1EdTech Final Release

1EdTech logo

1EdTech Bulk Data Exchange Management Service WSDL/XSD Binding

Version 1.0.1

Final Release

 

Date Issued: 30 September 2013

Latest version: http://www.imsglobal.org/lis/

 

IPR and Distribution Notices

Recipients of this document are requested to submit, with their comments, notification of any relevant patent claims or other intellectual property rights of which they may be aware that might be infringed by any implementation of the specification set forth in this document, and to provide supporting documentation.

1EdTech takes no position regarding the validity or scope of any intellectual property or other rights that might be claimed to pertain to the implementation or use of the technology described in this document or the extent to which any license under such rights might or might not be available; neither does it represent that it has made any effort to identify any such rights. Information on IMSs procedures with respect to rights in 1EdTech specifications can be found at the 1EdTech Intellectual Property Rights web page: http://www.imsglobal.org/ipr/imsipr_policyFinal.pdf.

Copyright © 2013 1EdTech Consortium. All Rights Reserved.

Use of this specification to develop products or services is governed by the license with 1EdTech found on the 1EdTech website: http://www.imsglobal.org/license.html.

Permission is granted to all parties to use excerpts from this document as needed in producing requests for proposals.

The limited permissions granted above are perpetual and will not be revoked by 1EdTech or its successors or assigns.

THIS SPECIFICATION IS BEING OFFERED WITHOUT ANY WARRANTY WHATSOEVER, AND IN PARTICULAR, ANY WARRANTY OF NONINFRINGEMENT IS EXPRESSLY DISCLAIMED. ANY USE OF THIS SPECIFICATION SHALL BE MADE ENTIRELY AT THE IMPLEMENTER'S OWN RISK, AND NEITHER THE CONSORTIUM, NOR ANY OF ITS MEMBERS OR SUBMITTERS, SHALL HAVE ANY LIABILITY WHATSOEVER TO ANY IMPLEMENTER OR THIRD PARTY FOR ANY DAMAGES OF ANY NATURE WHATSOEVER, DIRECTLY OR INDIRECTLY, ARISING FROM THE USE OF THIS SPECIFICATION.

top


Table of Contents

  1. Introduction

a.       Scope and Context

b.      Structure of this Document

c.       Nomenclature

d.      References

  1. Platform Specific Model of the Binding

a.       Service Description

b.      Data for the Servce Operations

c.       File-based Exchange Data Model

  1. Application of the Binding Guidelines
  2. WSDL File Documentation

a.       Overview

b.      Messages

  1. XSD File Documentation

a.       Service Data Model

b.      File Data Model

  1. Binding of the Vocabularies
  2. Appendix A - Listing of the WSDLs
  3. Appendix B - Listing of the XSDs
  4. Appendix C - Vocabulary VDEX Instance File Listings
  5. Appendix D - Example SOAP Messages
  6. About This Document
  7. Revision History

top


1. Introduction

This document is a part of the 1EdTech Bulk Data Exchange Management Service (BDEMS) v1.0.1 specification. The binding details how the Bulk Data Management Service Information Model is realised as a Web Service; in the form of a Web Services Description Language (WSDL) file. The BDEMS binding is contained in a set of WSDL, XSD and vocabulary files. The vocabulary files are instances of the 1EdTech Vocabulary Definition Exchange specification [VDEX, 04a], [VDEX, 04b]. The 1EdTech Learning Information Services (LIS) Best Practice and Implementation Guide [LIS, 13b] provides non-normative guidance on how to use the Binding and Information Model. For a conceptual overview of the LIS Specification, please see the overall services description [LIS, 13a]. For a discussion of potential applications, see the Best Practice Guide.

1.1 Scope and Context

The 1EdTech BDEMS WSDL Binding v1.0.1 is used in conjunction with the following documents:

  1. 1EdTech Bulk Data Exchange Management Service Information Model v1.0.1 [BDEMS, 13] the behaviour and data model definition of the Bulk Data Exchange Management Service;
  2. 1EdTech Learning Information Services Best Practice and Implementation Guide v2.0.1 [LIS, 13b] key information on how to adopt and implement the specification.

This WSDL binding takes the Bulk Data Exchange Management Service Information Model and produces an encoding of that description in WSDL. This WSDL binding is generated as recommended by the 1EdTech General Web Services documents [GWS, 06a], [GWS, 06b]. The WSDL is created using the IMC GLC Binding Auto-generation Tool-kit (I-BAT) [I-BAT, 06].

1.2 Structure of this Document

The structure of this document is:

2. Platform Specific Model of the Binding

The description platform specific models in the form of the 1EdTech GLC UML-Profile service/data models representation of the 1EdTech GMS specification information model. This representation is used by the 1EdTech I-BAT tool to auto-generate the corresponding WSDL/XSDs;

3. Application of the Binding Guidelines

Explanation of how the platform specific model is realised as the WDSDL/XSD binding. This addresses how the information model is realised as a Web Service;

4. WSDL File Documentation

The description of the Web Services used to realise the service model components of the binding. This part of the binding document was created using the schema documentation tool provided as part of the Oxygen 12.2 product;

5. XSD File Documentation

The description of the elements used within the data model components of the binding. This part of the binding document was created using the schema documentation tool provided as part of the Oxygen 12.2 product;

6. Binding of the Vocabularies

Contains the description of how the set of external vocabulary files are realised as VDEX files;

Appendix A - Listing of the WSDL Files

This is the full listing of the BDEMS WSDL files;

Appendix B - Listing of the XSD Files

This is the full listing of the BDEMS XSD files;

Appendix C - Vocabulary VDEX Instance File Listings

This is the full listing of the set of external vocabulary VDEX instance files;

Appendix D - Examples SOAP Messages

Examples of the SOAP messages that are exchanged to realise the service.

1.3 Nomenclature

BDEMS

Bulk Data Exchange Management Service

CMS

Course Management Service

GMS

Group Management Service

HTTP

HyperText Transfer Protocol

I-BAT

1EdTech Binding Auto-generation Tool-kit

1EdTech

1EdTech Consortium

LIS

Learning Information Services

MDA

Model Driven Architecture

MMS

Membership Management Service

OMS

Outcomes Management Service

PIM

Platform Independent Model

PMS

Person Management Service

PSM

Platform Specific Model

UML

Unified Modelling Language

VDEX

Vocabulary Definition Exchange

W3C

World Wide Web Consortium

WSDL

Wed Services Description Language

XMI

XML Meta-data Interchange

XML

Extensible Mark-up Language

XSD

XML Schema Definition

XSL

Extensible Stylesheet Language

XSLT

XSL Transformations

1.4 References

[BDEMS, 13]

1EdTech Bulk Data Exchange Management Services v1.0.1 Information Model Specification Final Release, L.Feng, B.Lee and C.Smythe, 1EdTech Consortium, September 2013.

