1EdTech Final Release

1EdTech logo

1EdTech Membership Management Service WSDL/XSD Binding

Version 2.0.1

Final Release

 

Date Issued: 30 Septemer 2013

Latest version: http://www.imsglobal.org/lis/

IPR and Distribution Notices

Recipients of this document are requested to submit, with their comments, notification of any relevant patent claims or other intellectual property rights of which they may be aware that might be infringed by any implementation of the specification set forth in this document, and to provide supporting documentation.

1EdTech takes no position regarding the validity or scope of any intellectual property or other rights that might be claimed to pertain to the implementation or use of the technology described in this document or the extent to which any license under such rights might or might not be available; neither does it represent that it has made any effort to identify any such rights. Information on 1EdTech’s procedures with respect to rights in 1EdTech specifications can be found at the 1EdTech Intellectual Property Rights web page: http://www.imsglobal.org/ipr/imsipr_policyFinal.pdf.

Copyright © 2013 1EdTech Consortium. All Rights Reserved.

Use of this specification to develop products or services is governed by the license with 1EdTech found on the 1EdTech website: http://www.imsglobal.org/license.html.

Permission is granted to all parties to use excerpts from this document as needed in producing requests for proposals.

The limited permissions granted above are perpetual and will not be revoked by 1EdTech or its successors or assigns.

THIS SPECIFICATION IS BEING OFFERED WITHOUT ANY WARRANTY WHATSOEVER, AND IN PARTICULAR, ANY WARRANTY OF NONINFRINGEMENT IS EXPRESSLY DISCLAIMED. ANY USE OF THIS SPECIFICATION SHALL BE MADE ENTIRELY AT THE IMPLEMENTER'S OWN RISK, AND NEITHER THE CONSORTIUM, NOR ANY OF ITS MEMBERS OR SUBMITTERS, SHALL HAVE ANY LIABILITY WHATSOEVER TO ANY IMPLEMENTER OR THIRD PARTY FOR ANY DAMAGES OF ANY NATURE WHATSOEVER, DIRECTLY OR INDIRECTLY, ARISING FROM THE USE OF THIS SPECIFICATION.

top


Table of Contents

  1. Introduction

{C}{C}{C}{C}a.       {C}{C}{C}{C}Scope and Context

{C}{C}{C}{C}b.      {C}{C}{C}{C}Structure of this Document

{C}{C}{C}{C}c.       {C}{C}{C}{C}Nomenclature

{C}{C}{C}{C}d.      {C}{C}{C}{C}References

  1. Platform Specific Model of the Binding

{C}{C}{C}{C}a.       {C}{C}{C}{C}Service Description

{C}{C}{C}{C}b.      {C}{C}{C}{C}Data for the Servce Operations

{C}{C}{C}{C}c.       {C}{C}{C}{C}Membership Data Model

{C}{C}{C}{C}d.      {C}{C}{C}{C}File-based Exchange Data Model

  1. Application of the Binding Guidelines
  2. WSDL File Documentation

{C}{C}{C}{C}a.       {C}{C}{C}{C}Overview

{C}{C}{C}{C}b.      {C}{C}{C}{C}Messages

  1. XSD File Documentation

{C}{C}{C}{C}a.       {C}{C}{C}{C}Service Data Model

{C}{C}{C}{C}b.      {C}{C}{C}{C}File Data Model

  1. Binding of the Vocabularies
  2. Appendix A - Listing of the WSDLs
  3. Appendix B - Listing of the XSDs
  4. Appendix C - Vocabulary VDEX Instance File Listings
  5. Appendix D - Example SOAP Messages
  6. About This Document
  7. Revision History

top


1. Introduction

This document is a part of the 1EdTech Membership Management Service (MMS) v2.0 specification. The binding details how the Membership Management Service Information Model is realised as a Web Service; in the form of a Web Services Description Language (WSDL) file. The MMS binding is contained in a set of WSDL, XSD and vocabulary files. The vocabulary files are instances of the 1EdTech Vocabulary Definition Exchange specification [VDEX, 04a], [VDEX, 04b]. The 1EdTech Learning Information Services (LIS) Best Practice and Implementation Guide [LIS, 13b] provides non-normative guidance on how to use the Binding and Information Model. For a conceptual overview of the LIS Specification, please see the overall services description [LIS, 13a]. For a discussion of potential applications, see the Best Practice Guide.

1.1 Scope and Context

The 1EdTech MMS WSDL Binding v2.0 is used in conjunction with the following documents:

  1. 1EdTech Membership Management Service Information Model v2.0.1 [MMS, 13] – the behaviour and data model definition of the Membership Management Service;
  2. 1EdTech Learning Information Services Best Practice and Implementation Guide v1.0 [LIS, 13b] – key information on how to adopt and implement the specification.

As such the Membership Management Services specification supersedes the original Enterprise Services specifications:

  1. 1EdTech Membership Management Services Information Model Final Specification v1.0 [MMS, 04a];
  2. 1EdTech Membership Management Services WSDL Binding Final Specification v1.0 [MMS, 04b].

This WSDL binding takes the Membership Management Service Information Model and produces an encoding of that description in WSDL. This WSDL binding is generated as recommended by the 1EdTech General Web Services documents [GWS, 06a], [GWS, 06b]. The WSDL is created using the IMC GLC Binding Auto-generation Tool-kit (I-BAT) [I-BAT, 06].

