![]() |
1EdTech Common Cartridge Profile
|
|
Date Issued: |
1 October 2008 |
|
Latest Version: |
|
|
|
|
|
IPR and Distribution Notices Recipients of this document are requested to submit, with their comments, notification of any relevant patent claims or other intellectual property rights of which they may be aware that might be infringed by any implementation of the specification set forth in this document, and to provide supporting documentation. 1EdTech takes no position regarding the validity or scope of any intellectual property or other rights that might be claimed to pertain to the implementation or use of the technology described in this document or the extent to which any license under such rights might or might not be available; neither does it represent that it has made any effort to identify any such rights. Information on 1EdTech's procedures with respect to rights in 1EdTech specifications can be found at the 1EdTech Intellectual Property Rights web page: /imsipr_policyFinal.pdf. Copyright ) 2008 1EdTech Consortium. All Rights Reserved. Permission is granted to all parties to use excerpts from this document as needed in producing requests for proposals. Use of this specification to develop products or services is governed by the license with 1EdTech found on the 1EdTech website: /license.html. The limited permissions granted above are perpetual and will not be revoked by 1EdTech or its successors or assigns. THIS SPECIFICATION IS BEING OFFERED WITHOUT ANY WARRANTY WHATSOEVER, AND IN PARTICULAR, ANY WARRANTY OF NONINFRINGEMENT IS EXPRESSLY DISCLAIMED. ANY USE OF THIS SPECIFICATION SHALL BE MADE ENTIRELY AT THE IMPLEMENTER'S OWN RISK, AND NEITHER THE CONSORTIUM, NOR ANY OF ITS MEMBERS OR SUBMITTERS, SHALL HAVE ANY LIABILITY WHATSOEVER TO ANY IMPLEMENTER OR THIRD PARTY FOR ANY DAMAGES OF ANY NATURE WHATSOEVER, DIRECTLY OR INDIRECTLY, ARISING FROM THE USE OF THIS SPECIFICATION. |
|
Executive Summary
The Common Cartridge defines an open format for the distribution of rich, web-based content. It is designed to ensure the correct installation and operation of content across any Common Cartridge conformant platforms and tools. The specification defines a profile for the use of the following specifications which are (in the versions adopted here), already widely implemented and in use across the community:
- IEEE LOM encompassing:
- ISO 15836:2003: Dublin Core Metadata Element Set (mapped to the corresponding elements in LOM) [DC, 03]
- IEEE 1484.12.1-2002: Learning Object Metadata [IEEE LOM, 02]
- IEEE 1484.12.3-2005: LOM Schema binding (loose binding) [IEEE LOM, 05]
- 1EdTech Content Packaging v1.2 [CP, 07]
- 1EdTech Question & Test Interoperability v1.2.1 [QTI, 03]
- 1EdTech Authorization Web Service v1.0 [CC, 08b]
The LOM, Content Packaging and Question & Test Interoperability specifications have each been profiled to simplify their use. Thus their scope has been constrained to those features commonly implemented and in use by the community. Experience suggests that interoperability problems that have arisen with implementations of these specifications are frequently the result of differing interpretations of the specs and options being taken that lead to divergence in behavior. A key goal of the Common Cartridge specification therefore has been to provide a tighter definition of their use thus eliminating this divergence. The resulting profile also lends itself to more effective conformance testing of implementations.
Additional features offered by the Common Cartridge include:
- A new resource type for initiating discussion forum interactions.
- Inclusion of a question bank (i.e., a QTI objectbank), offering tutors additional questions to those contained within the pre-configured assessments, which they can configure around the core material.
- Optional authorization to protect either the whole cartridge, or selected cartridge resources (see the accompanying 1EdTech Authorization Web Service v1.0 specification [CC, 08b]).
-
The present versions of the specifications supported under Common Cartridge have been selected to offer existing implementations a low barrier to adoption of the Common Cartridge. It is to be anticipated that as new versions of these specifications achieve widespread adoption, they in turn will be adopted thus further enhancing the features supported in future versions of the Common Cartridge.
1. Introduction
1.1 Scope and Context
1.1.1 Approach
-
This specification constitutes a profile of the following, existing specifications:
- IEEE LOM encompassing:
- ISO 15836:2003: Dublin Core Metadata Element Set (mapped to the corresponding elements in LOM) [DC, 03]
- IEEE 1484.12.1-2002: Learning Object Metadata [IEEE LOM, 02]
- IEEE 1484.12.3-2005: LOM Schema binding (loose binding) [IEEE LOM, 05]
- 1EdTech Content Packaging v1.2 [CP, 07]
- 1EdTech Question & Test Interoperability v1.2.1 [QTI, 03]
- 1EdTech Authorization Web Service v1.0 [CC, 08b]
-
The profile has been developed in accordance with the 1EdTech Application Profile Guidelines v1.0, using the 1EdTech SchemaProf tool v1.0.
The driving motivation behind this work has been to communicate clearly and unambiguously how the above collection of specifications can be harnessed to distribute rich web content in a format offering a high degree interoperability across platforms. The approach followed has centered on;
- eliminating implementation options from the adopted base schemas;
- removing unwanted extensibility;
- focusing on commonly used features and eliminating those rarely used;
- further constraining permitted data in supported element (e.g., in terms of type, value ranges, vocabularies).
-
The resulting Common Cartridge profile should be easier for developers to implement and lends itself to more routine conformance testing of these implementations.
1.1.2 Technology
-
Simplifications applied to the Common Cartridge format include:
- Meta-data is only mandated at the cartridge level by the CC profile (located in the root folder). Optionally, roles meta-data can be applied within the manifest to define which categories of users have access to particular resources.
- Inter-package links are not supported
- Common Cartridge meta-data only uses the 15 elements from DCMI v1.1 (Simple DC)
- Assessments have been simplified to just the six (6) most commonly used QTI question types:
- Multiple choice (single response)
- Multiple choice (multiple response)
- True/false
- Essay
- Simple fill in the blank
- Pattern match
-
However, the format has also been enriched with the addition of:
- Cartridge support for authorization data (also see the Authorization Web Service specification [CC, 08b])
- Addition of discussion forum initialization
1.1.3 Deployment

Figure 1.1 Common Cartridge Focus.
-
The primary focus of the Common Cartridge specification is achieving error-free import of content into any conforming LMS platform (see Figure 1.1). No runtime model is expressed, but any conforming LMS must support (either directly, or via a call-out to a suitable external service) all of the functionality implied by the Common Cartridge schema set. In particular, a conforming LMS must fully implement the Authorization web service. The cartridge can optionally require the following forms of authorization:
- Authorization on import - licensed site
- Authorization of learner runtime access - applied to package or item.
1.2 Structure of this document
The structure of this document is as follows:
|
2. Use Cases |
Describes the following use cases which have driven the development:
|
|
3. Architecture & Approach |
Provides coverage of the cartridge structure and supported resource types. |
|
4. Common Cartridge Information Model Profiles |
Documents the UML corresponding to the Common Cartridge profile schema set, along with xml extracts to demonstrate how features are to be implemented... |
|
5. Implementation Guidelines & Best Practice |
Offers further advice on implementation issues, in particular addressing examples of valid Common Cartridge file structures. |
|
6. Conformance |
Summarizes how conformance of implementations against the specification will be evaluated. |
|
Appendix A - Profile XSDs |
The URL for downloading the CC WSDL/XSD files |
|
Appendix B - Profile Schema Package |
The full set of files that define the Common Cartridge Application Profile. |
|
Appendix C - CC Changes to Profiled Base Schemas |
The changes to the profiled base schemas for Common Cartridge. |
|
Appendix D - CC Schematron Rules for the Profiled Content Packaging v1.2 Schema |
The CC documents that describe the schematron rules applied to the CPv1.2 schema for the CC CP profile. |
1.3 References
|
[CC, 08b] |
1EdTech Common Cartridge (CC) Authorization Web Service v1.0 Final Specification, K.Riley, D.Mills, 1EdTech GLC, October 2008. |
|
[IEEE LOM, 02] |
IEEE Learning Object Metadata (1484.12.1-2002). |
|
[IEEE LOM, 05] |
IEEE LOM Schema Binding (1484.12.3-2005). |
|
[DC, 03] |
Dublin Core Metadata Element Set, Version 1.1 (ISO 15836:2003). |
|
[CP, 07] |
1EdTech Content Packaging (CP) v1.2 Specification, 1EdTech GLC, 2007. |
|
[QTI, 03] |
1EdTech Question & Test Interoperability (QTI) v1.2.1 Final Specification, 1EdTech GLC, March, 2003. |
1.4 Definitions
|
Term |
Definition |
|---|---|
|
Access Code |
A code used to authorize user access to a protected resource, in this case a Common Cartridge or a discrete component thereof. |
|
Associated Content |
A resource type that includes a collection of files used by a specific Learning Application Object. Each file referenced must exist in the directory containing the descriptor file of the Learning Application Object with which it is associated or any subdirectory thereof. A resource of the type "associatedcontent" must comply with the following restrictions: 1. It must contain a file element for each file that exists in the directory that contains the associated Learning Application Object's descriptor file or any of its subdirectories. 2. It must not contain any references to files above the directory containing the associated Learning Application Object's descriptor file. 3. It must not contain any dependency elements. |
|
Common Cartridge |
A content packaging profile agreed between content providers and LMS providers, offering a common format for the distribution of both open and access protected content. The profile harnesses Content Packaging, LOM Metadata, and QTI, augmented with a specification for simple access control. |
|
Content Elements |
Discrete content elements within a Learning Activity aggregate as part of a Learning Application Object or module (lesson). |
|
Course Content Package |
A term for any current proprietary LMS specific, publisher developed and sourced, content package that is made commercially available via the publisher or LMS vendor to its customer base. Examples of such cartridges are the WebCT ePack, Blackboard Course Cartridge etc. |
|
Deployment Context |
Any one of the LMS deployment and learning contexts made available for online access to learning activity via learning modules, Learning Application Objects and content element interaction. |
|
Descriptor File |
The file that serves as the entry point for accessing the information about a Learning Application Object required to import the Learning Application Object into the target system. Generally an XML file meeting an appropriate file specification based on the type of Learning Application Object. However, in some cases, the file may be a zip archive or some other structured file format. The descriptor file is not intended to be displayed within the target system. Rather, it is intended to be processed by the target system upon import of the cartridge. The descriptor file is associated with a Learning Application Object by means of a "file" element. |
|
Directory |
A physical folder in a content package archive. |
|
Learning Activity |
A general term for describing an online learning experience and interaction with learning modules, Learning Application Objects and content elements typically composed to deliver a particular outcome or experience for the Student. |
|
Learning Application Object |
Any one of a number of resource types that require additional processing and interpretation before they can be imported and subsequently represented within the target system. Physically, a Learning Application Object consists of a directory in the content package containing a descriptor file and optionally additional files and subdirectories used exclusively by that Learning Application Object. Each Learning Application Object must have a corresponding resource element in the manifest. Examples of Learning Application Objects include QTI assessments, Discussion Forums, etc. The type attribute of the resource element is prescribed by the type of Learning Application Object being represented. If additional files beyond the Learning Application Object's descriptor file exist in the Learning Application Object's directory or any of its subdirectories, these files must be represented in a resource element of type "associatedcontent" which is list as a dependency within the Learning Application Object's resource element. A resource that represents a Learning Application Object has the following general restrictions: 1. It must contain a file element that points to the Learning Application Object's descriptor file. 2. It must not contain any other file elements. 3. If additional files exist in the directory containing the Learning Application Object's descriptor file, or any of its subdirectories, the resource must contain a dependency element that references the resource of type "associatedcontent" which contains the references to these files. 4. It must not contain any other dependency elements of type "associatedcontent". 5. It may contain any number of dependency elements that reference resources of type "webcontent". |
|
Learning Management System |
A Learning Management System (LMS) is a computer application that enables the assignment of content to learners, learning, and the reporting of learning outcomes. This is used interchangeably with Course Management System, Managed Learning Environment and a host of other terms. |
|
Learning Module |
An aggregate of content and/or application functionality that represents or is part of a learning activity. |
|
Target System |
A Learning Management System (LMS) or similar system into which a package is to be imported. |
|
webcontent |
The standard resource type for content packages. Static web resource that is generally supported on the web such as HTML files, GIF images, JPEG images, PDF documents, etc. Resources of the type "webcontent" may reference any number of files. Additionally, "webcontent" resources may include dependencies on other "webcontent" resources. A resource of the type "webcontent" must comply with the following restrictions: 1. It may contain a file element for any file that exists in the package so long as the file is not in a Learning Application Object directory or a subdirectory of any Learning Application Object directory. 2. It may contain dependency elements that reference any other resources of type "webcontent". It must not contain any dependency elements to resources whose type is not "webcontent". |
2. Use Cases
2.1 Use Case Scope
2.1.1 Affected Roles and Definitions
Table 2.1 Common Cartridge User Roles.