[GWS, 06a]

1EdTech General Web Services Base Profile Specification Final Release v1.0, C.Schroeder, J.Simon and C.Smythe, 1EdTech Consortium, January 2006.

[GWS, 06b]

1EdTech General Web Services WSDL Binding Guidelines Final Release v1.0, C.Schroeder, J.Simon and C.Smythe, 1EdTech Consortium, January 2006.

[I-BAT, 06]

1EdTech Binding Auto-generation Toolkit Manual v1.0, C.Smythe, 1EdTech Consortium, July 2006.

[LIS, 13a]

1EdTech Learning Information Services Specification v2.0.1 Final Release , L.Feng, B.Lee and C.Smythe, 1EdTech Consortium, September 2013.

[LIS, 13b]

1EdTech Learning Information Services Best Practice and Implementation Guide v2.0.1 Final Release , L.Feng, B.Lee and C.Smythe, 1EdTech Consortium, September 2013.

[SDN11, 06]

1EdTech Specification Note 11: Vocabulary Definition, Registration & Maintenance Procedures, C.Smythe, 1EdTech Consortium, October 2006.

[VDEX, 04a]

1EdTech Vocabulary Definition Exchange Information Model Specification Final Release v1.0, A.Cooper, 1EdTech Consortium, February 2004.

[VDEX, 04b]

1EdTech Vocabulary Definition Exchange XML Binding Specification Final Release v1.0, A.Cooper, 1EdTech Consortium, February 2004.

top | toc


2. Platform Specific Model of the Binding

2.1 Service Description

Figure 2.1 is the PSM of the service group model description for the BDEMS. This information is used to establish the mapping to the binding flavors of WSDL.

Figure 2.1 The PSM representation of the service group model description for the BDEMS.

Figure 2.2 is the PSM of the service model description for the BDEMS. The PSM is derived from the Platform Independent Model that was documented within the information model for the BDEMS specification [BDEMS, 13].

Figure 2.2 The PSM representation of the service model description for the BDEMS.

NOTE: In Figure 2.2 it can be seen that the BDEMS uses an extra SOAP Header (this is supplied as part of the 1EdTech GWS v1.0 specification). This header is used to support ansynchronous messaging uses end-point addressing provided as part of the SOAP request message (this is similar to the use of WS-Addressing which may replace this approach in later versions of the BDEMS).

2.2 Data for the Service Operations

The data model for the service opertaions is shown in Figure 2.3, 2.4 and 2.5. Figures 2.3 and 2.4 show the data models for the set of parameters. Figure 2.5 is the data model for the Status Information and other WSDL-specific binding data structures.

Figure 2.3 The PSM representation of the parameters data model description for the BDEMS.

Figure 2.4 The PSM representation epresentation of the supported parameter data model description for the BDEMS.

Figure 2.5 The PSM representation of the status information data model description for the BDEMS.

2.3 File-based Data Exchange Data Model

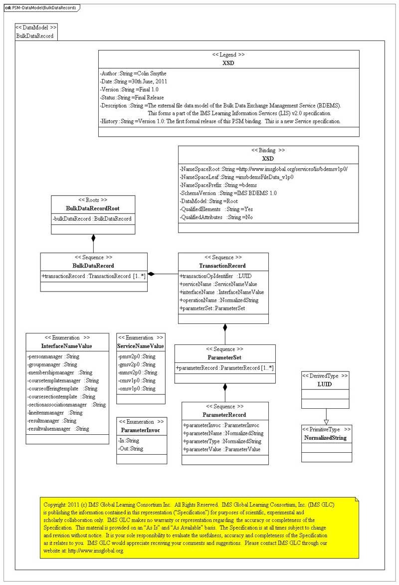
The PSM for the file-based bulk data exchange data models are shown in Figures 2.6 and 2.7. Figure 2.6 is the BulkDataRecord data model and Figure 2.7 contains the set of imported data model classes.

Figure 2.6 The PSM representation of the bulkdatarecord data model description for file storage in the BDEMS.

Figure 2.7 The PSM representation of the imported data model descriptions for file storage in the BDEMS.

top | toc


3. Application of the Binding Guidelines

The WSDL/XSD bindings have been generated using the methodology documented in [GWS 06a] and [GWS, 06b]. Only the synchronous service binding has been created i.e. each call is realised as a request/response pair (note that the BDEMS operations are combined in various ways to create an asynchronous service; see the BDEMS Information Model [BDEMS, 13]). The binding files are available in two forms:

  • A single combined WSDL/XSD BulkDataExchangeManagementServicev1.0_SyncSingle_v1p0.wsdl;
  • Separated WSDL and XSD files BulkDataExchangeManagementServicev1p0_SyncWSDL_v1p0.wsdl and BulkDataExchangeManagementServiceSyncXSD.xsd respectively.

It is recommended that only the combined form is used (many WSDL-based code generation tools do not process the WSDL 'import' instructions).

The mapping between the PIM and PSM descriptions is detailed in Table 3.1.

Table 3.1 Mapping between the PIM, PSM and XSD descriptions for the data models.

PSM Reference

PIM Reference

XSD Reference

Name

UML Type

Figure

Type

Table

Name

Type

BulkBlockManifest

Class

2.3

 

4.1

BulkBlockManifest.Type

ComplexType

  • bulkBlockManifestId

Attribute

2.3

LUID

4.2

bulkBlockManifestId

Element

  • expiryDate

Attribute

2.3

DateTime

4.3

expiryDate

Element

  • bulkBlockDataFile

Attribute

2.3

BulkBlockDataFile

4.4

bulkBlockDataFile

Element

BulkBlockDataFile

Class

2.3

 

4.5

BulkBlockDataFile.Type

ComplexType

  • url

Attribute

2.3

URL

4.6

url

Element

  • checkSum

Attribute

2.3

Hexadecimal

4.7

checkSum

Element

  • totalSize

Attribute

2.3

Integer

4.8

totalSize

Element

  • savePoint

Attribute

2.3

SequenceIdentifier

4.9

savePoint

Element

  • serviceSet

Attribute

2.3

ServiceSet

4.10

serviceSet

Element

ServiceSet

Class

2.3

 

4.11

ServiceSet.Type

ComplexType

  • serviceRecord

Attribute

2.3

ServiceRecord

4.12

serviceRecord

Element

ServiceRecord

Class

2.3

 