1.2 Structure of this Document

The structure of this document is:

2. Platform Specific Model of the Binding

The description platform specific models in the form of the 1EdTech GLC UML-Profile service/data models representation of the 1EdTech GMS specification information model. This representation is used by the 1EdTech I-BAT tool to auto-generate the corresponding WSDL/XSDs;

3. Application of the Binding Guidelines

Explanation of how the platform specific model is realised as the WSDL/XSD binding. This addresses how the information model is realised as a Web Service;

4. WSDL File Documentation

The description of the Web Services used to realise the service model components of the binding. This part of the binding document was created using the schema documentation tool provided as part of the Oxygen 12.2 product;

5. XSD File Documentation

The description of the elements used within the data model components of the binding. This part of the binding document was created using the schema documentation tool provided as part of the Oxygen 12.2 product;

6. Vocabulary Binding Using VDEX Instances

Contains the description of how the set of external vocabulary files realised as VDEX files;

Appendix A - Listing of the WSDL Files

This is the full listing of the MMS WSDL files;

Appendix B - Listing of the XSD Files

This is the full listing of the MMS XSD files;

Appendix C - Vocabulary VDEX Instance File Listings

This is the full listing of the set of external vocabulary VDEX instance files;

Appendix D - Examples SOAP Messages

Examples of the SOAP messages that are exchanged to realise the service.

1.3 Nomenclature

BDEMS

Bulk Data Exchnage Management Service

HTTP

HyperText Transfer Protocol

I-BAT

1EdTech Binding Auto-generation Tool-kit

1EdTech

1EdTech Consortium

LIS

Learning Information Services

MDA

Model Driven Architecture

MMS

Membership Management Service

PIM

Protocol Independent Model

PSM

Platform Specific Model

UML

Unified Modelling Language

VDEX

Vocabulary Definition Exchange

W3C

World Wide Web Consortium

WSDL

Wed Services Description Language

XMI

XML Meta-data Interchange

XML

Extensible Mark-up Language

XSD

XML Schema Definition

XSL

Extensible Stylesheet Language

XSLT

XSL Transformations

1.4 References

[GWS, 06a]

1EdTech General Web Services Base Profile Specification Final Release v1.0, C.Schroeder, J.Simon and C.Smythe, 1EdTech Consortium, January 2006.

[GWS, 06b]

1EdTech General Web Services WSDL Binding Guidelines Final Release v1.0, C.Schroeder, J.Simon and C.Smythe, 1EdTech Consortium, January 2006.

[I-BAT, 06]

1EdTech Binding Auto-generation Toolkit Manual v1.0, C.Smythe, 1EdTech Consortium, July 2006.

[LIS, 13a]

1EdTech Learning Information Services Specification v2.0.1 Final Release, L.Feng, B.Lee and C.Smythe, 1EdTech Consortium, September 2013.

[LIS, 13b]

1EdTech Learning Information Services Best Practice and Implementation Guide v2.0.1 Final Release, L.Feng, B.Lee and C.Smythe, 1EdTech Consortium, September 2013.

[MMS, 04a]

1EdTech Membership Management Services Information Model Specification Final Release v1.0, C.Vento and C.Smythe, 1EdTech Consortium, June 2004.

[MMS, 04b]

1EdTech Membership Management Services WSDL Binding Specification Final Release v1.0, C.Vento and C.Smythe, 1EdTech Consortium, June 2004.

[MMS, 13]

1EdTech Group Management Services Information Model Specification Final Release v2.0.1, L.Feng, B.Lee and C.Smythe, 1EdTech Consortium, September 2013.

[SDN11, 06]

1EdTech Specification Note 11: Vocabulary Definition, Registration & Maintenance Procedures, C.Smythe, 1EdTech Consortium, October 2006.

[VDEX, 04a]

1EdTech Vocabulary Definition Exchange Information Model Specification Final Release v1.0, A.Cooper, 1EdTech Consortium, February 2004.

[VDEX, 04b]

1EdTech Vocabulary Definition Exchange XML Binding Specification Final Release v1.0, A.Cooper, 1EdTech Consortium, February 2004.

top | toc


2. Platform Specific Model of the Binding

2.1 Service Description

Figure 2.1 is the PSM of the service group model description for the MMS. This information is used to establish the mapping to the binding flavors of WSDL.

Figure 2.1 The PSM representation of the service group model description for the GMS.

Figure 2.2 is the PSM of the service model description for the MMS. The PSM is derived from the Platform Independent Model that was documented within the information model for the MMS specification [MMS, 13].

Figure 2.2 The PSM representation of the service model description for the MMS.

2.2 Data for the Service Operations

The data model for the service operations is shown in Figure 2.3 and 2.4. Figure 2.3 shows the data models for the set of parameters. Figure 2.4 is the data model for the Status Information and other WSDL-specific binding data structures.

Figure 2.3 The PSM representation of the parameters data model description for the MMS.

Figure 2.4 The PSM representation of the status information data model description for the MMS.

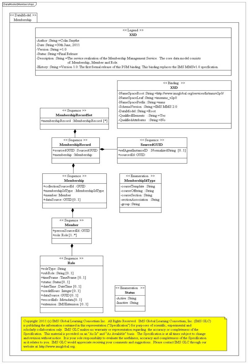
2.3 Membership Data Model

The PSM for the Membership data models are shown in Figures 2.5 and 2.6. Figure 2.5 is the Group data model and Figure 2.6 contains the set of common data model classes.

Figure 2.5 The PSM representation of the Membership data model description for the MMS.

Figure 2.6 The PSM representation of the common data models description for the MMS.

2.4 File-based Data Exchange Data Model

The PSM for the file-based Membership data models are shown in Figures 2.7 and 2.8. Figure 2.7 is the MembershipRecord data model and Figure 2.8 contains the set of common data model classes.

Figure 2.7 The PSM representation of the MembershipRecord data model description for file storage in the MMS.

Figure 2.8 The PSM representation of the common data model descriptions for file storage in the MMS.

top | toc


3. Application of the Binding Guidelines

The WSDL/XSD bindings have been generated using the methodology documented in [GWS 06a] and [GWS, 06b]. Only the synchronous service binding has been created. The binding files are available in two forms:

  • A single combined WSDL/XSD – MembershipManagementServiceSyncSingle.wsdl;
  • Separated WSDL and XSD files – MembershipManagementServiceSyncWSDL.wsdl and MembershipManagementServiceSyncXSD.xsd respectively.