|
Role |
Definition |
|---|---|
|
Student |
LMS Learner |
|
Instructor |
LMS Faculty member leading the course/learning activity. Includes Teaching Assistants or equivalent where applicable. |
|
Instructional Designer |
LMS course/program designer responsible for creating and maintaining online learning materials/content. Often, the same person has Instructor role. |
|
Administrator |
LMS course, program, group administrator with ownership and privileges to access and maintain administrative elements of the LMS within a particular context. |
|
LMS |
Learning Management System (LMS) -- as defined in Glossary. |
2.2 CC Package Import
|
Use Case 1 |
CC Package Import |
|---|---|
|
Level |
Summary |
|
Primary Actor(s) |
Instructor, LMS |
|
Secondary Actor(s) |
Administrator |
|
Trigger |
Instructor needs to import a cartridge to use its content either wholly or as selective, individual content modules or elements. |
|
Preconditions |
|
|
Success Post-condition |
|
|
Failure Post-condition |
|
|
Main Success Scenario |
1. Instructor obtains a cartridge (the provisioning and acquisition processes are not defined by this specification). 2. Instructor accesses the LMS-provided tool for cartridge import. 3. LMS reads package and generates private (implementation dependent, proprietary) data structures to store the content and structure defined in the cartridge data. 4. Cartridge data is integrated into a deployment context within the LMS. |
|
Variations |
2.1 LMS provides an "import gate" requiring PIN authentication for the cartridge to import. This is independent of the 2.3 Authorization use case, which implies "on learner/item use" authorization. This implies that authorization meta-data in the package has a discriminator for the type and granularity of authorization, e.g., "on import", "on package use", or "on item use". 3.1 LMS provides a list of material in the cartridge for selective import. The LMS may or may not provide preview capabilities. Because cartridges and contained resources may contain arbitrarily complex data and dependencies, such preview will be very limited. 3.2 Instructor selects items for import. 3.3 LMS imports selected items, ensuring that any required dependencies are met. E.g., an assessment that retrieves questions from an question bank must ensure that the question bank is imported, even if the Instructor did not specifically select the question bank. 4.1 Import may require an expensive, non-interactive process, so errors that affect the integrity of the cartridge will be logged for review. The format and available end user actions are LMS dependent. |
|
Exception Conditions |
|
2.3 Authorization
|
Use Case 2 |
Authorization |
|---|---|
|
Level |
Summary |
|
Primary Actor(s) |
Student |
|
Secondary Actor(s) |
Instructor, LMS |
|
Trigger |
An actor requests a restricted interaction with the cartridge. |
|
Preconditions |
|
|
Success Post-conditions |
|
|
Failure Post-conditions |
|
|
Main Success Scenario |
1. Learner navigates to LMS representation of course populated with Cartridge material. 2. LMS checks for record of previous Learner authorization. 3. If no record exists, LMS provides a prompt for entry of a simple access control token. The distribution of the tokens is out of scope for this specification. 4. LMS processes token, asserting the validity against an authorizing authority. The authorization algorithm is authorization server dependent and out of scope for this specification. The specification only defines "when" authorization is to occur, and at what level (package or for each "protected" item). A valid cartridge must use CC authorization were authorization is stipulated in a cartridge. |
|
Variations |
1.1 Learner navigates to a specific item that requires authorization, and is keyed to trigger "per item" authorization. 2.1 LMS evaluates any expiration rules for authorization that might be defined in the cartridge or stored with the authorization record. |
|
Exception Conditions |
|
2.4 Execution of Static Content
|
Use Case 3 |
Execution of Static Content |
|---|---|
|
Level |
Summary |
|
Primary Actor(s) |
LMS |
|
Secondary Actor(s) |
Instructor, Student |
|
Trigger |
Actor accesses LMS navigational context requiring cartridge data to be rendered. |
|
Preconditions |
|
|
Success Post-conditions |
|
|
Failure Post-conditions |
|
|
Main Success Flow |
1. Learner navigates to LMS context containing cartridge materials. 2. LMS renders both LMS defined and cartridge defined navigation elements (links, directories, tree-view, "next" option, etc.). 3. Learner activates link requiring display. 4. LMS creates a suitable display element (e.g., new window, frameset) that includes a client-accessible moniker for the resource (e.g., a URL to load the resource. |
|
Variations |
4.1 Resource (resource element and associated files) contains links to other components within the same resource. The LMS is responsible for maintaining the file system of the resource so that relative URIs are automatically de-referenced. If the LMS translates the file system, either at cartridge deployment time or content delivery time, it must do so in a way that is transparent to content authors. For this reason, inter-content linking between arbitrary content types is out of scope, because many kinds of resources will require LMS-dependent URI generation. E.g., a QTI XML file will most likely require a LMS-generated URI for launch. For the LMS to parse and replace content references is likely to be extremely fragile, even for common "web" data types, such as PDF or Shockwave data. |
|
Exception Conditions |
|
2.5 Execution of Dynamic Content - Client-side
|
Use Case 4(a) |
Execution of Dynamic Content - Client-side |
|---|---|
|
Level |
Summary |
|
Primary Actor(s) |
Student (LMS Learner) |
|
Secondary Actor(s) |
Instructor, Instructional Designer, LMS |
|
Trigger |
Student needs to access and complete a Learning Activity that is:
|
|
Preconditions |
|
|
Success Post-conditions |
|
|
Failure Post-conditions |
|
|
Main Success Flow |
1. Student visits a Deployment Context containing a Learning Activity instance. 2. Student initiates a navigation event triggering start of (i.e. sequence beginning) or entry into a specific learning module (e.g., clicks on the learning activity/module table of contents (TOC) element or directly on an embedded link to an element rendered by the LMS). 3. LMS learning activity run-time interprets the trigger navigation request and loads/recalls/interprets from internal cache or repository the associated learning module, Learning Application Object or content element instance required. 4. LMS learning activity run-time invokes the appropriate client-side viewer/player component and passes to it the context and/or content stream or reference of the learning module to be presented the user/Learner via the client-side viewer/player. 5. LMS learning activity run-time passes control with established context to the client-side viewer-player to then control the presentation of and interaction with the learning module to Student. 6. LMS authenticates/authorizes any implicit or explicit security assertions required to access or interact with the learning module and any of its contained elements as part of the interaction. 7. Student initiates and interacts with learning module and performs the required Learning Application Object interaction and content review so a to complete the activity and derive any outcome expected from the interaction. 8. Student completes the interaction with the learning module representing all or part of the original Learning Activity. 9. Upon completion of the interaction, any residual outcome is captured by the viewer-player and marshaled back to the LMS learning activity run-time. 10. LMS Learning Activity run-time dismisses the viewer-player context for the completed learning module interaction. 11. The Student/user is returned to the originating context in a state to proceed with the next Learning Activity interaction based on selective choice by Student and/or automated target based on some predefined sequence or prior outcome affected specific target. |
|
Variations |
|
|
Exception Conditions |
|
2.6 Execution of Dynamic Content - Server-side
|
Use Case 4(b) |
Execution of Dynamic Content - Server-side |
|---|---|
|
Level |
Summary |
|
Primary Actor(s) |
Student (LMS Learner) |
|
Secondary Actor(s) |
Instructor, Instructional Designer, LMS |
|
Trigger |
Student needs to access and complete a Learning Activity that is:
|
|
Preconditions |
|
|
Success Post-conditions |
|
|
Failure Post-conditions |
|
|
Main Success Flow |
1. Student visits a Deployment Context containing a Learning Activity instance. 2. Student initiates a navigation event triggering start of (i.e., sequence-beginning) or entry into a specific learning module (e.g., clicks on the learning activity/module table of contents (TOC) element or directly on an embedded link to an element rendered by the LMS). 3. LMS learning activity run-time interprets the trigger navigation request and loads/recalls/interprets from internal cache or repository the associated learning module, Learning Application Object or content element instances required. 4. LMS authenticates/authorizes any implicit or explicit security assertions required to access or interact with the learning module and any of its contained elements as part of the interaction. 5. LMS learning activity run-time establishes the presentation and interaction context for the requested learning module so as to manage and control the end-user Student interaction. 6. Student initiates and interacts with learning module and performs the required Learning Application Object interaction and content review so as to complete the activity and derive any outcome expected from the interaction. 7. Student completes the interaction with the learning module representing all or part of the original Learning Activity. 8. Upon completion of the interaction, any residual outcome is captured by the LMS learning activity run-time. 9. LMS learning activity run-time dismisses the presentation context for the completed learning module. 10. The Student/user is returned to the originating context in a state to proceed with the next Learning Activity interaction based on selective choice by Student and/or automated target based on some predefined sequence or prior outcome affected specific target. |
|
Variations |
|
|
Exception Conditions |
|
3. Architecture and Approach
3.2 Content Types

Figure 3.2 Common Cartridge Content Types.
The following describes the content types supported by the Common Cartridge specification v1.0.
Table 3.1 Common Cartridge Content Types.
|
Entity |
Description |
|---|---|
|
Item - Folder |
A folder represents a unit of organization. A folder is simple collection of items and subfolders that are placed in a specific order (1st, 2nd, 3rd, etc.). Folders can contain other Folders (n-level nesting). A folder represents a content presentation paradigm and can be used to define how the content should be organized and presented to the learner. |
|
Resource - Web Content |
Web Content files include any files that are widely supported for delivery over the web. These could include HTML files, images, audio, video, MS Office, PDF, Flash etc.
HTML files may include references to other web content files that are contained within the cartridge or that are external to the cartridge. |
|
Resource - Web Link |
A Web Link is a Learning Application Object representation of a standard HTTP link. It extends a standard HTTP link by giving the link a title (which is independent of its usage in any particular folder location). It also includes attributes that describe which window the resource should be opened in and other window open features, such as the dimensions of the window. |
|
Resource - Discussion Topic |
A Discussion topic is a Learning Application Object that is used to initiate Discussion activity. This represents a placeholder for a discussion topic and does not represent a link to an existing discussion topic in an external system. The importing LMS is expected to generate a new discussion topic using only its internal tools. It contains the following attributes: title, description, file attachments. |
|
Resource - Assessment |
An assessment represents an instance of a QTI assessment. It can embed any of the question types supported by the CC v1.0 profile of QTI. An assessment can contain a number of attributes including number of attempts, time limit and whether late submission is allowed. |
|
Resource - Associated Content |
A collection of files used exclusively by an individual Learning Application Object |
|
Intra-Package Reference |
Intra-Package References allow Learning Application Objects or files in the package to reference other files within the package. |
|
1EdTech CC Package Meta-data |
This is 1EdTech CC Package level specific meta-data that may include different elements covering licensing, accessibility, description, etc. |
|
Question Bank |
A question bank represents an instance of a QTI objectbank. Only one question bank can optionally be included in a cartridge. It can embed any of the question types supported by the CC v1.0 profile of QTI. Questions within a question bank cannot be referenced by any assessments contained in the cartridge. |
-
Common Cartridge v1.0 supports profiled instances of the following question types:
- Multiple Choice - single response
- Multiple Response - like multiple choice but with multiple correct answers
- True/False
- Simple Fill in the Blanks - provides single answer box with single correct answer
- Fill in the Blanks Pattern Match - provides single answer box but supports `contains' and regular expressions
- Essay
-
Questions can only be included in a cartridge either as components of an assessment resource or a question bank resource.