4.13

ServiceRecord.Type

ComplexType

  • serviceName

Attribute

2.3

Enumeration

4.14

serviceName

Element

  • interfaceName

Attribute

2.3

Enumeration

4.15

interfaceName

Element

  • operationSet

Attribute

2.3

OperationSet

4.16

operationSet

Element

OperationSet

Class

2.3

 

4.17

OperationSet.Type

ComplexType

  • operationName

Attribute

2.3

NormalizedString

4.18

operationName

Element

BulkBlockReport

Class

2.3

 

4.19

BulkBlockReport.Type

ComplexType

  • bulkBlockManifestIdRef

Attribute

2.3

LUID

4.20

bulkBlockManifestIdRef

Element

  • transactionReportSummary

Attribute

2.3

ReportSummary

4.21

reportSummary

Element

  • transactionReportDetail

Attribute

2.3

ReportFailureDetail

4.22

transactionReport

Element

ReportSummary

Class

2.3

 

4.23

ReportSummary.Type

ComplexType

  • noofTotalFullSuccess

Attribute

2.3

Int

4.24

noofTotalFullSuccess

Element

  • noofTotalPartialSuccess

Attribute

2.3

Int

4.25

noofTotalPartialSuccess

Element

  • noofTotalFailure

Attribute

2.3

Int

4.26

noofTotalFailure

Element

  • interfaceSummaryReport

Attribute

2.3

InterfaceSummaryReport

4.27

InterfaceSummaryReport

Element

InterfaceSummaryReport

Class

2.3

 

4.28

InterfaceSummaryReport.Type

ComplexType

  • interfaceName

Attribute

2.3

Enumeration

4.29

interfaceName

Element

  • noofFullSuccess

Attribute

2.3

Int

4.30

noofFullSuccess

Element

  • noofPartialSuccess

Attribute

2.3

Int

4.31

noofPartialSuccess

Element

  • noofFailure

Attribute

2.3

Int

4.32

noofFailure

Element

ReportFailureDetail

Class

2.3

 

4.33

ReportFailureDetail.Type

ComplexType

  • failureReport

Attribute

2.3

TransactionReport

4.34

failureReport

Element

TransactionReport

Class

2.3

 

4.35

TransactionReport.Type

ComplexType

  • transactionOpIdentifierRef

Attribute

2.3

LUID

4.36

transactionOpIdentifierRef

Element

  • serviceName

Attribute

2.3

Enumeration

4.37

serviceName

Element

  • transactionFailStatusVocabulary

Attribute

2.3

AnyURI

4.38

transactionFailStatusVocabulary

Element

  • transactionFailStatus

Attribute

2.3

External Vocabulary

4.39

transactionFailStatus

Element

FailureReport

Class

2.3

 

4.40

FailureReport.Type

ComplexType

  • failureReportVocabulary

Attribute

2.3

AnyURI

 

failureReportVocabulary

Element

  • failureCode

Attribute

2.3

External Vocabulary

4.41

failureCode

Element

  • failureDescription

Attribute

2.3

NormalizedString

4.42

failureDescription

Element

FilterObject

Class

2.3

 

4.43

FilterObject.Type

ComplexType

  • filterRule

Attribute

2.3

FilterRule

4.44

filterRule

Element

FilterRule

Class

2.3

 

4.45

FilterRule.Type

ComplexType

  • filterTypeVocabulary

Attribute

2.3

AnyURI

4.46

filterTypeVocabulary

Element

  • filterType

Attribute

2.3

External Vocabulary

4.47

filterType

Element

  • filterValueVocabulary

Attribute

2.3

AnyURI

4.48

filterValueVocabulary

Element

  • filterValue

Attribute

2.3

External Vocabulary

4.49

filterValue

Element

SupportedServices

Class

2.4

 

4.50

SupportedServices.Type

ComplexType

  • personOperation

Attribute

2.4

PersonInterfaceOperations

4.51

personOperation

Element

  • groupOperation

Attribute

2.4

GroupInterfaceOperations

4.52

groupOperation

Element

  • membershipOperation

Attribute

2.4

MembershipInterfaceOperations

4.53

membershipOperation

Element

  • templateOperation

Attribute

2.4

TemplateInterfaceOperations

4.54

templateOperation

Element

  • offeringOperation

Attribute

2.4

OfferingInterfaceOperations

4.55

offeringOperation

Element

  • sectionOperation

Attribute

2.4

SectionInterfaceOperations

4.56

sectionOperation

Element

  • associationOperation

Attribute

2.4

AssociationInterfaceOperations

4.57

associationOperation

Element

  • lineItemOperation

Attribute

2.4

LineItemInterfaceOperations

4.58

lineItemOperation

Element

  • resultOperation

Attribute

2.4

ResultInterfaceOperations

4.59

resultOperation

Element

  • resultValueOperation

Attribute

2.4

ResultValueInterfaceOperations

4.60

resultValueOperation

Element

PersonInterfaceOperations

Class

2.4

 

4.61

PersonInterfaceOperations.Type

ComplexType

  • operationName

Attribute

2.4

NormalizedString

4.62

operationName

Element

GroupInterfaceOperations

Class

2.4

 

4.63

GroupInterfaceOperations.Type

ComplexType

  • operationName

Attribute

2.4

NormalizedString

4.64

operationName

Element

MembershipInterfaceOperations

Class

2.4

 

4.65

MembershipInterfaceOperations.Type

ComplexType

  • operationName

Attribute

2.4

NormalizedString

4.66

operationName

Element

TemplateInterfaceOperations

Class

2.4

 

4.67

TemplateInterfaceOperations.Type

ComplexType

  • operationName

Attribute

2.4

NormalizedString

4.68

operationName

Element

OfferingInterfaceOperations

Class

2.4

 

4.69

OfferingInterfaceOperations.Type

ComplexType

  • operationName

Attribute

2.4

NormalizedString

4.70

operationName

Element

SectionInterfaceOperations

Class

2.4

 

4.71

SectionInterfaceOperations.Type

ComplexType

  • operationName

Attribute

2.4

NormalizedString

4.72

operationName

Element

AssociationInterfaceOperations

Class

2.4

 

4.73

AssociationInterfaceOperations.Type

ComplexType

  • operationName

Attribute

2.4

NormalizedString

4.74

operationName

Element

LineItemInterfaceOperations

Class

2.4

 

4.75

LineItemInterfaceOperations.Type

ComplexType

  • operationName

Attribute

2.4

NormalizedString

4.76

operationName

Element

ResultInterfaceOperations

Class

2.4

 