It is recommended that only the combined form is used (many WSDL-based code generation tools do not process the 'import' instructions).

The mapping between the PIM and PSM descriptions is detailed in Table 3.1.

Table 3.1 Mapping between the PIM, PSM and XSD descriptions for the data models.

PSM Reference

PIM Reference

XSD Reference

Name

UML Type

Figure

Type

Table

Name

Type

MembershipRecordSet

Class

2.5

MembershipRecordSet

MembershipRecordSet.Type

ComplexType

  • membershipRecord

Attribute

2.5

MembershipRecord

5.3

membershipRecord

Element

MembershipRecord

Class

2.5

5.4

MembershipRecord.Type

ComplexType

  • sourcedGUID

Attribute

2.5

SourcedGUID

5.6

sourcedGUID

Element

  • membership

Attribute

2.5

Membership

5.3

membership

Element

SourcedGUID

Class

2.5

5.6

SourcedGUID.Type

ComplexType

  • refAgentInstanceID

Attribute

2.5

NormalizedString

5.7

refAgentInstanceID

Element

  • sourcedId

Attribute

2.5

GUID

5.8

sourcedId

Element

Membership

Class

2.5

5.15

Membership.Type

ComplexType

  • collectionSourcedId

Attribute

2.5

GUID

5.16

collectionSourcedId

Element

  • membershipIdType

Attribute

2.5

Enumerated

5.17

membershipIdType

Element

  • member

Attribute

2.5

Member

5.18

member

Element

  • dataSource

Attribute

2.5

GUID

5.19

dataSource

Element

Member

Class

2.5

5.20

Member.Type

ComplexType

  • personSourcedId

Attribute

2.5

GUID

5.21

personSourcedId

Element

  • role

Attribute

2.5

Role

5.22

role

Element

Role

Class

2.5

5.23

Role.Type

ComplexType

  • roleType

Attribute

2.5

Enumerated

5.24

roleType

Element

  • subRole

Attribute

2.5

Enumerated

5.25

subRole

Element

  • timeFrame

Attribute

2.5

TimeFrame

5.26

timeFrame

Element

  • status

Attribute

2.5

Enumerated

5.27

status

Element

  • dateTime

Attribute

2.5

DateTime

5.28

dateTime

Element

  • creditHours

Attribute

2.5

Integer

5.29

integer

Element

  • dataSource

Attribute

2.5

GUID

5.30

dataSource

Element

  • recordInfo

Attribute

2.5

Metadata

5.31

recordInfo

Element

  • extension

Attribute

2.5

IMSExtension

5.32

extension

Element

TimeFrame

Class

2.6

5.33

TimeFrame.Type

ComplexType

  • begin

Attribute

2.6

DateTime

5.34

begin

Element

  • end

Attribute

2.6

DateTime

5.35

end

Element

  • restrict

Attribute

2.6

Boolean

5.36

restrict

Element

  • adminPeriod

Attribute

2.6

Text

5.37

adminPeriod

Element

Metadata

Class

2.6

5.41

Metadata.Type

ComplexType

  • metadataNameVocabulary

Attribute

2.6

AnyURI

5.42

metadataNameVocabulary

Element

  • metadataTypeVocabulary

Attribute

2.6

AnyURI

5.43

metadataTypeVocabulary

Element

  • metadataField

Attribute

2.6

ExtensionField

5.44

metadataField

Element

IMSExtension

Class

2.6

5.45

IMSExtension.Type

ComplexType

  • extensionNameVocabulary

Attribute

2.6

AnyURI

5.46

extensionNameVocabulary

Element

  • extensionTypeVocabulary

Attribute

2.6

AnyURI

5.47

extensionTypeVocabulary

Element

  • extensionField

Attribute

2.6

ExtensionField

5.48

extensionField

Element

ExtensionField

Class

2.6

5.49

ExtensionField.Type

ComplexType

  • fieldName

Attribute

2.6

NormalisedString

5.50

fieldName

Element

  • fieldType

Attribute

2.6

NormalisedString

5.51

fieldType

Element

  • fieldValue

Attribute

2.6

NormalisedString

5.52

fieldValue

Element

Text

Class

2.6

5.38

Text.Type

ComplexType

  • language

Attribute

2.6

NormalisedString

5.39

language

Element

  • textString

Attribute

2.6

String

5.40

textString

Element

imsx_StatusInfo

Class

2.4

See 1EdTech GWSv1.0

imsx_StatusInfo.Type

ComplexType

  • imsx_codeMajor

Attribute

2.4

n/a

See 1EdTech GWSv1.0

imsx_codeMajor

Element

  • imsx_severity

Attribute

2.4

n/a

See 1EdTech GWSv1.0

imsx_severity

Element

  • imsx_messageRefIdentifier

Attribute

2.4

n/a

See 1EdTech GWSv1.0

imsx_messageRefIdentifier

Element

  • imsx_operationRefIdentifier

Attribute

2.4

n/a

See 1EdTech GWSv1.0

imsx_operationRefIdentifier

Element

  • imsx_description

Attribute

2.4

n/a

See 1EdTech GWSv1.0

imsx_description

Element

  • imsx_codeMinor

Attribute

2.4

n/a

See 1EdTech GWSv1.0

imsx_codeMinor

Element

imsx_CodeMinor

Class

2.4

See 1EdTech GWSv1.0

imsx_CodeMinor.Type

ComplexType

  • imsx_codeMinorField

Attribute

2.4

n/a

See 1EdTech GWSv1.0

imsx_codeMinorField

Element

imsx_CodeMinorField

Class

2.4

See 1EdTech GWSv1.0

imsx_CodeMinorField.Type

ComplexType

  • imsx_codeMinorFieldName

Attribute

2.4

n/a

See 1EdTech GWSv1.0

imsx_codeMinorFieldName

Element

  • imsx_codeMinorFieldValue

Attribute

2.4

n/a

See 1EdTech GWSv1.0

imsx_codeMinorFieldValue