In general, a question consists of the following elements:
- Question Label/Title
- Question Text (may include HTML, Intra-Packages References, URLs, formatting)
- Question Answer Choices (may include HTML, Intra-Packages References, URLs, formatting, images, video, audio)
- Question Answer Choice Points
- Feedback (may include HTML, Intra-Packages References, URLs, formatting, images, video, audio)
- Question Answer Presentation Settings
- Question Hints (may include HTML, Intra-Packages References, URLs, formatting, images, video, audio)
- Question Settings (e.g., time, etc.)
- Question Meta-data.
3.3 Common Cartridge Package Interchange File Structure
The diagram in Figure 3.3 shows the overall layout of the cartridge package interchange file.

Figure 3.3 Common Cartridge package interchange file.
3.3.1 Categories of Resource in a Common Cartridge
In addition to the imsmanifest.xml file, there are a further three basic categories of resource file in a Common Cartridge.
Table 3.2 Common Cartridge Resource Categories.
|
Resource Category |
Description |
|---|---|
|
imsmanifest.xml |
|
|
Web Content Resources |
|
|
Learning Application Object Resources |
|
|
Using Directories in Package Interchange File |
|
-
Associated Content resources include a collection of files used by a specific Learning Application Object. Each file referenced must exist in the directory containing the descriptor file of the Learning Application Object with which it is associated or any subdirectory thereof. Furthermore, each Associated Content resource must be associated with one and only one Learning Application Object. This association is indicated by use of a dependency reference on the Learning Application Object's resource element.
A resource of the type "associatedcontent" must comply with the following restrictions:
- It must contain a file element for each file that exists in the directory that contains the associated learning application object's descriptor file or any of its subdirectories.
- It must not contain any references to files above the directory containing the associated learning application object's descriptor file.
- It must not contain any dependency elements.
-
Web Content resources include any number of references to static web resources that are generally supported on the web such as HTML files, GIF images, JPEG images, PDF documents, etc. Resources of the type "webcontent" may reference any number of files. Additionally, "webcontent" resources may include dependencies on other "webcontent" resources. However, "webcontent" resources may never contain dependencies on any other resource types including Associated Content resources and Learning Application Object resources.
A resource of the type "webcontent" must comply with the following restrictions:
- It may contain a file element for any file that exists in the package so long as the file is not in a learning application object directory or a subdirectory of any learning application object directory.
- It may contain dependency elements that reference any other resources of type "webcontent".
- It must not contain any dependency elements to resources whose type is not "webcontent".
Table 3.3 Restrictions on Resource Categories.
|
Dependency Resource Type |
Learning Application Resource |
Associated Content Resource |
Web Content Resource |
|---|---|---|---|
|
Web Content |
0-N |
0-N |
0-N |
|
Associated Content |
0-11 |
Prohibited |
Prohibited |
|
Learning Application |
Prohibited |
Prohibited |
Prohibited |
3.3.2 Cartridge Level Web Content
These are web content resources that may be shared between different Learning Application Objects within the cartridge.
References to files in this file system from Learning Application Object files must utilize relative paths e.g.:
"../filename"
3.3.3 Learning Application Object Directories
(<root>/learningApplicationResourceDirectory1... learningApplicationResourceDirectoryN)
These directories organize all the files that logically contribute to the delivery of a single instance of one of the content types supported by Common Cartridge.
The root of the directory should contain the descriptor file for the Learning Application Object such as the QTI file for an assessment Learning Application Object. This directory may also contain additional files and subdirectories that are used exclusively by the Learning Application Object (i.e., associated content).
The name of this directory is not defined by the specification. Care must be taken to ensure that collisions do not occur between this directory name and the names of directories used for other Learning Application Objects and those used for web content.
A cartridge that does not contain any additional Learning Application Objects (e.g., only cartridge level web content) may exclude these directories.
3.3.3.1 Associated Content
Any web content which is logically tied to this Learning Application Object should be contained in the Learning Application Object resource directory.
All references to this content from Learning Application Object resource files e.g. QTI files should use a relative path.
It is the responsibility of the cartridge producer to ensure name collisions do not occur between end user created file/folder names (for web content) and system generated file/directory names (for resource descriptors).
3.3.4 Example Layout
An example of the layout described above could be:
imsmanifest.xml
course-logo.gif
course-overview.html
content1/preTestQti.xml
content1/images/map.gif
content1//movie.swf
content1/background.html
content2/discussionTopic1.xml
content2/overview.html
content2/images/image.gif
content3/webLink1.xml
3.4 Pathnames for Web Content Resources
To facilitate management of web content resources, in particular utilizing standard html relative path referencing between resources when content is imported into the LMS, web content resources are defined to live in two file systems - a folder for web content used by several resources and a folder for each Learning Application Object's related content.
The diagram in Figure 3.4 shows how web content may be referenced across these different file systems using relative path semantics.

Figure 3.4 Content referencing using relative file paths.
3.4.1 Cartridge Web Content
A Cartridge Web Content folder may be included in a Common Cartridge. If present, the Cartridge Web Content folder must appear in the root folder of the cartridge. The name of this folder is not defined by the specification.
Web content included in the Cartridge Web Content folder can be referenced by any of the Learning Application Objects in the cartridge. Relative path referencing is permitted between files in this folder and its subfolders, but files in this folder are not permitted to reference files in a Learning Application Object folder or its associated content folders.
On import, an LMS will usually import this content into a course level file system.
3.4.2 Learning Application Object Web Content
There can be 1 to n Learning Application Object web content folders in a Common Cartridge.
Each Learning Application Object in the cartridge has its own associated content file system folder. Files in this folder and its subfolders may reference other files in this associated content file system folder and files in the Cartridge Web Content folder using relative path semantics. However, they must not reference files in other Learning Application Object web content folders or their sub-folders. In addition, Learning Application Object resources (e.g., a QTI xml file) can contain references to files in the Learning Application Object's associated content folder and its subfolders and the cartridge web content folder and its subfolders, but must not contain references to web content in the folders of other Learning Application Objects.
On import, an LMS that only supports a single course level file system may import this web content into the course level file system. In this scenario, the web content in the cartridge represents one big file system scope.
An LMS that supports both course level and Learning Application Object level file systems will import this content into a local file system space that can only be utilized by the associated Learning Application Object.
3.4.3 Format of Relative Path References within a web content file system
All html path linking (e.g. <img src="">, <a href="">) between content contained in a given file system (cartridge or Learning Application Object) should utilize relative path semantics restricted by the rules defined above. Here relative path is defined as relative to the file containing the reference regardless of whether that file is itself web content or some other resource e.g. a QTI file.
3.4.3.1 Referencing Web Content from other Web Content
Within a given file system, paths are relative to the location of the file, e.g., for the files:
content1/material/lesson.html
content1/images/icon.gif
An image reference to icon.gif from lesson.html would take the form:
<img src="../images/icon.gif"/>
3.4.3.2 Referencing Web Content Directly from other Resources Using a Defined Linking Syntax
Where the linking syntax of a learning application object uses a URI, paths should be relative to the file containing the reference, e.g., for the files:
content1/question1Qti.xml
content1/images/icon.gif
A QTI matimage element would take the form:
<matimage uri="images/icon.gif">icon.gif</matimage>
3.4.3.3 Referencing Web Content from Embedded Text in Another Resource
Where a Learning Application Object resource supports free-form text which may contain embedded HTML markup, paths should be relative to the file containing the reference and should in addition contain a special token to make finding and parsing these paths simpler for the importing system, e.g., for the files:
content1/question1Qti.xml
content1/images/icon.gif
A reference to the image icon embedded in the free format question text should take the form:
<img src="$1EdTech-CC-FILEBASE$images/icon.gif"/>
Note: the token $1EdTech-CC-FILEBASE$ is just a flag to facilitate finding the paths. It does not represent a replacement token within the context of the cartridge. However, an importing LMS may choose to store the referenced files in a different location and so is free to insert any path elements needed to make the path work in the LMS.
3.4.4 Format of Relative Path References from Learning Application Object to Cartridge File System
All html path linking (e.g. <img src="">, <a href="">) by content contained in a Learning Application Object file system to content in the cartridge web content file system should use relative paths adhering to similar rules as those defined for references within a file system. Here relative path is defined as relative to the file containing the reference regardless of whether that file is itself web content or some other resource, e.g., a QTI file.
3.4.4.1 Referencing Cartridge Web Content from Learning Application Object Web Content
The key rule is that where a relative path within the Learning Application Object file system is directed above that file system root, this is assumed to be a reference into the cartridge web content file system, e.g., for the files:
images/icon.gif
content1/material/lesson.html
An image reference to icon.gif in the cartridge file system from lesson.html in a Learning Application Object file system would take the form:
<img src="../../images/icon.gif"/>
3.4.4.2 Referencing Cartridge Web Content Directly from Learning Application Object Resources
Where the information model of another Learning Application Object resource is defined as a URI, paths should be relative to the file containing the reference, e.g., for the files:
images/icon.gif
content1/question1Qti.xml
A QTI matimage element reference to a cartridge icon would take the form:
<matimage uri="../images/icon.gif">icon.gif</matimage>
3.4.4.3 Referencing Cartridge Web Content from Embedded Text in Another Resource
Where a Learning Application Object resource supports free-form text which may contain embedded HTML markup, paths should be relative to the file containing the reference and should in addition contain a special token to make finding and parsing these paths simpler for the importing system, e.g., for the files:
images/icon.gif
content1/question1Qti.xml
A reference to the cartridge image icon embedded in the free format question text should take the form:
<img src="$1EdTech-CC-FILEBASE$../images/icon.gif"/>
4. Common Cartridge Information Model Profiles
4.1 The Conceptual Model
-
The intent of this section is to provide a high-level description of a Common Cartridge. While conceptually similar to "cartridge-like" features found in existing commercial vendor solutions, several of the features of the Common Cartridge are included.
Conceptually, a Common Cartridge is a package of content and meta-data that is integrated into an LMS learning context. At a high level, this may directly correspond to the notion of "course" in the target LMS. There is no guarantee of the cardinality of the relationship from "learning context" to "Common Cartridge", i.e., the LMS may enforce an arbitrary 1-1 relationship. The data contained in the package breaks down into the following categories:
- "Learner Experience" Data. These are the resources presented directly to the learner, i.e., content resources.
- Supplemental Resources. These are resources that may be optionally integrated into the learning context by an instructor or other facilitator. E.g. question bank.
- Operational Data. Data used to control behavioral aspects of the LMS display/interaction with the cartridge. E.g. authorization.
- Descriptive Meta-data. This is the defined IEEE LOM data, and is represented via existing bindings.
-
A Common Cartridge is an 1EdTech Content Package conforming to the following basic structure.
- A Common Cartridge may define a single organization, or include no organization. Multiple organizations are not permitted and the default attribute for organizations is not therefore supported. The single organization is used on import to integrate with the learning context, and defines the basic navigation structure for the package. The organization assumes the predefined "hierarchical" structure.
- Only "Learner Experience" resources may be included in the <organization> hierarchy.
- Operational data (authorization, cartridge-level meta-data) are defined via discrete resource types within the package.
- Supplemental resources must not appear in the organization. The LMS provides a way for the instructor/facilitator to inspect/deploy/utilize these resources as they see fit.
-
Common Cartridge resources must be identified with GUIDs, in order to facilitate proper integration in systems that execute "by reference" content usage.
4.2 Supported Resource Types
Table 4.1 Common Cartridge Supported Resource Types.
|
Resource Type |
Constraints |
|---|---|
|
Web Content |
0 or more |
|
Associated Content |
0 or more |
|
QTI Assessment (CC Profiles) |
0 or more |
|
QTI Question Bank (CC Profiles) |
0 or 1 |
|
Authorizations Data |
0 or 1 |
|
Discussion Topic |
0 or more. |
|
Web Links |
0 or more |
4.3 Common Cartridge Information Model

Figure 4.1 CC profile of CP v1.2- Root.