4.77

ResultInterfaceOperations.Type

ComplexType

  • operationName

Attribute

2.4

NormalizedString

4.78

operationName

Element

ResultValueInterfaceOperations

Class

2.4

 

4.79

ResultValueInterfaceOperations.Type

ComplexType

  • operationName

Attribute

2.4

NormalizedString

4.80

operationName

Element

BulkDataRecord

Class

2.6

 

5.2

BulkDataRecord.Type

ComplexType

  • transactionRecord

Attribute

2.6

TransactionRecord

5.3

transactionRecord

Element

TransactionRecord

Class

2.6

 

5.4

TransactionRecord.Type

ComplexType

  • transactionOpIdentifier

Attribute

2.6

LUID

5.5

transactionOpIdentifier

Element

  • serviceName

Attribute

2.6

NormalizedString

5.6

serviceName

Element

  • interfaceName

Attribute

2.6

NormalizedString

5.7

interfaceName

Element

  • operationName

Attribute

2.6

NormalizedString

5.8

operationName

Element

  • parameterSet

Attribute

2.6

ParameterSet

5.9

parameterSet

Element

ParameterSet

Class

2.6

 

5.10

ParameterSet.Type

ComplexType

  • parameterRecord

Attribute

2.6

ParameterRecord

5.11

parameterRecord

Element

ParameterRecord

Class

2.6

 

5.12

ParameterRecord.Type

ComplexType

  • parameterInvoc

Attribute

2.6

Internal Vocabulary

5.13

parameterInvoc

Element

  • parameterName

Attribute

2.6

NormalizedString

5.14

parameterName

Element

  • parameterType

Attribute

2.6

External Vocbulary

5.15

parameterType

Element

  • parameterValue

Attribute

2.6

ParameterValue

5.16

parameterValue

Element

ParameterValue

Class

2.7

 

5.17

ParameterValue.Type

ComplexType

  • guid

Attribute

2.7

GUID

5.18

guid

Element

  • guidSet

Attribute

2.7

GUIDSet

5.19

guidSet

Element

  • queryObject

Attribute

2.7

NormalizedString

5.20

queryObject

Element

  • sequenceIdentifier

Attribute

2.7

DateTime

5.21

sequenceIdentifier

Element

  • academicSession

Attribute

2.7

Text

5.22

academicSession

Element

  • url

Attribute

2.7

URL

5.23

url

Element

  • personRecord

Attribute

2.7

PersonRecord

5.24

personRecord

Element

  • personCoreRecord

Attribute

2.7

PersonCoreRecord

5.25

personCoreRecord

Element

  • personRecordSet

Attribute

2.7

PersonRecordSet

5.26

personRecordSet

Element

  • groupRecord

Attribute

2.7

GroupRecord

5.27

groupRecord

Element

  • groupRecordSet

Attribute

2.7

GroupRecordSet

5.28

groupRecordSet

Element

  • membershipRecord

Attribute

2.7

MembershipRecord

5.29

membershipRecord

Element

  • membershipRecordSet

Attribute

2.7

MembershipRecordSet

5.30

membershipRecordSet

Element

  • courseTemplateRecord

Attribute

2.7

CourseTemplateRecord

5.31

courseTemplateRecord

Element

  • courseTemplateRecordSet

Attribute

2.7

CourseTemplateRecordSet

5.32

courseTemplateRecordSet

Element

  • courseOfferingRecord

Attribute

2.7

CourseOfferingRecord

5.33

courseOfferingRecord

Element

  • courseOfferingRecordSet

Attribute

2.7

CourseOfferingRecordSet

 