Element

imsx_StatusBinding

Class

2.4

See 1EdTech GWSv1.0

imsx_StatusBinding.Type

ComplexType

  • imsx_syncRequestHeaderInfo

Attribute

2.4

n/a

See 1EdTech GWSv1.0

imsx_syncRequestHeaderInfo

Element

  • imsx_syncResponseHeaderInfo

Attribute

2.4

n/a

See 1EdTech GWSv1.0

imsx_syncResponseHeaderInfo

Element

imsx_RequestHeaderInfo

Class

2.4

See 1EdTech GWSv1.0

imsx_RequestHeaderInfo.Type

ComplexType

  • imsx_version

Attribute

2.4

n/a

See 1EdTech GWSv1.0

imsx_version

Element

  • imsx_messageIdentifier

Attribute

2.4

n/a

See 1EdTech GWSv1.0

imsx_messageIdentifier

Element

imsx_ResponseHeaderInfo

Class

2.4

See 1EdTech GWSv1.0

imsx_ResponseHeaderInfo.Type

ComplexType

  • imsx_version

Attribute

2.4

n/a

See 1EdTech GWSv1.0

imsx_version

Element

  • imsx_messageIdentifier

Attribute

2.4

n/a

See 1EdTech GWSv1.0

imsx_messageIdentifier

Element

  • imsx_statusInfo

Attribute

2.4

n/a

See 1EdTech GWSv1.0

imsx_statusInfo

Element

Key:

{C}{C}{C}{C}I.                        {C}{C}{C}{C}The 'PSM Reference' field refers to information in the PSM description (Section 2 in this document). The sub-fields are:

{C}{C}{C}{C}a.       {C}{C}{C}{C}Name – the name of the data structure in the PSM and PIM

{C}{C}{C}{C}b.      {C}{C}{C}{C}UML Type – the type of UML construct i.e. either Class or Attribute

{C}{C}{C}{C}c.       {C}{C}{C}{C}Figure – the reference Figure number in this document;

{C}{C}{C}{C}       II.            {C}{C}{C}{C}The 'PIM Reference' field refers to infomation in the MMS Information Model [MMS, 13]. The sub-fields are:

{C}{C}{C}{C}a.       {C}{C}{C}{C}Type – the type of the data structure in the Information Model

{C}{C}{C}{C}b.      {C}{C}{C}{C}Table – the reference number of Tabular description in the corresponding Information Model document;

{C}{C}{C}{C}      III.            {C}{C}{C}{C}The 'XSD Reference' field refers to infrmation in the XSD descriptions (Section 5 in this document). The sub-fields are:

{C}{C}{C}{C}a.       {C}{C}{C}{C}Name – the name of the field in the XSD(s)

{C}{C}{C}{C}b.      {C}{C}{C}{C}Type – the type of XSD construct i.e. either a ComplexType or Element.

top | toc


4. WSDL File Documentation

WSDL file: "MemberhipManagementServiceSyncSingle.wsdl"

Target namespace: http://www.imsglobal.org/services/lis/mms2p0/wsdl11/sync/imsmms_v2p0

4.1 Overview

Services

MembershipManagementServiceSyncService

Bindings

MembershipManagerSyncSoapBinding

Port types

MembershipManagerSyncPortType

Messages

createMembershipRequest, createMembershipResponse, createByProxyMembershipRequest, createByProxyMembershipResponse, deleteMembershipRequest, deleteMembershipResponse, readMembershipRequest, readMembershipResponse, readAllMembershipIdsRequest, readAllMembershipIdsResponse, readMembershipIdsFromSavePointRequest, readMembershipIdsFromSavePointResponse, readMembershipIdsForPersonRequest, readMembershipIdsForPersonResponse, readMembershipIdsForPersonWithRoleRequest, readMembershipIdsForPersonWithRoleResponse, readMembershipIdsForCollectionRequest, readMembershipIdsForCollectionResponse, readMembershipsRequest, readMembershipsResponse, readMembershipsFromSavePointRequest, readMembershipsFromSavePointResponse, updateMembershipRequest, updateMembershipResponse, replaceMembershipRequest, replaceMembershipResponse, discoverMembershipIdsRequest, discoverMembershipIdsResponse, changeMembershipIdentifierRequest, changeMembershipIdentifierResponse,

 

WSDL Definition

Name

Documentation

MembershipManagementServiceSyncServices

WSDLv1.1 File Information

Services: MembershipManagementService (Synchronous Communications)

Author: Colin Smythe

Date: 30 June 2011

Version: 1.0

Status: Final Release

Description: The Membership Management Service. This forms a part of the 1EdTech Learning Information Services v2.0 specification.

History: Version 2.0: This is the first formal release of this service. This supercedes the MMSv1.0 which was produced as part of the Enterprise Services v1.0 specification.

WSDL Binding: WSDL Binding is based upon the 1EdTech General Web Services Base Profile v1.0 The 1EdTech GWS Basic Profile is derived from the WS-I Basic Profile v1.1. This profile uses: WSDL 1.1, SOAP 1.1, HTTP 1.1 and XML 1.0. Extension profiles to the 1EdTech GWS Base Profile are available but are not supported using this tool version.

License: IPR, License and Distribution Notices

This machine readable file is derived from 1EdTech Consortium (GLC) specification 1EdTech Membership Management Service Version 2.0 found at http://www.imsglobal.org/lis/mmsv2p0/imsmmsv2p0_Infov1.pdf and the original 1EdTech schema binding or code base http://www.imsglobal.org/lis/mmsv2p0/immsv2p0_Bindv1.html.