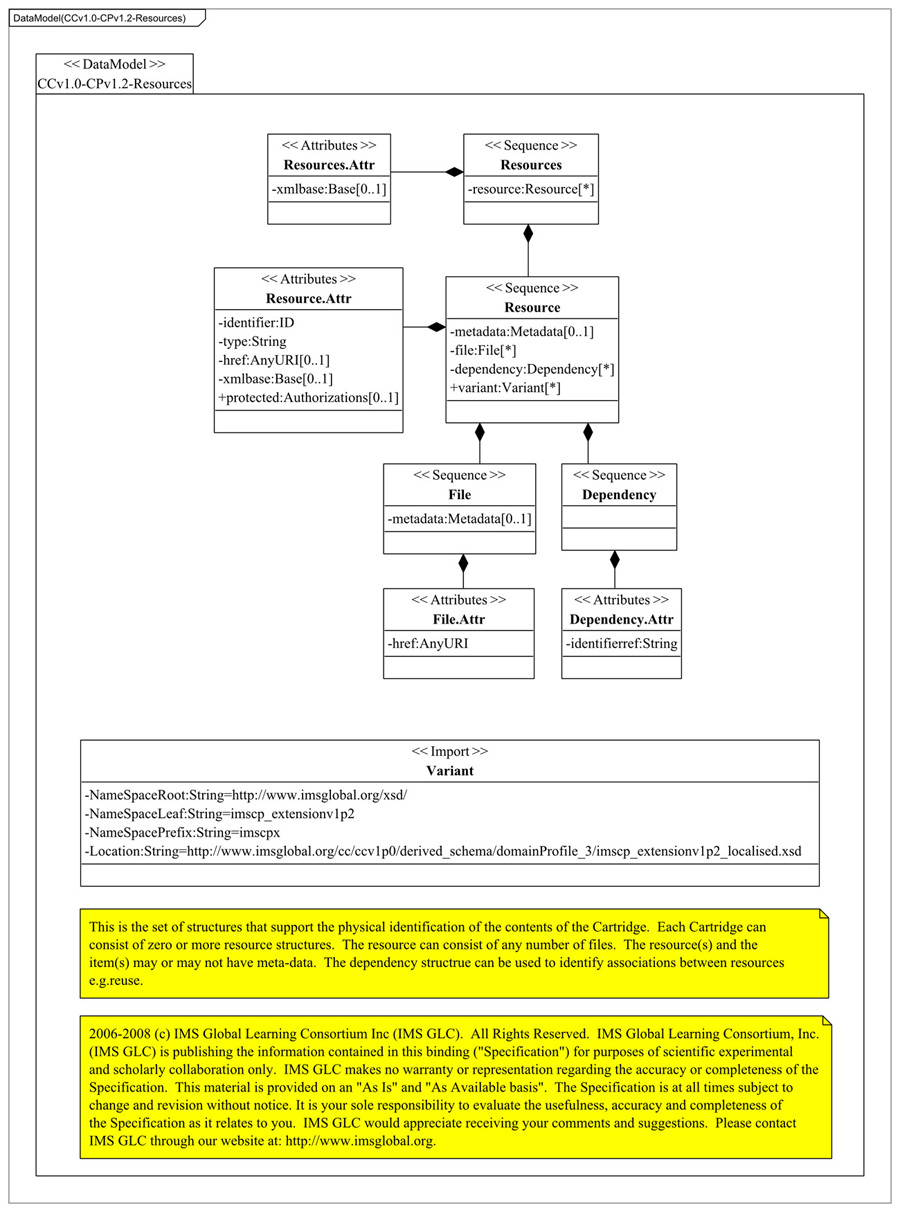
Figure 4.2 CC profile of CP v1.2 - Resources.

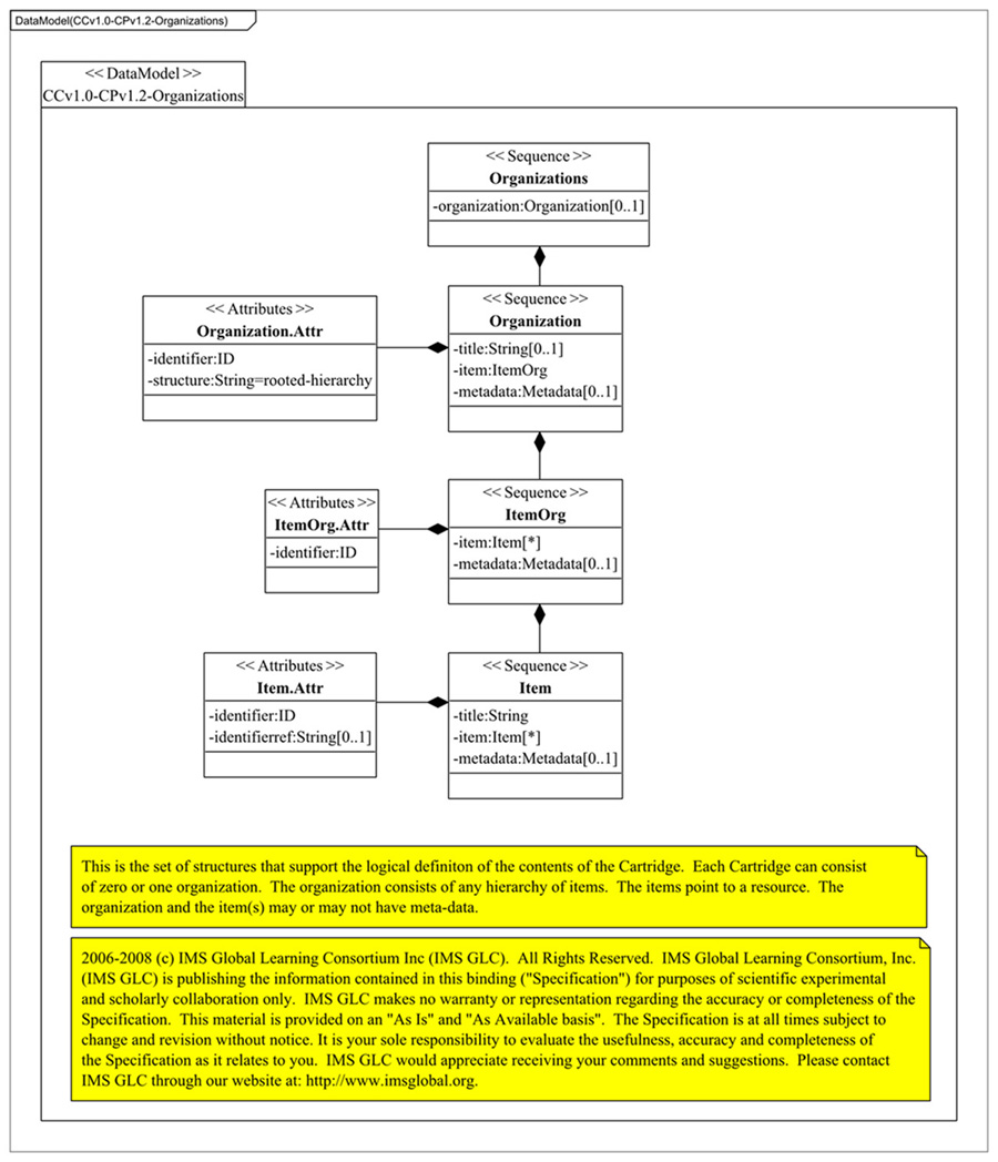
Figure 4.3 CC profile of CP v1.2 - Organizations.
4.4 Content Packaging
4.4.1 Overview
The Common Cartridge builds upon a profile of Content Packaging. This profile is constructed using the CPv1.2 schema, but currently only harnesses those features previously available in CPv1.1.4. The following provides an overview of the basic usage of 1EdTech Content Packaging
4.4.1.1 Manifests and Sub Manifests
- In the Common Cartridge profile, all content will be captured in a single 1EdTech manifest. Sub manifests will not be used.
4.4.1.2 Meta-data
- " LOM Metadata (restricted to DC elements for the cartridge level meta-data) will be used to capture meta-data.
4.4.1.3 Organization
- The Organization will be used to represent the Common Cartridge Folder content type. See the discussion on representing the Common Cartridge Folder Type for the additional profiling applied to this data.
4.4.1.4 Resources
- In general, all additional data required to describe a piece of content which is included in the cartridge, will be included as a separate file and referenced from a Resource object
- The Resource Type characteristic object will be used to identify the type of the external data. New resource types will be defined for each type of content included in the scope of CC. The format of these types should follow the guidelines defined in [CP, 07].
- Where a particular content instance requires multiple resource files of different types to describe itself, these should be included as separate resource elements with a <dependency> element linking them. Resources of different types should not be bundled together under a single <resource> element. E.g., the image files required by a QTI resource should not be directly referenced as <file> elements under the resource of type `imsqti_xmlv1p2/imscc_xmlv1p0/assessment'. They should be included under a separate web content resource element.
- The specifics of using the Resource object to represent different types of learning content are described below.
4.4.2 Manifest
- Manifest object may not contain child Manifest objects.
- The version characteristic object (i.e,. version=`1EdTech CP 1.2') for the Manifest is prohibited in the Common Cartridge profile to avoid confusion with the Common Cartridge version number, which by implication, uniquely identifies the version of Content Packaging adopted.
4.4.3 Folder Content Type
- The folder content type described by the CC requirements represents a structural/presentation based approach to organizing content.
- The folder does not imply containment in the sense that a Windows file system folder implies containment (i.e., you delete the folder, you delete everything it contains).
- You cannot use the folder name within file path based semantics to reference content referenced by the folder.
- A distinct Learning Application Object can be referenced multiple times (both within a single folder and across folders). If a particular LMS cannot support this multiple referencing it may choose to make a copy of the Learning Application Object.
-
The following describes how the folder content type is represented.
4.4.3.1 Usage of Organizations object
- The folder content type is represented by the 1EdTech Organizations container object type. A Common Cartridge may have a single Organization or no Organization.
- The Default characteristic of the Organizations object is prohibited as it has no meaning in Common Cartridge.
4.4.3.2 Usage of Organization object
- A Common Cartridge may have a single Organization or no Organization.
- The Organization object must contain a Structure characteristic object with the value "rooted-hierarchy".
- An Organization object may contain a Title value object. This can be used at the discretion of the LMS taking into account how the LMS renders the organization. For example, if the LMS renders the organization as a Learning Module then the Title of the organization could be used as the title of the module. If the LMS renders the organization as a set of folders below the existing course, then the Title would probably not be used.
<organizations/>
Or
<organizations>
<organization identifier="Org1" structure="rooted-hierarchy">
<title>Mathematics Volume III</title>
<item>... </item>
</organization>
</organizations>
4.4.3.3 Root Folder
A cartridge with a folder Organization should always be rooted on a single Item container object. It is not permissible to have two sibling Item containers below the Organization. The root Item container object just represents the root node of the Organization tree and has no other semantic or presentational meaning. It must not contain a Title value object, e.g., the following is valid:
<organization identifier="Org1" structure="rooted-hierarchy">
<item>
<item>
...
</item>
</item>
</organization>
The following are not valid:
<organization>
<item>
...
</item>
<item>
...
</item>
</organization>
<organization>
<item>
<title>some text</title>
</item>
</organization>
4.4.3.4 Usage of Items
- An Item container object type either represents a folder or a link to a Learning Application Object resource from a folder.
- Parameters characteristic object of Item is not supported by CC.
- Every Item object with the exception of the root Item must contain a Title object.
4.4.3.5 Item Object Representing Folder
- An Item object which represents a folder is indicated by the absence of an IdentifierRef characteristic object.
- Folder Items support unlimited nesting of other folder Items and Learning Application Object link Items.
<item>
<item>
<title>Root folder</title>
<item>
<title>Subfolder 1</title>
</item>
<item>
<title>Subfolder 2</title>
<item>
<title>Subfolder 2 - Sub Folder 1</title>
</item>
</item>
</item>
</item>
4.4.3.6 Item Object representing Learning Application Object Link
- An Item object representing a link to a Learning Application Object must contain an IdentifierRef characteristic object which references the Resource object describing the linked content.
- Learning Application Object Item objects may be nested by folder Item object but may not nest other folder or Learning Application Object Item objects.