courseOfferingRecordSet

Element

  • courseSectionRecord

Attribute

2.7

CourseSectionRecord

5.34

courseSectionRecord

Element

  • courseSectionRecordSet

Attribute

2.7

CourseSectionRecordSet

5.35

courseSectionRecordSet

Element

  • sectionAssociationRecord

Attribute

2.7

SectionAssociationRecord

5.36

sectionAssociationRecord

Element

  • sectionAssociationRecordSet

Attribute

2.7

SectionAssociationRecordSet

5.37

sectionAssociationRecordSet

Element

  • resultRecord

Attribute

2.7

ResultRecord

5.38

resultRecord

Element

  • resultRecordSet

Attribute

2.7

ResultRecordSet

5.39

resultRecordSet

Element

  • resultValueRecord

Attribute

2.7

ResultValueRecord

5.40

resultValueRecord

Element

  • resultValueRecordSet

Attribute

2.7

ResultValueRecordSet

5.41

resultValueRecordSet

Element

  • lineItemRecord

Attribute

2.7

LineItemRecord

5.42

lineItemRecord

Element

  • lineItemRecordSet

Attribute

2.7

LineItemRecordSet

5.43

lineItemRecordSet

Element

  • lineItemType

Attribute

2.7

LineItemType

5.44

lineItemType

Element

  • membershipIdType

Attribute

2.7

Internal Vocabulary

5.45

membershipIdType

Element

  • relationship

Attribute

2.7

Relationship

5.46

relationship

Element

  • role

Attribute

2.7

Role

5.47

role

Element

  • resultStatus

Attribute

2.7

ResultStatus

5.48

resultStatus

Element

  • status

Attribute

2.7

Status

5.49

status

Element

PersonRecord

Class

2.7

See 1EdTech PMSv2.0 Info Model

PersonRecord.Type

ComplexType

PersonRecordSet

Class

2.7

See 1EdTech PMSv2.0 Info Model

PersonRecordSet.Type

ComplexType

GroupRecord

Class

2.7

See 1EdTech GMSv2.0 Info Model

GroupRecord.Type

ComplexType

GroupRecordSet

Class

2.7

See 1EdTech GMSv2.0 Info Model

GroupRecordSet.Type

ComplexType

MembershipRecord

Class

2.7

See 1EdTech MMSv2.0 Info Model

MembershipRecord.Type

ComplexType

MembershipRecordSet

Class

2.7

See 1EdTech MMSv2.0 Info Model

MembershipRecordSet.Type

ComplexType

CourseTemplateRecord

Class

2.7

See 1EdTech CMSv1.0 Info Model

CourseTemplateRecord.Type

ComplexType

CourseTemplateRecordSet

Class

2.7

See 1EdTech CMSv1.0 Info Model

CourseTemplateRecordSet.Type

ComplexType

CourseOfferingRecord

Class

2.7

See 1EdTech CMSv1.0 Info Model

CourseOfferingRecord.Type

ComplexType

CourseOfferingRecordSet

Class

2.7

See 1EdTech CMSv1.0 Info Model

CourseOfferingRecordSet.Type

ComplexType

CourseSectionRecord

Class

2.7

See 1EdTech CMSv1.0 Info Model

CourseSectionRecord.Type

ComplexType

CourseSectionRecordSet

Class

2.7

See 1EdTech CMSv1.0 Info Model

CourseSectionRecordSet.Type

ComplexType

SectionAssociationRecord

Class

2.7

See 1EdTech CMSv1.0 Info Model

SectionAssociationRecord.Type

ComplexType

SectionAssociationRecordSet

Class

2.7

See 1EdTech CMSv1.0 Info Model

SectionAssociationRecordSet.Type

ComplexType

ResultRecord

Class

2.7

See 1EdTech OMSv1.0 Info Model

ResultRecord.Type

ComplexType

ResultRecordSet

Class

2.7

See 1EdTech OMSv1.0 Info Model

ResultRecordSet.Type

ComplexType

ResultValueRecord

Class

2.7

See 1EdTech OMSv1.0 Info Model

ResultValueRecord.Type

ComplexType

ResultValueRecordSet

Class

2.7

See 1EdTech OMSv1.0 Info Model

ResultValueRecordSet.Type

ComplexType

LineItemRecord

Class

2.7

See 1EdTech OMSv1.0 Info Model

LineItemRecord.Type

ComplexType

LineItemRecordSet

Class

2.7

See 1EdTech OMSv1.0 Info Model

LineItemRecordSet.Type

ComplexType

Relationship

Class

2.7

See 1EdTech MMSv2.0 Info Model

Relationship.Type

ComplexType

Role

Class

2.7

See 1EdTech GMSv2.0 Info Model

Role.Type

ComplexType

LineItemType

Class

2.7

See 1EdTech OMSv1.0 Info Model

LineItemType.Type

ComplexType

ResultStatus

Class

2.7

See 1EdTech OMSv1.0 Info Model

ResultStatus.Type

ComplexType

Status

Class

2.7

See 1EdTech OMSv1.0 Info Model

ResultStatus.Type

ComplexType

Text

Class

2.7

See 1EdTech CMSv1.0 Info Model

Status.Type

ComplexType

imsx_StatusInfo

Class

2.5

 

See 1EdTech GWSv1.0

imsx_StatusInfo.Type

ComplexType

  • imsx_codeMajor

Attribute

2.4

n/a

See 1EdTech GWSv1.0

imsx_codeMajor

Element

  • imsx_severity

Attribute

2.4

n/a

See 1EdTech GWSv1.0

imsx_severity

Element

  • imsx_messageRefIdentifier

Attribute

2.4

n/a

See 1EdTech GWSv1.0

imsx_messageRefIdentifier

Element

  • imsx_operationRefIdentifier

Attribute

2.4

n/a

See 1EdTech GWSv1.0

imsx_operationRefIdentifier

Element

  • imsx_description

Attribute

2.4

n/a

See 1EdTech GWSv1.0

imsx_description

Element

  • imsx_codeMinor

Attribute

2.4

n/a

See 1EdTech GWSv1.0

imsx_codeMinor

Element

imsx_CodeMinor

Class

2.4

 

See 1EdTech GWSv1.0

imsx_CodeMinor.Type

ComplexType

  • imsx_codeMinorField

Attribute

2.4

n/a

See 1EdTech GWSv1.0

imsx_codeMinorField

Element

imsx_CodeMinorField

Class

2.4

 

See 1EdTech GWSv1.0

imsx_CodeMinorField.Type

ComplexType

  • imsx_codeMinorFieldName

Attribute

2.4

n/a

See 1EdTech GWSv1.0

imsx_codeMinorFieldName

Element

  • imsx_codeMinorFieldValue

Attribute

2.4

n/a

See 1EdTech GWSv1.0

imsx_codeMinorFieldValue

Element

imsx_StatusBinding

Class

2.4

 

See 1EdTech GWSv1.0

imsx_StatusBinding.Type

ComplexType

  • imsx_syncRequestHeaderInfo

Attribute

2.4

n/a

See 1EdTech GWSv1.0

imsx_syncRequestHeaderInfo

Element

  • imsx_syncResponseHeaderInfo

Attribute

2.4

n/a

See 1EdTech GWSv1.0

imsx_syncResponseHeaderInfo

Element

imsx_RequestHeaderInfo

Class

2.4

 

See 1EdTech GWSv1.0

imsx_RequestHeaderInfo.Type

ComplexType

  • imsx_version

Attribute

2.4

n/a

See 1EdTech GWSv1.0

imsx_version

Element

  • imsx_messageIdentifier

Attribute

2.4

n/a

See 1EdTech GWSv1.0

imsx_messageIdentifier

Element

imsx_ResponseHeaderInfo

Class

2.4

 

See 1EdTech GWSv1.0

imsx_ResponseHeaderInfo.Type

ComplexType

  • imsx_version

Attribute

2.4

n/a

See 1EdTech GWSv1.0

imsx_version

Element

  • imsx_messageIdentifier

Attribute

2.4

n/a

See 1EdTech GWSv1.0

imsx_messageIdentifier

Element

  • imsx_statusInfo

Attribute

2.4

n/a

See 1EdTech GWSv1.0

imsx_statusInfo

Element

Key:

I.                        The 'PSM Reference' field refers to information in the PSM description (Section 2 in this document). The sub-fields are:

a.       Name the name of the data structure in the PSM and PIM

b.      UML Type the type of UML construct i.e. either Class or Attribute

c.       Figure the reference Figure number in this document;

       II.            The 'PIM Reference' field refers to infomation in the BDEMS Information Model [BDEMS, 13]. The sub-fields are:

a.       Type the type of the data structure in the Information Model

b.      Table the reference number of Tabular description in the corresponding Information Model document;

      III.            The 'XSD Reference' field refers to infrmation in the XSD descriptions (Section 5 in this document). The sub-fields are:

a.       Name the name of the field in the XSD(s)

b.      Type the type of XSD construct i.e. either a ComplexType or Element.

top | toc


4. WSDL File Documentation

WSDL file: "BulkDataExchangeManagementServiceSyncSingle.wsdl"

Target namespace: http://www.imsglobal.org/services/lis/bdems1p0/wsdl11/sync/imsbdems_v1p0

4.1 Overview

Services

BulkDataExchangeManagementServiceSyncService

Bindings

BulkDataExchangeManagerSyncSoapBinding

Port types

BulkDataExchangeManagerSyncPortType

Messages

announceBulkDataExchangeRequest, announceBulkDataExchangeResponse, announceFailureBulkDataExchangeRequest, announceFailureBulkDataExchangeResponse, reportBulkDataExchangeRequest, reportBulkDataExchangeResponse, requestBulkDataExchangeRequest, requestBulkDataExchangeResponse, ignoreBulkDataExchangeRequest, ignoreBulkDataExchangeResponse, cancelBulkDataExchangeRequest, cancelBulkDataExchangeResponse,

 

WSDL Definition

Name

Documentation

BulkDataExchangeManagementServiceSyncServices

WSDL File Information

Services: BulkDataExchangeManagementService (Synchronous Communications)

Author: Colin Smythe

Date: 30 June 2011

Version: Final 1.0

Status: Final Release

Description: The Bulk Data Exchange Management Service (BDEMS). This forms a part of the 1EdTech Learning Information Services (LIS) v2.0 specification.

