProxyResult

createByProxyResultRequest

createByProxyResultResponse

deleteResult

deleteResultRequest

deleteResultResponse

readResult

readResultRequest

readResultResponse

readAllResultIds

readAllResultIdsRequest

readAllResultIdsResponse

readResultIdsForPerson

readResultIdsForPersonRequest

readResultIdsForPersonResponse

readResultIdsForLineItem

readResultIdsForLineItemRequest

readResultIdsForLineItemResponse

readResultIdsForCourseOffering

readResultIdsForCourseOfferingRequest

readResultIdsForCourseOfferingResponse

readResultIdsForCourseSection

readResultIdsForCourseSectionRequest

readResultIdsForCourseSectionResponse

readResultIdsForCourseSectionWithStatus

readResultIdsForCourseSectionWithStatusRequest

readResultIdsForCourseSectionWithStatusResponse

readResultIdsForLineItemsWithLineItemType

readResultIdsForLineItemsWithLineItemTypeRequest

readResultIdsForLineItemsWithLineItemTypeResponse

readResultIdsFromSavePoint

readResultIdsFromSavePointRequest

readResultIdsFromSavePointResponse

readResults

readResultsRequest

readResultsResponse

readResultsFromSavePoint

readResultsFromSavePointRequest

readResultsFromSavePointResponse

updateResult

updateResultRequest

updateResultResponse

replaceResult

replaceResultRequest

replaceResultResponse

replaceResultsForLineItem

replaceResultsForLineItemRequest

replaceResultsForLineItemResponse

discoverResultIds

discoverResultIdsRequest

discoverResultIdsResponse

changeResultIdentifier

changeResultIdentifierRequest

changeResultIdentifierResponse

Table D.3 The set of SOAP message examples for each operation of the ResultValue port.

Operation Name

Input (Request) SOAP Message

Output (Response) SOAP Message

createResultValue

createResultValueRequest

createResultValueResponse

createByProxyResultValue

createByProxyResultValueRequest

createByProxyResultValueResponse

deleteResultValue

deleteResultValueRequest

deleteResultValueResponse

readResultValue

readResultValueRequest

readResultValueResponse

readAllResultValueIds

readAllResultValueIdsRequest

readAllResultValueIdsResponse

readResultValueIdForLineItem

readResultValueIdForLineItemRequest

readResultValueIdForLineItemResponse

readResultValueIdForResult

readResultValueIdForResultRequest

readResultValueIdForResultResponse

readResultValueIdsFromSavePoint

readResultValueIdsFromSavePointRequest

readResultValueIdsFromSavePointResponse

readResultValues

readResultValuesRequest

readResultValuesResponse

readResultValuesFromSavePoint

readResultValuesFromSavePointRequest

readResultValuesFromSavePointResponse

updateResultValue

updateResultValueRequest

updateResultValueResponse

replaceResultValue

replaceResultValueRequest

replaceResultValueResponse

discoverResultValueIds

discoverResultValueIdsRequest

discoverResultValueIdsResponse

changeResultValueIdentifier

changeResultValueIdentifierRequest

changeResultValueIdentifierResponse

top | toc


About This Document

Title

1EdTech Outcomes Management Service WSDL/XSD Binding

Editor

Colin Smythe (1EdTech)

Co-Chairs

Linda Feng (Oracle), Bill Lee (Desire2learn)

Version

1.0

Version Date

30 September 2013

Status

Final Release

Summary

This document contains the description of the 1EdTech Outcomes Management Service v1.0 WSDL/XSD binding. This service is used to exchange information about reporting Outcomes. An Outcome consists of LineItems, Results and ResultValues. The business transactions include the simple create, read, update and delete of the Outcomes data models for a single instance. This document contains the definition of the corresponding Web Service based upon SOAP/HTTP messaging.

Revision Information

Original release

Purpose

This document is made available for review by the public community at large.

Document Location

http://www.imsglobal.org/lis/

top | toc


List of Contributors

The following individuals contributed to the development of this document:

Name

Organization

Kerry Blinco

DEEWR (Australia)

Kirk Bunte

SungardHE (USA)

Angus Chan

Desire2learn (Canada)

Adam Cooper

JISC (UK)

Michael De Ridder

Desire2Learn (Canada)

Michael Feldstein

Cengage (USA)

Linda Feng

Oracle (USA)

John Fontaine

Blackboard (USA)

Chris Hatton

Pearson (USA)

Karen Kuffner

University of Michigan (USA)

Zack Leavitt

eCollege (USA)

Bill Lee

Desire2learn (Canada)

Richard Moon

SungardHE (USA)

Phil Nicholls

Psydev Ltd (UK)

Mike Parkhill

Desire2learn (Canada)

Colin Smythe

1EdTech Consortium, Inc.

Reinhold Staudinger

Blackboard (USA)

top | toc


Revision History

Version No.

Release Date

Comments

OMS Public Draft v1.0

30 June 2011

The first formal release of the Public Draft version of this document.

OMS Final Release 1.0

30 September 2013

Corrections

 

 

 

top | toc


1EdTech Consortium, Inc. (“1EdTech”) is publishing the information containedin this document (“Specification”) for purposes of scientific, experimental, and scholarly collaboration only.

1EdTech makes no warranty or representation regarding the accuracy or completeness of theSpecification.

This material is provided on an “As Is” and “As Available” basis.

The Specification is at all times subject to change and revision without notice.

It is your sole responsibility to evaluate the usefulness, accuracy, and completeness of the Specification as it relates to you.

1EdTech would appreciate receiving your comments and suggestions.

Please contact 1EdTech through our website at http://www.imsglobal.org.

Please refer to Document Name: 1EdTech OMS v1.0 WSDL/XSD Binding Final Release
Date: 30 September 2013.