- It is valid for two Learning Application Object Item objects to reference the same Resource object. This is consistent with the idea of the folder references equating to usage rather than containment links.
4.4.4 Cartridge Web Content Type
- Cartridge web content represents web content that may be referenced by any Learning Application Object in the cartridge.
- Cartridge web content is represented as a Resource object.
- It may be directly referenced from a folder Item object.
- The characteristic object Type must be the value `webcontent'.
- If a cartridge web content resource is linked from a Learning Application Object link Item object it must have an Href characteristic object which represents the launchable resource.
4.4.5 Associated Content Type
- Associated content represents web content that is scoped to a particular resource.
- Associated content is represented as a Resource object.
- It may be directly referenced from a folder Item object.
- The characteristic object Type must be the value `associatedcontent/imscc_xmlv1p0/learning-application-resource'
- If the associated content resource is linked from a Learning Application Object link Item object it must have an Href characteristic object which represents the launchable resource.
- The Resource object may contain Dependency objects which reference Resource objects with Type `webcontent'.
4.4.6 Discussion Topic Content Type
- A Discussion Topic is a Learning Application Object that is used to initiate Discussion activity.
- Discussion topic content is represented as a Resource object.
- Expected default behavior:
- Upon import, the discussion topic content will be stored by the LMS using its own internal representation
- As the cartridge content is added to an actual course, an associated discussion topic will be created in the discussion forum used by the LMS.
- The location of the discussion topic resource object in the cartridge organization dictates the point in the course at which the learner is directed to the item in the discussion forum.
- The discussion topic group would be the cohort of learners enrolled on the course and the instructor.
- If the cartridge were added to more than one course, then each course would have its own discussion topic created, each with its own group of enrolled learners.
- It may be directly referenced from a folder Item object.
- The characteristic object Type must be the value `imsdt_xmlv1p0'.
- The Resource object Href characteristic object is prohibited.
- The Resource object must contain a single File object which references the Discussion Topic descriptor XML file which conforms to the /xsd/imsdt_v1p0 schema (see below).
- The Resource object may contain Dependency objects which reference Resource objects with Type `webcontent' and/or `associatedcontent/imscc_xmlv1p0/learning-application-resource'.
4.4.7 Web Link (URL) Content Type
- A Web Link is a Learning Application Object that represents a URL.
- Web Link content is represented as a Resource object.
- It may be directly referenced from a folder Item object.
- The characteristic object Type must be the value `imswl_xmlv1p0'.
- The Resource object Href characteristic object is prohibited.
- The Resource object must contain a single File object which references the Web Link descriptor XML file which conforms to the /xsd/imswl_v1p0 schema (see below).
- The Resource object must not contain Dependency child objects.
4.4.8 Assessment Content Type
- Represented as a Resource object.
- It may be directly referenced from a folder Item object.
- The characteristic object Type must be `imsqti_xmlv1p2/imscc_xmlv1p0/assessment'.
- The Resource object Href characteristic object is prohibited.
- The Resource object must contain a single File object which references the QTI XML file. This file must conform to the 1EdTech CC profile of the QTI 1.2.1 schema which is /xsd/ims_qtiasiv1p2.
- The Resource object may contain Dependency objects which reference Resource objects with Type `webcontent' and/or `associatedcontent/imscc_xmlv1p0/learning-application-resource'.
4.4.9 Question Bank Content Type
- Represented as a Resource object.
- It must not be directly referenced from a folder Item object.
- If a question bank is included in a cartridge, then it appears as a resource in te imsmanifest, but it is not included in the organization and reference to the question bank or its question items by any Learning Applicatio Object is prohibited.
- Access to te question bank is restricted to the instructor, to whom it is provided as a rsource for constructing customized assessments.
- How the LMS makes the question bank available to an instructor is undefined.
- The characteristic object Type must be `imsqti_xmlv1p2/imscc_xmlv1p0/question-bank'.
- The Resource object Href characteristic object is prohibited.
- The Resource object must contain a single File object which references the QTI XML file. This file must conform to the 1EdTech CC profile of the QTI 1.2.1 schema which is /xsd/ims_qtiasiv1p2.
- The Resource object may contain Dependency objects which reference Resource objects with Type `webcontent' and/or `webcontent/imscc_xmlv1p0/learning-application-resource'.
4.4.10 Common Cartridge Authorization
- Cartridges support authorization at two levels: either the whole cartridge can be protected or individual resources can be protected.
- Authorization information is specified at two levels within the cartridge information model.
- The overall authorization requirements are specified using the Authorizations object which is an extension to the Manifest object. If the authorizations object is not present, no authorization is required. If the authorizations object is present it must declare Common Cartridge Authorization first, possibly in addition to other authorization mechanisms.
- If authorization is applied to individual resources within the cartridge rather than the cartridge as a whole, this can be specified using the Protected characteristic which is an extension characteristic applied to the Resource object.
- Import authorization is only applicable at the cartridge level.
- If import authorization is specified and it is not granted, then no part of the cartridge should be imported, including resources and files.
- Access authorization only applies to resources contained within a package.
- If access authorization is specified at the cartridge level it cascades down to the resources but not to any files contained within those resources.
- If access authorization is specified for a resource, it covers only access to the resource itself but does not cover access to files contained within the resource.
- When access authorization is specified for a resource, all non-management access points to that resource within a system need to check that authorization.
- Management of resources after a cartridge has been imported is beyond the scope of this authorization scheme, the authorization only applies to accessing the resource in the cartridge player.
- See below for further definition of the Authorization object information model.
4.5 LOM Metadata
4.5.1 Cartridge Metadata
The Common Cartridge must be described at the manifest level using meta-data according to the Common Cartridge profile of the IEEE LOM (loose binding) [IEEE LOM, 05] which describes the range of a mapping from the core elements of the Dublin Core specification v1.1 [DC, 03] to IEEE LOM. This application profile is restrictive. It uses the namespace http://ltsc.ieee.org/xsd/imscc/LOM which differs from the IEEE LOM namespace by the insertion of imscc. In contrast, meta-data for resources (see below) need to use the original IEEE LOM namespace.
The meta-data element as well as its schema and schema version element are required at the manifest level. They must be expressed as follows.
<metadata>
<schema>1EdTech Common Cartridge</schema>
<schemaversion>1.0.0</schemaversion>
... metadata according to Common Cartridge profile of IEEE LOM ...
</metadata>
The usage of meta-data at other places in the common cartridge is not restricted. This may change in future versions of the specification.
It should be noted that there are some differences between 1EdTech Meta-data and IEEE LOM with respect to binding. Since the CC meta-data is based upon the IEEE LOM binding, it is not order sensitive.
Any media player, codec, browser plug-in or operating system requirements for the cartridge content must be declared in the cartridge-level meta-data description. Each entry should include details of the tool/product name, version number, supplier name and the URL for their website. Such requirements must be entered in the description element for the cartridge as free text.
4.5.1.1 Mapping of Dublin Core Elements to LOM Metadata Elements:
Table 4.2 Mapping of Dublin Core to IEEE LOM.
|
Dublin Core Element |
IEEE LOM Element |
Value Type (see documentation of IEEE LOM) |
|---|---|---|
|
dc:contributor, dc:creator, dc:publisher |
lifeCycle.contribute.entity with appropriate value of lifeCycle.contribute.role |
The value held by the Entity element shall be a character string literal that is the canonical lexical representation of a valid vCard as defined in IETF RFC 2426:1998. |
|
dc:coverage |
general.coverage |
LangString |
|
dc:date |
lifeCycle.contribute.date |
|
|
dc:description |
general.description |
LangString |
|
dc:format |
technical.format |
-- A literal that is the canonical lexical representation of a Multipurpose Internet Mail Extension (MIME) type value from RFC 2048 -- The token |
|
dc:identifier |
general.identifier |
Consists of catalog set to e.g. `ISBN' and entry containing the actual ISBN number |
|
dc:language |
general.language |
Language identifier (as defined in ISO 639-1, ISO 639-2, and ISO 3166-1) Or the token none |
|
dc:relation |
Relation |
This is a structure consisting of kind and resource |
|
dc:rights |
Rights |
Structure containing optional cost, copyrightAndOtherRestrictions and description |
|
dc:source |
Not mapped |
--- |
|
dc:subject |
general.keyword (see also classification.keyword) |
in general.keyword LangString, in classification.keyword choice of purpose, taxonPath, description, and LangString |
|
dc:title |
general.title |
LangString |
|
dc:type |
Educational.learningResourceType |
Set to |
4.5.1.2 A Number of Elements of IEEE LOM are Unused and are Therefore Prohibited:
- No custom elements are allowed
- interactivityType unused
- interactivityLevel unused
- semanticDensity unused
- intendedEndUserRole unused
- context unused
- typicalAgeRange unused
- difficulty unused
- typicalLearningTime unused
- description is unused in educational context
- language is unused in technical context, it is used only in general context
- structure is not used
- aggregationlevel is not used
- version is not used
- status is not used
- metaMetadata are not used
- annotation is not used
- No size information
- location not used
- requirements not used
- installationRemarks unused
- otherPlatformRequirements unused
- duration unused
4.5.2 Roles Meta-data
If meta-data is applied to resources, then it must be based on IEEE LOM. In particular, it must use the IEEE LOM namespace http://ltsc.ieee.org/xsd/LOM.
There are situations where resources may need to be specified within the organization, but should not be made visible in player mode upon default import of the cartridge. One such situation is the inclusion of instructor manuals, lesson plans, instructor notes and solution files that should only be visible to instructors. In other situations, publishers may wish to provide additional, optional resources that may be selectively released to students by the instructor at some later date. In both cases, there is a need to indicate where the resources should appear within the organization even though the resources are not initially visible to learners in the cartridge player. These resources must be made visible in cartridge editors so that the settings may be modified when and if appropriate.
To meet these needs, the common cartridge applies optional "roles" meta-data associated with the resource in the manifest file. If not present, then the default behavior is that the resource would be viewable by all users. If present, then it declares the roles for which the resource would be viewable. The roles for which a specific resource is released are declared in the resource meta-data as the content of the elements:
lom/educational/intendedEndUserRole/vocabulary/value
Currently, the only supported roles are `Learner' and `Instructor' defined in the vocabulary:
IMS_GLC_CC_Rolesv1p0
The context for which these values are applicable must be identified in:
lom/educational/context/value
Currently, the only supported context is `higher education'. For example:
<lom:lom>
<lom:educational>
<lom:context>
<lom:source>LOMv1.0</lom:source>
<lom:value>higher education</lom:value>
</lom:context>
<lom:intendedEndUserRole>
<lom:vocabulary>
<lom:source>IMSGLC_CC_Rolesv1p0</lom:source>
<lom:value>Learner</lom:value>
<lom:value>Instructor</lom:value>
</lom:vocabulary>
</lom:intendedEndUserRole>
</lom:educational>
</lom:lom>
4.6 Authorization
-
The authorization components of the Common Cartridge are designed to support the requirements of the Authorization Web Service as described in 1EdTech Common Cartridge Authorization Web Service [CC, 08b].
However, they also need to contain sufficient information to support legacy authorization mechanisms as it is not expected that all LMSs and publishers will immediately move to using the Web Service, because their current business model is tied to the existing mechanisms.
The authorization model supports the following concepts:
- Requiring authorization on cartridge import
- Requiring authorization on cartridge usage
- Requiring authorization on usage of specific resources in the cartridge
-
Concepts 2 and 3 are mutually exclusive, i.e., a cartridge can either specify that all resources in the cartridge are protected or just some resources in the cartridge are protected.
The mechanism by which the authorized access to particular resources is enforced by the LMS is not defined by the profile. How the `challenge' mechanism is integrated into the user experience will be determined by the implementation of the LMS. For example, an LMS could challenge for authorization when a user accesses a course that contains any protected resources. Or alternatively, an LMS could just challenge when a user tries to access a protected resource in the context of a course. In some cases this is not easy to do. E.g., if an HTML page uses a protected image, it may not be easy to incorporate a challenge mechanism seamlessly into the display of the HTML page. An LMS could employ some kind of redirection mechanism or return an image requesting user to authorize etc.