History: Version 1.0: This is the first formal release of this service.

WSDL Binding: WSDL Binding is based upon the 1EdTech General Web Services Base Profile v1.0 The 1EdTech GWS Basic Profile is derived from the WS-I Basic Profile v1.1. This profile uses: WSDL 1.1, SOAP 1.1, HTTP 1.1 and XML 1.0. Extension profiles to the 1EdTech GWS Base Profile are available but are not supported using this tool version.

License: IPR, License and Distribution Notices

This machine readable file is derived from 1EdTech Consortium (GLC) specification 1EdTech Bulk Data Exchange Management Service Version 1.0 found at http://www.imsglobal.org/lis/bdemsv1p0/imsbdemsv1p0_BindPDv1.pdf and the original 1EdTech schema binding or code base http://www.imsglobal.org/lis/bdemsv1p0/imsbdemsv10_BindPDv1.html.

Recipients of this document are requested to submit, with their comments, notification of any relevant patent claims or other intellectual property rights of which they may be aware that might be infringed by the schema binding contained in this document.

1EdTech takes no position regarding the validity or scope of any intellectual property or other rights that might be claimed to pertain to the implementation or use of the technology described in this document or the extent to which any license under such rights might or might not be available; neither does it represent that it has made any effort to identify any such rights. Information on 1EdTech GLCs procedures with respect to rights in 1EdTech specifications can be found at the 1EdTech Intellectual Property Rights web page: http://www.imsglobal.org/ipr/imsipr_policyFinal.pdf.

Copyright 1EdTech Consortium 1999-2011. All Rights Reserved.

License Notice for Users

Users of products or services that include this document are hereby granted a worldwide, royalty-free, non-exclusive license to use this document.

Distribution Notice for Developers

Developers of products or services that are not original incorporators of this document and have not changed this document, that is, are distributing a software product that incorporates this document as is from a third-party source other than 1EdTech, are hereby granted permission to copy, display and distribute the contents of this document in any medium for any purpose without fee or royalty provided that you include this IPR, License and Distribution notice in its entirety on ALL copies, or portions thereof.

Developers of products or services that are original incorporators of this document and wish to provide distribution of this document as is or with modifications and developers of products and services that are not original incorporators of this document and have changed this document, are required to register with the 1EdTech community on the 1EdTech website as described in the following two paragraphs:-

  • If you wish to distribute this document as is, with no modifications, you are hereby granted permission to copy, display and distribute the contents of this document in any medium for any purpose without fee or royalty provided that you include this IPR, License and Distribution notice in its entirety on ALL copies, or portions thereof, that you make and you complete a valid license registration with 1EdTech and receive an email from 1EdTech granting the license. To register, follow the instructions on the 1EdTech website: http://www.imsglobal.org/specificationdownload.cfm. Once registered you are granted permission to transfer unlimited distribution rights of this document for the purposes of third-party or other distribution of your product or service that incorporates this document as long as this IPR, License and Distribution notice remains in place in its entirety;
  • If you wish to create and distribute a derived work from this document, you are hereby granted permission to copy, display and distribute the contents of the derived work in any medium for any purpose without fee or royalty provided that you include this IPR, License and Distribution notice in its entirety on ALL copies, or portions thereof, that you make and you complete a valid profile registration with 1EdTech and receive an email from 1EdTech granting the license. To register, follow the instructions on the 1EdTech GLC website: http://www.imsglobal.org/profile/. Once registered you are granted permission to transfer unlimited distribution rights of the derived work for the purposes of third-party or other distribution of your product or service that incorporates the derived work as long as this IPR, License and Distribution notice remains in place in its entirety.

The limited permissions granted above are perpetual and will not be revoked by 1EdTech or its successors or assigns.

THIS SPECIFICATION IS BEING OFFERED WITHOUT ANY WARRANTY WHATSOEVER, AND IN PARTICULAR, ANY WARRANTY OF NONINFRINGEMENT IS EXPRESSLY DISCLAIMED. ANY USE OF THIS SPECIFICATION SHALL BE MADE ENTIRELY AT THE IMPLEMENTERS OWN RISK, AND NEITHER THE CONSORTIUM NOR ANY OF ITS MEMBERS OR SUBMITTERS, SHALL HAVE ANY LIABILITY WHATSOEVER TO ANY IMPLEMENTER OR THIRD PARTY FOR ANY DAMAGES OF ANY NATURE WHATSOEVER, DIRECTLY OR INDIRECTLY, ARISING FROM THE USE OF THIS SPECIFICATION.

UML Source File Information

Choreography: Sync

Transport: SOAPv1.1

Source XSLT File Information

XSL Generator: UMLtoWSDLTransformv0p9.5.xsl

XSLT Processor: Xalan

Release: 1.0 Beta 4

Date: 31st March, 2011

1EdTech Auto-generation Binding Tool-kit (I-BAT)

This file was auto-generated using the 1EdTech Binding Auto-generation Tool-kit (I-BAT). While every attempt has been made to ensure that this tool auto-generates the files correctly, users should be aware that this is an experimental tool. Permission is given to make use of this tool. 1EdTech makes no claim on the materials created by third party users of this tool. Details on how to use this tool are contained in the 1EdTech "I-BAT" Documentation available at the 1EdTech web-site.

Tool Copyright: 2005-2011 (c) 1EdTech Consortium Inc. All Rights Reserved.

 

Services

Name

Documentation

BulkDataExchangeManagementServiceSyncService

Service Information

Author: Colin Smythe

Date: 30 June 2011

Version: Final 1.0

Status: Final Release

Description: The Bulk Data Exchange Management Service (BDEMS) is composed of a single interface. This service is a part of the 1EdTech Learning Information Services (LIS) v2.0 specification.