Recipients of this document are requested to submit, with their comments, notification of any relevant patent claims or other intellectual property rights of which they may be aware that might be infringed by the schema binding contained in this document. 1EdTech takes no position regarding the validity or scope of any intellectual property or other rights that might be claimed to pertain to the implementation or use of the technology described in this document or the extent to which any license under such rights might or might not be available; neither does it represent that it has made any effort to identify any such rights. Information on 1EdTechs procedures with respect to rights in 1EdTech specifications can be found at the 1EdTech Intellectual Property Rights web page: http://www.imsglobal.org/ipr/imsipr_policyFinal.pdf.

Copyright (c) 1EdTech Consortium 1999-2011. All Rights Reserved.

License Notice for Users

Users of products or services that include this document are hereby granted a worldwide, royalty-free, non-exclusive license to use this document.

Distribution Notice for Developers

Developers of products or services that are not original incorporators of this document and have not changed this document, that is, are distributing a software product that incorporates this document as is from a third-party source other than 1EdTech, are hereby granted permission to copy, display and distribute the contents of this document in any medium for any purpose without fee or royalty provided that you include this IPR, License and Distribution notice in its entirety on ALL copies, or portions thereof.

Developers of products or services that are original incorporators of this document and wish to provide distribution of this document as is or with modifications and developers of products and services that are not original incorporators of this document and have changed this document, are required to register with the 1EdTech community on the 1EdTech website as described in the following two paragraphs:-

  • If you wish to distribute this document as is, with no modifications, you are hereby granted permission to copy, display and distribute the contents of this document in any medium for any purpose without fee or royalty provided that you include this IPR, License and Distribution notice in its entirety on ALL copies, or portions thereof, that you make and you complete a valid license registration with 1EdTech and receive an email from 1EdTech granting the license. To register, follow the instructions on the 1EdTech website: http://www.imsglobal.org/specificationdownload.cfm. Once registered you are granted permission to transfer unlimited distribution rights of this document for the purposes of third-party or other distribution of your product or service that incorporates this document as long as this IPR, License and Distribution notice remains in place in its entirety;
  • If you wish to create and distribute a derived work from this document, you are hereby granted permission to copy, display and distribute the contents of the derived work in any medium for any purpose without fee or royalty provided that you include this IPR, License and Distribution notice in its entirety on ALL copies, or portions thereof, that you make and you complete a valid profile registration with 1EdTech and receive an email from 1EdTech granting the license. To register, follow the instructions on the 1EdTech GLC website: http://www.imsglobal.org/profile/. Once registered you are granted permission to transfer unlimited distribution rights of the derived work for the purposes of third-party or other distribution of your product or service that incorporates the derived work as long as this IPR, License and Distribution notice remains in place in its entirety.

The limited permissions granted above are perpetual and will not be revoked by 1EdTech or its successors or assigns.

THIS SPECIFICATION IS BEING OFFERED WITHOUT ANY WARRANTY WHATSOEVER, AND IN PARTICULAR, ANY WARRANTY OF NONINFRINGEMENT IS EXPRESSLY DISCLAIMED. ANY USE OF THIS SPECIFICATION SHALL BE MADE ENTIRELY AT THE IMPLEMENTERS OWN RISK, AND NEITHER THE CONSORTIUM NOR ANY OF ITS MEMBERS OR SUBMITTERS, SHALL HAVE ANY LIABILITY WHATSOEVER TO ANY IMPLEMENTER OR THIRD PARTY FOR ANY DAMAGES OF ANY NATURE WHATSOEVER, DIRECTLY OR INDIRECTLY, ARISING FROM THE USE OF THIS SPECIFICATION.

UML Source File Information

Choreography: Sync

Transport: SOAPv1.1

Source UML File Information

The source file information must be supplied as an XMI file (without diagram layout information). The supported UML authoring tools are: (a) Poseidon – v6 (and later)

Source XSLT File Information

XSL Generator: UMLtoWSDLv1.1Transformv0p9p5.xsl

XSLT Processor: Xalan

Release: 1.0 Beta 4

Date: 31st March, 2011

1EdTech Auto-generation Binding Tool-kit (I-BAT)

This file was auto-generated using the 1EdTech Binding Auto-generation Tool-kit (I-BAT). While every attempt has been made to ensure that this tool auto-generates the files correctly, users should be aware that this is an experimental tool. Permission is given to make use of this tool. 1EdTech makes no claim on the materials created by third party users of this tool. Details on how to use this tool are contained in the 1EdTech "I-BAT" Documentation available at the 1EdTech web-site.

Tool Copyright: 2005-2011 (c) 1EdTech Consortium Inc. All Rights Reserved.

 

Services

Name

Documentation

MembershipManagementServiceSyncService

Service Information

Author: Colin Smythe

Date: 30 June 2011

Version: 2.0

Status: Final Release

Description: The Membership Management Service is composed of a single interface.

History: Version 2.0: This is the first formal release of this service. This replaces the 1EdTech MMSv1.0 specification.

 

Service : MembershipManagementServiceSyncService

Port Name

Binding

Address Extensibility

Documentation

MembershipManagerSyncSoapPort

MembershipManagerSyncSoapBinding

<soap11:address location="http://www.imsglobal.org/lis/mms2p0/MembershipManagerSyncSoap/"/>

N/A

 

Binding : MembershipManagerSyncSoapBinding

Port Type

MembershipManagerSyncPortType

Extensibility

<soap11:binding transport="http://schemas.xmlsoap.org/soap/http" style="document"/>

Operations

createMembership, createByProxyMembership, deleteMembership, readMembership, readAllMembershipIds, readMembershipIdsFromSavePoint, readMembershipIdsForPerson, readMembershipIdsForPersonWithRole, readMembershipIdsForCollection, readMemberships, readMembershipsFromSavePoint, updateMembership, replaceMembership, discoverMembershipIds, changeMembershipIdentifier.