4.6.1 Specifying the Authorization Level
The authorization requirements are specified in the manifest as an 1EdTech extension.
If the authorizations element is omitted the cartridge is assumed to be open access. All authorization mechanisms declared in the cartridge must provide the same level of access which has been declared in the authorizations object.
4.6.1.1 Example Instance
<manifest>
<metadata/>
<organization/>
<resources/>
<cc:authorizations access="cartridge" import="false"
xmlns:cc="/xsd/imsccauth_v1p0"
xmlns:xsi="http://www.w3.org/2001/XMLSchema-instance"
xsi:schemaLocation="/xsd/imsccauth_v1p0 imsccauth_v1p0.xsd">
<cc:authorization>
<cartridgeId>12345</cartridgeId>
<webservice>http://publisher.com/authme</webservice>
</cc:authorization>
</cc:authorizations>
</manifest>
- authorization - If not provided means cartridge usage requires no authorization.
- access - Determines whether authorization must be established when cartridge content is accessed by a learner. Valid values are `cartridge' which means all cartridge resources are protected or `resource' which means only resources which are specifically flagged as protected require authorization.
- import - Determines whether authorization must be established when cartridge is imported into LMS
- cartridgeId - Global unique identifier for this cartridge
- webservice - The address of the web service that supports the 1EdTech Common Cartridge Authorization Web Service [CC, 08b]. If authorization is required, then this element must be present and reference a valid authorization web service.
4.6.1.2 Protecting Individual Resources
If the cartridge access type is set to `resource' then the individual resources which need to be protected are specified by adding the `Protected' characteristic object to each resource.
<resource identifier=res001 type=webcontent cc:protected=true href=someFile.html>
<file href=someFile.html/>
</resource>
4.6.1.3 Schema
<xs:schema targetNamespace="/xsd/imsccauth_v1p0" xmlns:xs="http://www.w3.org/2001/XMLSchema" xmlns="/xsd/imsccauth_v1p0"
xmlns:ims="/xsd/imscp_v1p1" elementFormDefault="unqualified">
<xs:import namespace="/xsd/imscp_v1p1" schemaLocation = "imscp_v1p1.xsd"/>
<xs:element name="authorizations" type="authorizationsType"/>
<xs:complexType name="authorizationsType">
<xs:sequence>
<xs:element name="authorization" type="authorizationType"/>
<xs:group ref = "ims:grp.any"/>
</xs:sequence>
<xs:attribute name="access" type="accessType" use="required"/>
<xs:attribute name="import" type="xs:boolean" default="false"/>
</xs:complexType>
<xs:complexType name="authorizationType">
<xs:sequence>
<xs:element name="cartridgeId" type="xs:string"/>
<xs:element name="webservice" type="xs:string" minOccurs="0"/>
</xs:sequence>
</xs:complexType>
<xs:simpleType name="accessType">
<xs:restriction base="xs:string">
<xs:enumeration value="cartridge"/>
<xs:enumeration value="resource"/>
</xs:restriction>
</xs:simpleType>
<xs:complexType name="ResourceType">
<xs:complexContent>
<xs:extension base="ims:resourceType">
<xs:attribute name="protected" type="xs:boolean" default="false"/>
</xs:extension>
</xs:complexContent>
</xs:complexType>
</xs:schema>
4.7 Discussion Topics
Discussion topics are described in a descriptor file as follows:
4.7.0.1 Example Instance
<?xml version="1.0" encoding="UTF-8"?>
<dt:topic
xmlns:dt="/xsd/imsdt_v1p0"
xmlns:xsi="http://www.w3.org/2001/XMLSchema-instance">
<title>Dinosaurs</title>
<text texttype="text/html">Discuss this history of dinosaurs. <img src="$1EdTech-CC-FILEBASE$icons/dinosaurImage.gif"/></text>
<attachments>
<attachment href="icons/dinosaurHistory1.html"/>
<attachment href="icons/dinosaurHistory2.html"/>
</attachments>
</dt:topic>
- topic root element
- title Title of this topic
- text Text for this topic - if text/html can contain markup and references to both cartridge and Learning Application Object web content.
- texttype values(TEXT/HTML or TEXT/PLAIN)
- attachments contains one to many attachment objects
- attachment Specifies an attachment
- href Specifies the relative path of the attachment file - must be to a Learning Application Object web content resource.
4.7.0.2 Schema
<xs:schema targetNamespace="/xsd/imsdt_v1p0" xmlns:xs="http://www.w3.org/2001/XMLSchema" xmlns="/xsd/imsdt_v1p0" elementFormDefault="unqualified">
<xs:element name="topic" type="topicType"/>
<xs:complexType name="topicType">
<xs:sequence>
<xs:element name="title" type="xs:string"/>
<xs:element name="text">
<xs:complexType>
<xs:simpleContent>
<xs:extension base="xs:string">
<xs:attribute name="texttype" type="textTypeType" default="text/plain"/>
</xs:extension>
</xs:simpleContent>
</xs:complexType>
</xs:element>
<xs:element name="attachments" minOccurs="0">
<xs:complexType>
<xs:sequence>
<xs:element name="attachment" minOccurs="1" maxOccurs="unbounded">
<xs:complexType>
<xs:attribute name="href" type="xs:string" use="required"/>
</xs:complexType>
</xs:element>
</xs:sequence>
</xs:complexType>
</xs:element>
</xs:sequence>
</xs:complexType>
<xs:simpleType name="textTypeType">
<xs:restriction base="xs:string">
<xs:enumeration value="text/html"/>
<xs:enumeration value="text/plain"/>
</xs:restriction>
</xs:simpleType>
</xs:schema>
4.8 Web Links
Web links are described in a descriptor file as follows:
4.8.0.1 Example Instance
<?xml version="1.0" encoding="UTF-8"?>
<wl:webLink
xmlns:wl="/xsd/imswl_v1p0"
xmlns:xsi="http://www.w3.org/2001/XMLSchema-instance">
<title>Dinosaurs</title>
<url href="http://dino.com/dinosaurs/history.html" target="_self" windowFeatures=width=100, height=100/>
</wl:webLink>
- webLink root element
- title Title of this web link
- url URL which the web link represents
- href URL value
- target any valid value for the HTML <a> tag target attribute
- windowFeatures - an optional string that can be used as the feature parameter for the standard javascript window open function
4.8.0.2 Schema
<?xml version="1.0"?>
<xs:schema targetNamespace="/xsd/imswl_v1p0" xmlns:xs="http://www.w3.org/2001/XMLSchema" xmlns="/xsd/imswl_v1p0" elementFormDefault="unqualified">
<xs:element name="webLink" type="webLinkType"/>
<xs:complexType name="webLinkType">
<xs:sequence>
<xs:element name="title" type="xs:string"/>
<xs:element name="url">
<xs:complexType>
<xs:attribute name="href" type="xs:string" use="required"/>
<xs:attribute name="target" type="xs:string" />
<xs:attribute name="windowFeatures" type="xs:string" />
</xs:complexType>
</xs:element>
</xs:sequence>
</xs:complexType>
</xs:schema>
4.9 QTI
4.9.1 Overview
A Common Cartridge may contain either/both of two Learning Object Resource types that are based on the CC QTI Profile: Assessments and Question Banks. Generally Assessments are meant to represent an ordered question set and may include optional attributes that apply to the set as a whole. A CC Question Bank refers to a QTI Object Bank, constrained to hold just those question types supported in the CC profile. Assessments should employ the <assessment> QTI element (see section Assessments vs. Object Banks directly below). Question Banks are meant to represent unordered sets of questions with no associated attributes applying to the set as a whole (though meta-data is permitted). Question banks should use the <objectbank> QTI element. In addition, question banks should have no representation in the organizations section of the manifest and if used, only one question bank can be present in a cartridge.
<questestinterop> is the root element for all CC QTI documents. Directly inside this will be either an <assessment><section> or <objectbank> structure as described in the next section.
The $1EdTech-CC-FILEBASE$ token may be used in any portion of questions, answers or feedback. It is intended to help identify paths that reference media files that are required by the assessment and are included in the common cartridge. If the files are not moved after extraction, the path following the token should be the same directory that contains the qti file itself. The token should ALWAYS be included when making relative references to other files so that import engines can correctly handle any required path translations. Elements or multi-element constructs other than those covered explicitly below are prohibited.
4.9.1.1 Assessments vs. Object Banks
Assessments are represented with a single <assessment> element with required ident and title attributes and optional language attribute. The <assessment> element may contain an optional <presentation_material> element to represent information to be displayed prior to a student launching the assessment.
A <qtimetadata> element can be present where CC specific meta-data elements are allowed within <qtimetadatafield> structures as follows:
<qtimetadatafield>
<fieldlabel></fieldlabel>
<fieldentry></fieldentry>
<qtimetadatafield>
|
fieldlabel |
fieldentry |
|---|---|
|
cc_profile |
cc.exam.v0p1 |
|
qmd_assessmenttype |
The type of assessment role. The default is 'Examination'. values: 'Examination', 'Survey', 'Tutorial', 'Self-assessment'. |
|
qmd_scoretype |
'Percentage' scoring is always used. |
|
qmd_feedbackpermitted |
If 'No' then students should not see any feedback for this assessment. Default is 'Yes'. |
|
qmd_hintspermitted |
If 'No' then students should not see any hints for this assessment. Default is 'Yes'. |
|
qmd_solutionspermitted |
If 'No' then students should not see any feedback flagged as Solution for this assessment. Default is 'Yes'. |
|
qmd_timelimit |
Time limit is an integer value expressed in minutes. If unspecified there is no time limit. |
|
cc_allow_late_submission |
Indicates whether the time limit should be strictly enforced. Should only be provided if the qmd_timelimit was also specified. Allowed values are "Yes" and "No". The default is "Yes" |
|
cc_maxattempts |
Allows specifying the maximum allowed user attempts. Allowed values are 1, 2, 3, 4, 5 and "unlimited". The default is 1. |
In addition to the optional <presentation_material> and <qtimetadatafield> elements the <assessment> element must contain exactly one <section> element with a required ident and an optional title attribute. The <section> element contains one or more <item> elements only.
Object banks are represented as a single <objectbank> element which can contain one or more <item> elements only.
4.9.1.2 Item
<item> elements represent individual questions in assessments or object banks (i.e. question banks). There is a required ident attribute and an optional title attribute which can be used when providing editors with question lists for selection or editing. It is not presented when question is rendered in the assessment.
4.9.1.3 Itemmetadata
An <itemmetadata> element can contain a <qtimetadata> element where CC specific meta-data elements are allowed within <qtimetadatafield> structures (as in Assessments vs. Object Banks section above) as follows:
|
fieldlabel |
fieldentry |
|---|---|
|
cc_profile |
Corresponds to the six supported question types. Can be: cc.mutliple_choice.v0p1, cc.mutliple_response.v0p1, cc.true_false.v0p1, cc.fib.v0p1, cc.pattern_match.v0p1, or cc.essay.v0p1 |
|
cc_question_category |
A single keyword value |
|
cc_weighting |
cc_weighting specifies the preferred points value for the question. This is useful because the scoring variables are normalized to percentage-based values between 0 and 100. Additionally, this allows for points possible to be specified for manually graded items such as essay questions. Must be an integer value 0 - 99 if provided. Otherwise a default of 1 is assumed. |
|
qmd_scoringpermitted |
Yes (Because there is no automated scoring for essays, we use standard qmd meta-data to indicate the item is manually scored.) |
|
qmd_computerscored |
No (for essays) |
4.9.1.4 Presentation
The <presentation> element contains elements for representing the question text and responses as presented to the student.
A <material><mattext> structure directly inside the <presentation> element is used for the question text. The question text may be presented in either plain text or html format. If the html format is used, the mattext element must have a texttype attribute with a value of "text/html". If plain text is used, the texttype value of "text/plain" is optional as this is the default. Regardless of the format, the question text must occur within a CDATA section.
Multiple_choice, multiple_response, and true_false questions use a <response_lid> element to contain the individual answers. There is a required ident attribute which should be of the form response_# to make processing easier, and an rcardinality attribute which should be set to Single for multiple_choice and true_false questions and Multiple for multiple_response questions.