History: Version 1.0: This is the first formal release of this service.

 

Service : BulkDataExchangeManagementServiceSyncService

Port Name

Binding

Address Extensibility

Documentation

BulkDataExchangeManagerSyncSoapPort

BulkDataExchangeManagerSyncSoapBinding

<soap11:address location="http://www.imsglobal.org/lis/bdems1p0/BulkDataExchangeManagerSyncSoap/"/>

N/A

 

Binding : BulkDataExchangeManagerSyncSoapBinding

Port Type

BulkDataExchangeManagerSyncPortType

Extensibility

<soap11:binding transport="http://schemas.xmlsoap.org/soap/http" style="document"/>

Operations

announceBulkDataExchange, announceFailureBulkDataExchange, reportBulkDataExchange, requestBulkDataExchange, ignoreBulkDataExchange, cancelBulkDataExchange,

 

Port Type : BulkDataExchangeManagerSyncPortType

Operation Name

Input message

Output message

Documentation

announceBulkDataExchange

announceBulkDataExchangeRequest

announceBulkDataExchangeResponse

The 'announceBulkDataExchange' operation is used by a Service Provider to announce the availability of a bulk data obect that is ready for retrieval by Service Consumers. This call causes the suspension of real-time event notification.

announceFailureBulkDataExchange

announceFailureBulkDataExchangeRequest

announceFailureBulkDataExchangeResponse

The 'announceFailureBulkDataExchange' operation is used by a Service Provider to inform the Service Consumer that a previously issued, and acknowledged, 'requestBulkDataExchange' transaction cannot be serviced.

reportBulkDataExchange

reportBulkDataExchangeRequest

reportBulkDataExchangeResponse

The 'reportBulkDataExchange' operation is used by a Service Consumer to report to a Service Provider the retrieval of the bulk data object whose availability was announced previously. This causes real-time event processing to be restarted.

requestBulkDataExchange

requestBulkDataExchangeRequest

requestBulkDataExchangeResponse

The 'requestBulkDataExchange' operation is used by a Service Consumer to request a bulk data exchange from the Service Provider.

ignoreBulkDataExchange

ignoreBulkDataExchangeRequest

ignoreBulkDataExchangeResponse

The 'ignoreBulkDataExchange' operation is issued by a Service Consumer to inform the Service Provider that a previously issued anounce bulk data exchange request will be ignored. This causes real-time event processing to be restarted in the Provider and Consumer.

cancelBulkDataExchange

cancelBulkDataExchangeRequest

cancelBulkDataExchangeResponse

The 'cancelBulkDataExchange' operation is issued by a Service Consumer to inform the Service Provider that a previously issued bulk data exchange request is now cancelled. This causes real-time event processing to be restarted in the Provider and Consumer.

 

4.2 Messages

announceBulkDataExchangeRequest

Part Name

Element

Type

Documentation

Parameters

tns:announceBulkDataExchangeRequest

N/A

N/A

HeaderInfoParameters

tns:imsx_syncRequestHeaderInfo

N/A

N/A

imsx_epaRequestHeaderInfoRequest

epa:imsx_epaRequestHeaderInfo

N/A

N/A

 

announceBulkDataExchangeResponse

Part Name

Element

Type

Documentation

Response

tns:announceBulkDataExchangeResponse

N/A

N/A

HeaderInfoResponse

tns:imsx_syncResponseHeaderInfo

N/A

N/A

 

announceFailureBulkDataExchangeRequest

Part Name

Element

Type

Documentation

Parameters

tns:announceFailureBulkDataExchangeRequest

N/A

N/A

HeaderInfoParameters

tns:imsx_syncRequestHeaderInfo

N/A

N/A

imsx_epaRequestHeaderInfoRequest

epa:imsx_epaRequestHeaderInfo

N/A

N/A

 

announceFailureBulkDataExchangeResponse

Part Name

Element

Type

Documentation

Response

tns:announceFailureBulkDataExchangeResponse

N/A

N/A

HeaderInfoResponse

tns:imsx_syncResponseHeaderInfo

N/A

N/A

 

reportBulkDataExchangeRequest

Part Name

Element

Type

Documentation

Parameters

tns:reportBulkDataExchangeRequest

N/A

N/A

HeaderInfoParameters

tns:imsx_syncRequestHeaderInfo

N/A

N/A

imsx_epaRequestHeaderInfoRequest

epa:imsx_epaRequestHeaderInfo

N/A

N/A

 

reportBulkDataExchangeResponse

Part Name

Element

Type

Documentation

Response

tns:reportBulkDataExchangeResponse

N/A

N/A

HeaderInfoResponse

tns:imsx_syncResponseHeaderInfo

N/A

N/A

 

requestBulkDataExchangeRequest

Part Name

Element

Type

Documentation

Parameters

tns:requestBulkDataExchangeRequest

N/A

N/A

HeaderInfoParameters

tns:imsx_syncRequestHeaderInfo

N/A

N/A

imsx_epaRequestHeaderInfoRequest

epa:imsx_epaRequestHeaderInfo

N/A

N/A

 

requestBulkDataExchangeResponse

Part Name

Element

Type

Documentation

Response

tns:requestBulkDataExchangeResponse

N/A

N/A

HeaderInfoResponse

tns:imsx_syncResponseHeaderInfo

N/A

N/A

 

ignoreBulkDataExchangeRequest

Part Name

Element

Type

Documentation

Parameters

tns:ignoreBulkDataExchangeRequest

N/A

N/A

HeaderInfoParameters

tns:imsx_syncRequestHeaderInfo

N/A

N/A

imsx_epaRequestHeaderInfoRequest

epa:imsx_epaRequestHeaderInfo

N/A

N/A

 

ignoreBulkDataExchangeResponse

Part Name

Element

Type

Documentation

Response

tns:ignoreBulkDataExchangeResponse

N/A

N/A

HeaderInfoResponse

tns:imsx_syncResponseHeaderInfo

N/A

N/A

 

cancelBulkDataExchangeRequest

Part Name

Element

Type

Documentation

Parameters

tns:cancelBulkDataExchangeRequest

N/A

N/A

HeaderInfoParameters

tns:imsx_syncRequestHeaderInfo

N/A

N/A

imsx_epaRequestHeaderInfoRequest

epa:imsx_epaRequestHeaderInfo

N/A

N/A

 

cancelBulkDataExchangeResponse

Part Name

Element

Type

Documentation

Response

tns:cancelBulkDataExchangeResponse

N/A

N/A

HeaderInfoResponse

tns:imsx_syncResponseHeaderInfo

N/A

N/A

 

NOTE: Each of the SOAP request messages includes the end-point addressing SOAP header (this should be optionally supplied).

top | toc


5. XSD File Documentation

The XSD file documentation has been produced by the Oxygen XML Editing tool.