 

Port Type : MembershipManagerSyncPortType

Operation Name

Input message

Output message

Documentation

createMembership

createMembershipRequest

createMembershipResponse

The 'createMembership' operation is responsible for creating a new Membership object on the service provider. The service consumer supplies the 'sourcedId' to be used to identify the new Membership.

createByProxyMembership

createByProxyMembershipRequest

createByProxyMembershipResponse

The 'createByProxyMembership' operation is responsible for creating a new Membership object on the service provider. The service provider supplies the 'sourcedId' to be used to identify the new Membership.

deleteMembership

deleteMembershipRequest

deleteMembershipResponse

The 'deleteMembership' operation deletes the identified Membership object. This means the 'sourcedId' can then be reused for another object.

readMembership

readMembershipRequest

readMembershipResponse

The 'readMembership' operation requests the service provider to return all of the data stored for the identified Membership object.

readAllMembershipIds

readAllMembershipIdsRequest

readAllMembershipIdsResponse

The 'readAllMembershipIds' operation requests the service provider to return the SourcedIds for all of the Membership objects.

readMembershipIdsFromSavePoint

readMembershipIdsFromSavePointRequest

readMembershipIdsFromSavePointResponse

The 'readAllMembershipIdsFromSavePoint' operation requests the service provider to return the SourcedIds for all of the Membership objects from the defined reference 'savePoint'.

readMembershipIdsForPerson

readMembershipIdsForPersonRequest

readMembershipIdsForPersonResponse

The 'readMembershipIdsForPerson' operation requests the service provider to return the SourcedIds for all of the Group objects for which the supplied Person is a member.

readMembershipIdsForPersonWithRole

readMembershipIdsForPersonWithRoleRequest

readMembershipIdsForPersonWithRoleResponse

The 'readMembershipIdsForPersonWithRole' operation requests the service provider to return the SourcedIds for all of the Membership objects for which the supplied Person with the defined Role is a member.

readMembershipIdsForCollection

readMembershipIdsForCollectionRequest

readMembershipIdsForCollectionResponse

The 'readMembershipIdsForCollection' operation requests the service provider to return the SourcedIds for all of the objects defined by the type of collection e.g. CourseOffering.

readMemberships

readMembershipsRequest

readMembershipsResponse

The 'readMemberships' operation requests the service provider to return all of the data stored for the identified set of Membership objects.

readMembershipsFromSavePoint

readMembershipsFromSavePointRequest

readMembershipsFromSavePointResponse

The 'readMembershipsFromSavePoint' operation requests the service provider to return all of the data stored for the identified set of Membership objects from the defined reference 'savePoint'.

updateMembership

updateMembershipRequest

updateMembershipResponse

The 'updateMembership' operation is responsible for changing the Membership object on the service provider by making an additive write to the previously stored data.

replaceMembership

replaceMembershipRequest

replaceMembershipResponse

The 'replaceMembership' operation is responsible for changing the Membership object on the service provider by making a destructive replacement of all the previously stored data. If the original object cannot be found, this operation acts as if it was a 'createMembership' operation call.

discoverMembershipIds

discoverMembershipIdsRequest

discoverMembershipIdsResponse

The 'discoverMembershipIds' operation requests the service provider to return the SourcedIds of all of the Membership objects that sustain the query criteria. At present, there is no defined format for the query i.e. the query is passed as a string.

changeMembershipIdentifier

changeMembershipIdentifierRequest

changeMembershipIdentifierResponse

The 'changeMembershipIdentifier' operation enables the service consumer to change the 'SourcedId' assigned to a Membership object on a service provider.

 

4.2 Messages

createMembershipRequest

Part Name

Element

Type

Documentation

Parameters

tns:createMembershipRequest

N/A

N/A

HeaderInfoParameters

tns:imsx_syncRequestHeaderInfo

N/A

N/A

 

createMembershipResponse

Part Name

Element

Type

Documentation

Response

tns:createMembershipResponse

N/A

N/A

HeaderInfoResponse

tns:imsx_syncResponseHeaderInfo

N/A

N/A

 

createByProxyMembershipRequest

Part Name

Element

Type

Documentation

Parameters

tns:createByProxyMembershipRequest

N/A

N/A

HeaderInfoParameters

tns:imsx_syncRequestHeaderInfo

N/A

N/A

 

createByProxyMembershipResponse

Part Name

Element

Type

Documentation

Response

tns:createByProxyMembershipResponse

N/A

N/A

HeaderInfoResponse

tns:imsx_syncResponseHeaderInfo

N/A

N/A

 

deleteMembershipRequest

Part Name

Element

Type

Documentation

Parameters

tns:deleteMembershipRequest

N/A

N/A

HeaderInfoParameters

tns:imsx_syncRequestHeaderInfo

N/A

N/A

 

deleteMembershipResponse

Part Name

Element

Type

Documentation

Response

tns:deleteMembershipResponse

N/A

N/A

HeaderInfoResponse

tns:imsx_syncResponseHeaderInfo

N/A

N/A

 

readMembershipRequest

Part Name

Element

Type

Documentation

Parameters

tns:readMembershipRequest

N/A

N/A

HeaderInfoParameters

tns:imsx_syncRequestHeaderInfo

N/A

N/A

 

readMembershipResponse

Part Name

Element

Type

Documentation

Response

tns:readMembershipResponse

N/A

N/A

HeaderInfoResponse

tns:imsx_syncResponseHeaderInfo

N/A

N/A

 

readAllMembershipIdsRequest

Part Name

Element

Type

Documentation

Parameters

tns:readAllMembershipIdsRequest

N/A

N/A

HeaderInfoParameters

tns:imsx_syncRequestHeaderInfo

N/A

N/A

 

readAllMembershipIdsResponse

Part Name

Element

Type

Documentation

Response

tns:readAllMembershipIdsResponse

N/A

N/A

HeaderInfoResponse

tns:imsx_syncResponseHeaderInfo

N/A

N/A

 

readMembershipIdsFromSavePointRequest

Part Name

Element

Type

Documentation

Parameters

tns:readMembershipIdsFromSavePointRequest

N/A

N/A

HeaderInfoParameters

tns:imsx_syncRequestHeaderInfo

N/A

N/A

 