The <response_lid> element contains a single <render_choice> element with a shuffle (Yes/No) attribute to indicate whether or not scrambling of answer choices is allowed.
The <render_choice> element contains one or more <response_label> elements with a required ident attribute. The < response_label > elements contain <material><mattext> structures holding the text of the individual answers. Response.rshuffle is not supported here.
Fib and essay questions use a <response_str> element instead of <response_lid> with a required ident attribute which should be of the form response_# to make processing easier. The <response_str> element contains a single <render_fib> element. The rows attribute must be set to 1. For fib questions the columns attribute may be set any positive integer but may be ignored.
4.9.1.5 Resprocessing
<resprocessing> is a direct child of the <item> element and is used to indicate correct answers and response scoring.
<resprocessing> should include an <outcomes><decvar> structure that sets varname="SCORE".
<respcondition> elements are used to set the value of SCORE appropriately for each response, and to identify any <itemfeedback> (see next section: Itemfeedback) elements that are applicable. A <respcondition continue="Yes"> can be used for general feedback to be provided unconditionally.
A <setvar action="Set" varname="SCORE"> element is used inside a <respcondition> element to set the score. With simple multiple choice only one correct answer is allowed and it should set SCORE to 100. All other answers should set SCORE to 0. With multiple response only all or nothing scoring is supported.
The <conditionvar> element is used to establish the conditions for each scoring possibility. Simple multiple choice will use a structure like <varequal respident="response_1">answer_1</varequal>.
Multiple response questions can represent all-or-nothing scoring as follows:
<conditionvar>
<and>
<varequal respident="response_1" case="Yes">answer_1</varequal>
<not>
<varequal respident="response_1" case="Yes">answer_2</varequal>
</not>
<varequal respident="response_1" case="Yes">answer_3</varequal>
<varequal respident="response_1" case="Yes">answer_4</varequal>
</and>
</conditionvar>
Fill-in-the-blank questions are not case sensitive on grading as indicated by setting the case attribute to "No" in the <varequal> element. Pattern match questions may optionally be case sensitive by setting case="Yes", but the default is NOT case sensitive. To check if a string is contained anywhere in the response we use the varsubstring condition which again may or may not be case sensitive, as follows:
<conditionvar>
<varsubstring respident="response_1" case="No">expected</varsubstring>
</conditionvar>
There should be a <displayfeedback> element contained within the <respcondition> element for feedback appropriate to the response. Feedback elements may be feedback for specific answers or feedback for all correct/incorrect answers, as determined by the conditionvar case. However if any feedback is specified, both types of feedback (answer level and correct/incorrect) are required.
4.9.1.6 Itemfeedback
<itemfeedback> elements with required ident attribute, corresponding to any references placed in <respcondition> elements, are used to define the feedback for each case. Feedback text is contained in <material><mattext> structures.
General feedback is given as an unconditional feedback with continue flag on for further processing:
<respcondition continue="Yes">
<displayfeedback feedbacktype="Response" linkrefid="general_fb" />
</respcondition>
Feedback can be attached to individual responses as follows:
<respcondition>
<conditionvar>
<varequal respident="response_1">answer_1</varequal>
</conditionvar>
<setvar action="Set" varname="SCORE">0</setvar>
<displayfeedback feedbacktype="Response" linkrefid="answer_1_fb" />
<displayfeedback feedbacktype="Response" linkrefid="incorrect_fb" />
</respcondition>
Note that answer-specific and correct/incorrect feedback must be provided together, or not at all. If one is present, the other must be also.
Hints can be represented as follows:
<itemfeedback ident="hint">
<hint>
<hintmaterial>
<material>
<mattext texttype="text/html"><![CDATA[This is a hint]]></mattext>
</material>
</hintmaterial>
</hint>
</itemfeedback>
Essay questions can indicate sample answers as follows:
<itemfeedback ident="solution">
<solution>
<solutionmaterial>
<material>
<mattext texttype="text/html"><![CDATA[here is the sample solution]]></mattext>
</material>
</solutionmaterial>
</solution>
</itemfeedback>
4.9.2 Further Element/Attribute Restrictions for Common Cartridge
|
The setvar element supports an action attribute with values of Add, Set, and Subtract. In Common Cartridge, only Set is allowed. |
|
The MaterialSelection selection should only allow the mattext element. In addition the texttype attribute should only allow values of text/html and text/plain and the element text must be wrapper in CDATA. Additional attributes are not allowed. |
|
The rcardinality attribute on the response_lid and response_str elements only allow values of Single and Multiple. The value Ordered is not supported. |
|
The rtiming attribute on the response_lid and response_str elements is not supported. |
|
The render_fib element allows many attributes. 1. encoding - "The coding to be used for the text. The default value of UTF-8 is assumed. This attribute is not allowed. 2. charset - "The character set that is to be used to represent the text string. Default value is ascii-us. This attribute is not allowed. 3. rows - The number of rows available for the data entry is optional. 4. columns - The number of columns available for the data entry is optional. 5. maxchars - The maximum number of characters available for the data entry is optional. 6. Prompt - "The type of prompt presented to the participant in which the FIB data is to be entered. This is an enumeration with values of Box, Dashline, Asterisk, and Underline. Default value is Box. This attribute is not allowed as the display format is determined by the LMS. 7. fibtype - "The type of data expected. This is an enumeration with values of String, Integer, Decimal, Scientific, and Boolean. This is restricted to the default value of String. All other values are prohibited. 8. minnumber - "The minimum number of responses that must be supplied by the participant. This attribute is prohibited. Only one response is allowed. 9. maxnumber - "The maximum number of responses that can be supplied by the participant. This attribute is prohibited. Only one response is allowed. |
|
The render_fib element is prohibited from having any children. |
|
The flow element is not allowed. |
4.9.6 Assessment

Figure 4.7 CC profile of QTI v1.2.1 - Assessment
Common Cartridge supports only one role of assessment which maps to the 1EdTech concept of `Examination' (as defined by the QTI meta-data attribute `qmd_assessmenttype').
An assessment must contain a single section which contains all questions delivered by the assessment. Multiple sections and references to questions in an object bank are not supported.
An assessment does support the use of a number of meta-data attributes which can carry additional delivery information about the assessment such as maximum attempts and time limit. These are defined in the profile.
4.9.7 Item

Figure 4.8 CC profile of QTI v1.2.1 - ItemGeneral

Figure 4.9 CC profile of QTI v1.2.1 - Item

Figure 4.10 CC profile of QTI v1.2.1 - ItemRender

Figure 4.11 CC profile of QTI v1.2.1 - ItemResponse
4.9.9 Questions
-
The Common Cartridge supports profiles of the following question types:
- Multiple Choice (Single Response)
- Multiple Choice (Multiple Response)
- True/False
- Essay
- Simple Fill in the Blank - single response box with single correct answer that is processed as an exact match
- Pattern Match - single response box with multiple potential answers that support exact match, containment matching and regular expression matching
-
The profiles for each of these question types describe how they support:
- feedback
- hints
- sample solutions
- relative scoring
-
In addition, questions support a number of meta-data attributes which describe:
- a suggested weighting for the question in the assessment
- a category for the question.
-
Instances of these questions may be included in an assessment or a question bank.
CC supports both Yes/No and Distractor feedback from QTI. Platforms must support one or the other, cartridges can either omit or must provide both.
- Cartridges can include QTI questions without any feedback. If feedback is offered, then the question must include both Yes/No and distractor responses.
- Platforms must implement either Yes/No or distractor responses. If both are supported, then the distractor responses will take precedence.
-
For full details refer to the profile descriptions.
4.9.10 Question Bank

Figure 4.13 CC profile of QTI v1.2.1 - Objectbank.
The CC question bank profiles the use of the QTI object bank. A question bank represents a collection of questions that are associated with a particular learning context, but not used within it. The question bank allows for the exchange of questions to a target LMS. Both the representation of a question bank, and how questions are utilized once the cartridge has been imported into the LMS are LMS specific. Assessments within a package cannot reference questions contained within the question bank.
The behavior of an LMS in handling question banks is undefined.
4.10 Vocabularies
-
Vocabularies refer to a set of string constants used to specify pre-defined values for meta-data elements. Typically these value sets are specified by the document that defines the meta-data element, such as the IEEE Learning Object Metadata or Dublin Core standards. Common Cartridge meta-data elements may extend or replace vocabularies with new sets that describe the content included in the package.
For example, the lifeCycle.contributor.role element may be specified to include values from the following set:
- student
- instructor
- administrator
-
which might be expanded to include:
- designer
- reviewer
-
Where meta-data vocabularies are extended or replaced for use in Common Cartridge descriptions, an 1EdTech Vocabulary Definition and Exchange (VDEX) document is required to define the new or extend vocabulary. See /vdex/index.html for information on the 1EdTech-VDEX-1.0 specification.
Common Cartridge vocabularies are fixed and may not be replaced, extended, or modified.
5. Implementation Guidelines and Best Practices
5.1 General Best Practices
A convention could be utilized based on some form of UID to prevent collisions with user generated web content folder names. Additionally, a subdirectory may be created to contain all Learning Application Object directories to further reduce the risk of collisions between Learning Application Object directories and those in the web content.
5.1.1 Extensions to Resources Meta-data
Compliant systems must at least tolerate any structure attached to extension points.
5.1.2 Accessibility
Extensions for accessibility supported in Content Packaging v1.2 have been incorporated into the schema for Common Cartridge v1.0. However, whilst these extensions are provided for use by those wishing to provide accessibility features, their use and implementation is not mandated for general use and they will not be addressed in any conformance tests developed.
For guidance on use of the accessibility extensions, see the Content Packaging v1.2 specification.
5.2 Examples of Valid Common Cartridge File Structures
5.2.1 Sample 1 - Web Content and Learning Application Objects Both in Root
|
0001<root> 0002 Imsmanifest.xml 0003 -------------------- |
|
Resource 0001 (Web Content Resource) 0004 Page001.htm 0005 Images\ 0006 Image0001.gif |
|
Resource 0002 (Web Content Resource) 0007 Media\ 0008 Audio001.mp3 |
|
0009 --------------------- 0010 LO001\ |
|
Resource 0003 (Discussion Forum Resource) 0011 Welcome.forum |
|
Resource 0004 (Associated Content Resource for Resource 0003) 0012 Welcome.gif 0013 Attachments\ 0014 Gettingstarted.doc |
|
0015 LO002\ |
|
Resource 0005 (QTI Assessment Resource) 0016 Studymate.qti |
|
0017 LO003\ |
|
Resource 0006 (QTI Assessment Resource) 0018 Quiz1.qti |
|
Resource 0007 (Associated Content Resource for Resource 0006) 0019 Sample.doc 0020 Images\ 0021 Ques001.gif 0022 Ques002_a.gif |
|
|
|
Legend |
|
|
|
|
|
|
Web Content Resource |
|
|
|
|
|
Learning Application Object |
|
|
|
|
|
Associated Content Resource |
|
|
|
|
----- |
Empty Line |
5.2.2 Sample 2 - Web Content in Root and Learning Application Objects in Subdirectory
|
0001 <root> 0002 Imsmanifest.xml 0003 -------------------- |
|
Resource 0001 (Web Content Resource) 0004 Page001.htm 0005 Images\ 0006 Image0001.gif |
|
Resource 0002 (Web Content Resource) 0007 Media\ 0008 Audio001.mp3 |
|
0009 Data 0010 LO001\ |
|
Resource 0003 (Discussion Forum Resource) 0011 Welcome.forum |
|
Resource 0004 (Associated Content Resource for Resource 0003) 0012 Welcome.gif 0013 Attachments\ 0014 Gettingstarted.doc |
|
0015 LO002\ |
|
Resource 0005 (QTI Assessment Resource) 0016 Studymate.qti |
|
0017 LO003\ |
|
Resource 0006 (QTI Assessment Resource) 0018 Quiz1.qti |
|
Resource 0007 (Associated Content Resource for Resource 0006) 0019 Sample.doc 0020 Images\ 0021 Ques001.gif 0022 Ques002_a.gif |
|
|
|
Legend |
|
|
|
|
|
|
Web Content Resource |
|
|
|
|
|
Learning Application Object |
|
|
|
|
|
Associated Content Resource |
|
|
|
|
----- |
Empty Line |
5.2.3 Sample 3 - Web Content and Learning Application Objects Both in Subdirectories
|
0001 <root> 0002 Imsmanifest.xml 0003 Content |
|
Resource 0001 (Web Content Resource) 0004 Page001.htm 0005 Images\ 0006 Image0001.gif |
|
Resource 0002 (Web Content Resource) 0007 Media\ 0008 Audio001.mp3 |
|
0009 Data 0010 LO001\ |
|
Resource 0003 (Discussion Forum Resource) 0011 Welcome.forum |
|
Resource 0004 (Associated Content Resource for Resource 0003) 0012 Welcome.gif 0013 Attachments\ 0014 Gettingstarted.doc |
|
0015 LO002\ |
|
Resource 0005 (QTI Resource) 0016 Studymate.qti |
|
0017 LO003\ |
|
Resource 0006 (QTI Assessment Resource) 0018 Quiz1.qti |
|
Resource 0007 (Associated Content Resource for Resource 0006) 0019 Sample.doc 0020 Images\ 0021 Ques001.gif 0022 Ques002_a.gif |
|
|
|
Legend |
|
|
|
|
|
|
Web Content Resource |
|
|
|
|
|
Learning Application Object |
|
|
|
|
|
Associated Content Resource |
|
|
|
|
----- |
Empty Line |
5.2.4 Relative Paths
The following table illustrates all valid relative file reference scenarios for each resource.