5.1 Service Data Model

Click on the Section header to access this documentation for the data models in the service description.

5.2 File Data Model

Click on the Section header to access this documentation for the data models for file-based storage.

top | toc


6. Binding of the Vocabularies

The vocabularies in the BDEMS are:

  • Parameter type vocabulary the set of values for the type of parameter that are permitted for the bulk data exchange data model. The PSM for the vocabulary is shown in Figures 6.1a, 6.1b, 6.1c and 6.1d;
  • Transaction fail status code vocabulary the set of values for the failure codes for transactions in the bulk data exchange management service. The PSM for the vocabulary is shown in Figures 6.2a and 6.2b;
  • Announce failure report vocabulary the set of values for the failure report codes for an announce request in the bulk data exchange management service. The PSM for the vocabulary is shown in Figure 6.3;
  • Filter types vocabulary the set of values for the filter types in a request in the bulk data exchange management service. The PSM for the vocabulary is shown in Figures 6.4a and 6.4b;
  • Filter values for an object filter type vocabulary the set of values for the filter values of a filter type of 'object' in a request in the bulk data exchange management service. The PSM for the vocabulary is shown in Figure 6.5.

These vocabularies are the default set maintained under the 1EdTech Vocabulary Registry [SDN11, 06]. It is the responsibility of an implementation to ensure that it is using the correct and latest versions of the vocabulary files. Changes to the default vocabularies are permitted; this results in the creation of a new vocabulary that should be registered with 1EdTech GLC. As part of a profiling process entirely new vocabularies may be defined to replace the default set.

Figure 6.1a The PSM representation of the parametertype vocabulary for the BDEMS.

Figure 6.1b The PSM representation of the parametertype vocabulary for the BDEMS.

Figure 6.1c The PSM representation of the parametertype vocabulary for the BDEMS.

Figure 6.1d The PSM representation of the parametertype vocabulary for the BDEMS.

Figure 6.2a The PSM representation of the transactionfailstatus vocabulary for the BDEMS.

Figure 6.2b The PSM representation of the transactionfailstatus vocabulary for the BDEMS.

Figure 6.3 The PSM representation of the announcefailurereport vocabulary for the BDEMS.

Figure 6.4a The PSM representation of the filtertype vocabulary for the BDEMS.

Figure 6.4b The PSM representation of the filtertype vocabulary for the BDEMS.

Figure 6.5 The PSM representation of the filtervalueobject vocabulary for the BDEMS.

top | toc


Appendix A - Listing of the WSDLs

The WSDL bindings are for a Synchronous SOAP implementation only. The WSDL files, expressed using WSDLv1.1, are:

These files were generated by the I-BATv0.9.5 tool using the PSM representation described in Section 2.

top | toc


Appendix B - Listing of the XSDs

The XSD files are:

This file was generated by the I-BATv0.9.5 tool using the PSM representation described in Section 2. Documentation of the XSDs is supplied in Section 5.

top | toc


Appendix C - Vocabulary VDEX Instance File Listings

The BDEMS vocabularies are:

These vocabularies are each expressed as an instance of the 1EdTech Vocabulary Data Exchange (VDEX) v1.0 specification. Documentation of the vocabulary is supplied in Section 6. The online versions of these vocabularies are available in the directory: http://www.imsglobal.org/vdex/lis/bdemsv1p0/.

top | toc


Appendix D - Example SOAP Messages

The set of examples for the SOAP messages are listed in Table D.1. The messaging pattern is a Request/Response exchange to support the Synchronous Service definition.

Table D.1 The set of SOAP message examples for each operation.

NOTE: The above examples do not demonstrate the use of the end-point addressing SOAP header.

top | toc


About This Document

Title

1EdTech Bulk Data Exchange Management Service WSDL/XSD Binding

Editor

Colin Smythe (1EdTech)

Co-Chairs

Linda Feng (Oracle), Bill Lee (Desire2learn)

Version

1.0.1

Version Date

30 Septemer 2013

Status

Final Release

Summary

This document contains the description of the 1EdTech Bulk Data Exchange Management Service v1.0.1 WSDL/XSD binding. This service is used to exchange bulk data by reference to an exernal data file. This document contains the definition of the corresponding Web Service based upon SOAP/HTTP messaging.

Revision Information

Original release.

Purpose

This document is made available for adoption by the public community at large.

Document Location

http://www.imsglobal.org/lis/

top | toc


List of Contributors

The following individuals contributed to the development of this document:

Name

Organization

Kerry Blinco

DEEWR (Australia)

Kirk Bunte

SungardHE (USA)

Angus Chan

Desire2learn (Canada)

Adam Cooper

JISC (UK)

Michael De Ridder

Desire2Learn (Canada)

Michael Feldstein

Cengage (USA)

Linda Feng

Oracle (USA)

John Fontaine

Blackboard (USA)

Chris Hatton

Pearson (USA)

Karen Kuffner

University of Michigan (USA)

Zack Leavitt

eCollege (USA)

Bill Lee

Desire2learn (Canada)

Richard Moon

SungardHE (USA)

Phil Nicholls

Psydev Ltd (UK)

Mike Parkhill

Desire2learn (Canada)

Colin Smythe

1EdTech Consortium, Inc.

Reinhold Staudinger

Blackboard (USA)

top | toc


Revision History

Version No.

Release Date

Comments

BDEMS Final Release 1.0

30 June 2011

The first formal release of the Final Release version of this document.

BDEMS Final Release 1.0.1

30 September 2013

Corrections

 

 

 

top | toc


1EdTech Consortium, Inc. (“1EdTech”) is publishing the information contained in this document (“Specification”) for purposes of scientific, experimental, and scholarly collaboration only.

1EdTech makes no warranty or representation regarding the accuracy or completeness of the Specification.

This material is provided on an “As Is” and “As Available” basis.

The Specification is at all times subject to change and revision without notice.

It is your sole responsibility to evaluate the usefulness, accuracy, and completeness of the Specification as it relates to you.

1EdTech would appreciate receiving your comments and suggestions.

Please contact 1EdTech through our website at http://www.imsglobal.org.

Please refer to Document Name: 1EdTech BDEMS v1.0.1 WSDL/XSD Binding Final Release
Date: 30 September 2013.