readMembershipIdsFromSavePointResponse

Part Name

Element

Type

Documentation

Response

tns:readMembershipIdsFromSavePointResponse

N/A

N/A

HeaderInfoResponse

tns:imsx_syncResponseHeaderInfo

N/A

N/A

 

readMembershipIdsForPersonRequest

Part Name

Element

Type

Documentation

Parameters

tns:readMembershipIdsForPersonRequest

N/A

N/A

HeaderInfoParameters

tns:imsx_syncRequestHeaderInfo

N/A

N/A

 

readMembershipIdsForPersonResponse

Part Name

Element

Type

Documentation

Response

tns:readMembershipIdsForPersonResponse

N/A

N/A

HeaderInfoResponse

tns:imsx_syncResponseHeaderInfo

N/A

N/A

 

readMembershipIdsForPersonWithRoleRequest

Part Name

Element

Type

Documentation

Parameters

tns:readMembershipIdsForPersonWithRoleRequest

N/A

N/A

HeaderInfoParameters

tns:imsx_syncRequestHeaderInfo

N/A

N/A

 

readMembershipIdsForPersonWithRoleResponse

Part Name

Element

Type

Documentation

Response

tns:readMembershipIdsForPersonWithRoleResponse

N/A

N/A

HeaderInfoResponse

tns:imsx_syncResponseHeaderInfo

N/A

N/A

 

readMembershipIdsForCollectionRequest

Part Name

Element

Type

Documentation

Parameters

tns:readMembershipIdsForCollectionRequest

N/A

N/A

HeaderInfoParameters

tns:imsx_syncRequestHeaderInfo

N/A

N/A

 

readMembershipIdsForCollectionResponse

Part Name

Element

Type

Documentation

Response

tns:readMembershipIdsForCollectionResponse

N/A

N/A

HeaderInfoResponse

tns:imsx_syncResponseHeaderInfo

N/A

N/A

 

readMembershipsRequest

Part Name

Element

Type

Documentation

Parameters

tns:readMembershipsRequest

N/A

N/A

HeaderInfoParameters

tns:imsx_syncRequestHeaderInfo

N/A

N/A

 

readMembershipsResponse

Part Name

Element

Type

Documentation

Response

tns:readMembershipsResponse

N/A

N/A

HeaderInfoResponse

tns:imsx_syncResponseHeaderInfo

N/A

N/A

 

readMembershipsFromSavePointRequest

Part Name

Element

Type

Documentation

Parameters

tns:readMembershipsFromSavePointRequest

N/A

N/A

HeaderInfoParameters

tns:imsx_syncRequestHeaderInfo

N/A

N/A

 

readMembershipsFromSavePointResponse

Part Name

Element

Type

Documentation

Response

tns:readMembershipsFromSavePointResponse

N/A

N/A

HeaderInfoResponse

tns:imsx_syncResponseHeaderInfo

N/A

N/A

 

updateMembershipRequest

Part Name

Element

Type

Documentation

Parameters

tns:updateMembershipRequest

N/A

N/A

HeaderInfoParameters

tns:imsx_syncRequestHeaderInfo

N/A

N/A

 

updateMembershipResponse

Part Name

Element

Type

Documentation

Response

tns:updateMembershipResponse

N/A

N/A

HeaderInfoResponse

tns:imsx_syncResponseHeaderInfo

N/A

N/A

 

replaceMembershipRequest

Part Name

Element

Type

Documentation

Parameters

tns:replaceMembershipRequest

N/A

N/A

HeaderInfoParameters

tns:imsx_syncRequestHeaderInfo

N/A

N/A

 

replaceMembershipResponse

Part Name

Element

Type

Documentation

Response

tns:replaceMembershipResponse

N/A

N/A

HeaderInfoResponse

tns:imsx_syncResponseHeaderInfo

N/A

N/A

 

discoverMembershipIdsRequest

Part Name

Element

Type

Documentation

Parameters

tns:discoverMembershipIdsRequest

N/A

N/A

HeaderInfoParameters

tns:imsx_syncRequestHeaderInfo

N/A

N/A

 

discoverMembershipIdsResponse

Part Name

Element

Type

Documentation

Response

tns:discoverMembershipIdsResponse

N/A

N/A

HeaderInfoResponse

tns:imsx_syncResponseHeaderInfo

N/A

N/A

 

changeMembershipIdentifierRequest

Part Name

Element

Type

Documentation

Parameters

tns:changeMembershipIdentifierRequest

N/A

N/A

HeaderInfoParameters

tns:imsx_syncRequestHeaderInfo

N/A

N/A

 

changeMembershipIdentifierResponse

Part Name

Element

Type

Documentation

Response

tns:changeMembershipIdentifierResponse

N/A

N/A

HeaderInfoResponse

tns:imsx_syncResponseHeaderInfo

N/A

N/A

 

top | toc


5. XSD File Documentation

The XSD file documentation has been produced by the Oxygen XML Editing tool.

5.1 Service Data Model

Click on the Section header to access this documentation for the data models in the service description.

5.2 File Data Model

Click on the Section header to access this documentation for the data models for the exchange of Group objects in an external file.

top | toc


6. Binding of the Vocabularies

The vocabularies in the MMS are:

  • Roletype vocabulary – the set of roles that are permitted for the Membership of a Person in a Group. The PSM for this vocabulary is shown in Figure 6.1;
  • Subroletype vocabulary – the set of sub-roles that are permitted for the Membership of a Person in a Group. The PSM for this vocabulary is shown in Figures 6.2, 6.3 and 6.4;
  • Extension data-type vocabulary – the set of data-types that are permitted for extensions in the Membership data model. The PSM for this vocabulary is shown in Figure 6.5.

These vocabularies are the default set maintained under the 1EdTech Vocabulary Registry [SDN11, 06].  It is the responsibility of an implementation to ensure that it is using the correct and latest versions of the vocabulary files.  Changes to the default vocabularies are permitted; this results in the creation of a new vocabulary that should be registered with 1EdTech.  As part of a profiling process entirely new vocabularies may be defined to replace the default set.

Figure 6.1 The PSM representation of the roletype vocabulary for the MMS.

Figure 6.2 The PSM representation of the subroletype vocabulary for the role teaching assistant and officer for the MMS.

Figure 6.3 The PSM representation of the subroletype vocabulary for the role administrator for the MMS.

Figure 6.4 The PSM representation of the subroletype vocabulary for the role mentor for the MMS.

Figure 6.5 The PSM representation of the extension data-type vocabulary for the MMS.

top | toc


Appendix A - Listing of the WSDLs

The WSDL bindings are for a Synchronous SOAP implementation only. The WSDL files, expressed using WSDLv1.1, are:

These files were generated by the I-BATv0.9.5 tool using the PSM representation described in Section 2.

top | toc


Appendix B - Listing of the XSDs

The XSD files are:

This file was generated by the I-BATv0.9.5 tool using the PSM representation described in Section 2. Documentation of the XSDs is supplied in Section 5.

top | toc


Appendix C - Vocabulary VDEX Instance File Listings

The MMS vocabularies are:

These vocabularies are expressed as instances of the 1EdTech Vocabulary Data Exchange (VDEX) v1.0 specification. Documentation of these vocabularies is supplied in Section 6.

top | toc


Appendix D - Example SOAP Messages

The set of examples for the SOAP messages are listed in Table D.1. The messaging pattern is a Request/Response exchange to support the Synchronous Service definition.

Table D.1 The set of SOAP message examples for each operation.

Operation Name

Input (Request) SOAP Message

Output (Response) SOAP Message

createMembership

createMembershipRequest

createMembershipResponse

createByProxyMembership

createByProxyMembershipRequest

createByProxyMembershipResponse

deleteMembership

deleteMembershipRequest

deleteMembershipResponse

readMembership

readMembershipRequest

readMembershipResponse

readAllMembershipIds

readAllMembershipIdsRequest

readAllMembershipIdsResponse

readMembershipIdsFromSavePoint

readMembershipIdsFromSavePointRequest

readMembershipIdsFromSavePointResponse

readMembershipIdsForPerson

readMembershipIdsForPersonRequest

readMembershipIdsForPersonResponse

readMembershipIdsForPersonWithRole

readMembershipIdsForPersonWithRoleRequest

readMembershipIdsForPersonWithRoleResponse

readMembershipIdsForCollection

readMembershipIdsForCollectionRequest

readMembershipIdsForCollectionResponse

readMemberships

readMembershipsRequest

readMembershipsResponse

readMembershipsFromSavePoint

readMembershipsFromSavePointRequest

readMembershipsFromSavePointResponse

updateMembership

updateMembershipRequest

updateMembershipResponse

replaceMembership

replaceMembershipRequest

replaceMembershipResponse

discoverMembershipIds

discoverMembershipIdsRequest

discoverMembershipIdsResponse

changeMembershipIdentifier

changeMembershipIdentifierRequest

changeMembershipIdentifierResponse

top | toc


About This Document

Title

1EdTech Membership Management Service WSDL/XSD Binding

Editor

Colin Smythe (1EdTech)

Co-Chairs

Linda Feng (Oracle), Bill Lee (Desire2learn)

Version

2.0.1

Version Date

30 September 2013

Status

Final Release

Summary

This document contains the description of the 1EdTech Membership Management Service v2.0.1 WSDL/XSD binding. This service is used to exchange information about Memberships. The business transactions include the simple create, read, update and delete of the Group data model for a single instance. This document contains the definition of the corresponding Web Service based upon SOAP/HTTP messaging.

Revision Information

This version supersedes the 1EdTech Membership Management Service v1.0 specification.

Purpose

This document is made available for adoption by the public community at large.

Document Location

http://www.imsglobal.org/lis/

top | toc


List of Contributors

The following individuals contributed to the development of this document:

Name

Organization

Kerry Blinco

DEEWR (Australia)

Kirk Bunte

SungardHE (USA)

Angus Chan

Desire2learn (Canada)

Adam Cooper

JISC (UK)

Michael De Ridder

Desire2Learn (Canada)

Michael Feldstein

Cengage (USA)

Linda Feng

Oracle (USA)

John Fontaine

Blackboard (USA)

Chris Hatton

Pearson (USA)

Karen Kuffner

University of Michigan (USA)

Zack Leavitt

eCollege (USA)

Bill Lee

Desire2learn (Canada)

Richard Moon

SungardHE (USA)

Phil Nicholls

Psydev Ltd (UK)

Mike Parkhill

Desire2learn (Canada)

Colin Smythe

1EdTech Consortium, Inc.

Reinhold Staudinger

Blackboard (USA)

top | toc


Revision History

Version No.

Release Date

Comments

MMS Final Release 1.0

30 June 2011

The first formal release of the Final Release version of this document.

MMS Final Release 2.0.1

30 September 2013

Corrections

 

 

 

top | toc


{C}{C}{C}{C}{C}{C}{C}{C}1EdTech Consortium, Inc. (“1EdTech”) is publishing the information containedin this document (“Specification”) for purposes of scientific, experimental, and scholarly collaboration only.

1EdTech makes no warranty or representation regarding the accuracy or completeness of theSpecification.

This material is provided on an “As Is” and “As Available” basis.

The Specification is at all times subject to change and revision without notice.

It is your sole responsibility to evaluate the usefulness, accuracy, and completeness of the Specification as it relates to you.

1EdTech would appreciate receiving your comments and suggestions.

Please contact 1EdTech through our website at http://www.imsglobal.org.

Please refer to Document Name: 1EdTech MMS v2.0.1 WSDL/XSD Binding Final Release

Date: 30 September 2013.