5.2.4.1 Valid Relative File References
|
Resource |
Valid Relative References |
|---|---|
|
Resource 0001 |
Resource 0001, Resource 0002 |
|
Resource 0002 |
Resource 0001, Resource 0002 |
|
Resource 0003 |
Resource 0001, Resource 0002, Resource 0004 |
|
Resource 0004 |
Resource 0001, Resource 0002, Resource 0004 |
|
Resource 0005 |
Resource 0001, Resource 0002 |
|
Resource 0006 |
Resource 0001, Resource 0002, Resource 0007 |
|
Resource 0007 |
Resource 0001, Resource 0002, Resource 0007 |
The following three tables illustrate the required relative path to access another file in the root directory of another resource. An X in a box indicates that a relative reference to files in that resource are not allowed.
5.2.4.2 Relative Paths for Sample 1
|
Relative path to file in root of resource # |
|||||||
|
Resource |
0001 |
0002 |
0003 |
0004 |
0005 |
0006 |
0007 |
|
0001 |
./ |
./ |
X |
X |
X |
X |
X |
|
0002 |
./ |
./ |
X |
X |
X |
X |
X |
|
0003 |
../ |
../ |
X |
./ |
X |
X |
X |
|
0004 |
../ |
../ |
X |
./ |
X |
X |
X |
|
0005 |
../ |
../ |
X |
X |
X |
X |
X |
|
0006 |
../ |
../ |
X |
X |
X |
X |
X |
|
0007 |
../ |
../ |
X |
X |
X |
./ |
./ |
5.2.4.3 Relative Paths for Sample 2
|
Relative path to file in root of resource # |
|||||||
|
Resource |
0001 |
0002 |
0003 |
0004 |
0005 |
0006 |
0007 |
|
0001 |
./ |
./ |
X |
X |
X |
X |
X |
|
0002 |
./ |
./ |
X |
X |
X |
X |
X |
|
0003 |
../../ |
../ |
X |
./ |
X |
X |
X |
|
0004 |
../../ |
../../ |
X |
./ |
X |
X |
X |
|
0005 |
../../ |
../../ |
X |
X |
X |
X |
X |
|
0006 |
../../ |
../../ |
X |
X |
X |
X |
X |
|
0007 |
../../ |
../../ |
X |
X |
X |
./ |
./ |
5.2.4.4 Relative Paths for Sample 3
|
Relative path to file in root of resource # |
|||||||
|
Resource |
0001 |
0002 |
0003 |
0004 |
0005 |
0006 |
0007 |
|
0001 |
./ |
./ |
X |
X |
X |
X |
X |
|
0002 |
./ |
./ |
X |
X |
X |
X |
X |
|
0003 |
../../content/ |
../../content/ |
X |
./ |
X |
X |
X |
|
0004 |
../../content/ |
../../content/ |
X |
./ |
X |
X |
X |
|
0005 |
../../content/ |
../../content/ |
X |
X |
X |
X |
X |
|
0006 |
../../content/ |
../../content/ |
X |
X |
X |
X |
X |
|
0007 |
../../content/ |
../../content/ |
X |
X |
X |
./ |
./ |
5.3 Content & Assessment Issues
5.3.1 Course Essentials
-
Provide comprehensive information about the course and its content, including, but not limited to:
- Full book title (including edition). If there is no corresponding book, provide the course title.
- Author(s)
- ISBN
- Publisher/Imprint/Business Unit/Discipline.
- Appropriate contact information, including editorial/author/support (email, phone number, etc.).
- Full URLs of any associated websites, along with appropriate access information if protected.
- A list of any special plug-ins or enabling technologies required for satisfactory use.
- Whenever possible, develop content for the broadest base of browser versions and operating systems in current use. Keep in mind that not everyone has the latest and greatest.
- Provide details for content (file types, how it is presented, etc.)
- Provide appropriate copyright information, including any restrictions on the content's use.
5.3.2 Course Design
5.3.2.1 Keep it Simple!
Specialized coding, such as custom JavaScript modules, may work beautifully in one LMS/CMS environment, but may not work at all in another. Avoid it.
Use consistent file naming, with shorter file names wherever possible.
Avoid the use of glyphs, such as curly or typographer's quotation marks, which may not render properly in some platforms. Unfortunately, curly quotes is a default setting in MS Word. When this feature is active, straight quotation marks are automatically changed to curly quotes while typing. Disable it when authoring content for the Common Cartridge.
5.3.2.2 Keep it Small!
Always keep course size in mind when designing and building a course. If any modules or features are repeated throughout the course, place them in a section that can hold these common elements. Doing this can dramatically cut down on the size of the cartridge. Optimally, a course should not be larger than 100 MB. Better yet, whenever possible, put larger, commonly-used files on a server, external to the course, and link to them there.
5.3.2.3 Use External Servers for Large and Commonly Used Files
Large files (such as PPT, Word/Excel, PDFs, movies and other media) generally should not be included within a course. Anything loaded within the course will tend to enlarge the course size and this will increase the time to download a course. When multiple instances of a course are installed on a server to support multiple sections, significant server space may be needlessly consumed with redundant content. Content stored on external servers will need to be made available to course users, though. For publishers, this will likely mean hosting content on a server that is globally accessible from the Internet. For a locally-produced university course, this may mean hosting content on a server accessible by the intended users - wherever they are, inside or outside of the university firewall.
5.3.2.4 Avoid "Platform-Specific" Language/Icons
Sometimes "platform-specific" language appears in assessments and or other pages of a course. This could be anything from instructions on how to submit a quiz for grading to module-specific information. Avoid such platform-specific language and/or icons in your course content.
5.3.2.5 Plan for Change
A professor can alter the look/feel of a course within minutes of installing it on a university server, so the design of a course should be kept clean and simple. Provide a simple yet professional banner and icon set for the course. It may be possible to use a generic set of icons for all courses.
5.3.2.6 Make it Compatible
-
Some platforms support multiple correct answers, while others may not. Some CMS support tutorial mode - where questions are presented one at a time - while others may not. Some systems may re-order questions. Some systems may support hints or feedback, but that feedback is generally for right or wrong answers and rarely support individualized feedback for each specific answer. Develop questions that will work on all platforms.
Develop assessments that the Common Cartridge currently supports:
- Multiple choice, single response
- Multiple choice, multiple response
- True/false
- Essay
- Fill-in-the-blank
- Patternmatch
-
See the Common Cartridge specifications for more information about the individual question types.
An assessment may include a reading, image, hyperlink to another website, or a set of instructions at the top of the quiz that are needed for the student to answer the questions. Decide how to handle these questions. The information can be included in each question, or the question can include a link to it.
Try to keep the quizzes in a course to a reasonable number. Otherwise, an instructor may encounter problems when using the course gradebook.
5.6 Future Development
It is planned to include a further Learning Tools Interoperability resource type in CC when the LTI specification has been finalized.
The 1EdTech Content Packaging specification v1.2 is to be augmented with guidance on how to namespace in accessibility meta-data. It is intended that CC practice will follow the same approach, hence users wishing to implement support for accessibility should follow the CPv1.2 guidance.
The 1EdTech CC K12 group is currently compiling recommendations for additional features for CC required by the K12 community. These will be considered for inclusion in the next and subsequent releases of CC.
6. Conformance
-
The Common Cartridge schema which profiles the CPv1.2 schema and the schemas which profile CC usage of LOM Metadata v1.0 and QTI v1.2.1 have been defined using the 1EdTech SchemaProf tool v1.0. The tool produces a set of derived schemas, corresponding to the CC schema and its profiled auxiliary schemas, against which any cartridge must validate.
SchemaProf also allows the application of additional constraints which further constrain how CC may be used. These encompass:
- Static constraints: The parameters (e.g. file names) are fixed in the profile
(Example: imsmanifest.xml must exist at the root of the package) - Dynamic constraints: The parameters are taken from an instance document in the package (Example: href of a resource must point to a QTI file
- Conditional constraints: The constraint depends on a condition
(Example: If parameter `contenttype' is `question' then attribute `href' must point to a QTI file). -
To be deemed to comply with the CC specification, cartridges must:
- Successfully validate against the CC schema set
- Satisfy all of the additional constraints.
6.1 Cartridge Compliance
1EdTech GLC will distribute a self-test tool to enable implementers to test their cartridges for compliance with the specification. Visit /cc/alliance.html to access the latest version of the tool and its documentation.
6.1.1 Cartridge Authorization
6.1.1.1 Unprotected Cartridges
Use of CC Authorization for content protection is entirely optional for publishers and content providers. Therefore unprotected cartridges which meet the CC conformance requirements can claim CC compliance.
6.1.1.2 Protected Cartridges
-
In addition to meeting the other conformance requirements, protected cartridges must also meet the following requirements in order to achieve CC compliance:
- Protected cartridges must include the standard CC Authorization meta-data. Optionally, they may also include proprietary authorization meta-data.
- The web service indicated in the standard CC Authorization meta-data must be a fully functioning standard CC Authorization web service.
- A user with a valid license must be able to obtain permission to access the protected resources in a cartridge by passing a valid access code to the standard CC Authorization web service (i.e. the referenced standard CC Authorization service may not be used simply to block access in the non-proprietary use case).
6.1.2 Cartridge Assessments & Question Banks
-
The Common Cartridge supports profiles of the following question types:
- Multiple Choice (Single Response)
- Multiple Choice (Multiple Response)
- True/False
- Essay
- Simple Fill in the Blank - single response box with single correct answer that is processed as an exact match
- Pattern Match - single response box with multiple potential answers that support exact match, containment matching and regular expression matching
-
The profiles for each of these question types describe how they support optional features such as:
- feedback
- hints
- sample solutions
- relative scoring
-
In addition, questions support optional meta-data attributes which describe:
- a suggested weighting for the question in the assessment
- a category for the question.
-
Section 4.10 describes the use of these features as they are supported by the CC profile of QTIv1.2.1. Cartridge implementers wishing to use these optional features must adhere to the CC QTI schema and cartridges will be tested for compliance. However, it should be noted that support for these optional features is not mandatory for CC compliant platforms. Thus it cannot be assumed that all optional QTI features harnessed in a cartridge will be supported by a given platform.
6.1.3 Scope of Cartridge Tests
-
The self-test tool will:
- Test unzipping the cartridge.
- Test correctness and completeness of references in imsmanifest.
- Do XML validation of all XML files in the cartridge using namespaces for which profiles are defined in the CC spec (including imsmanifest and all QTI files).
- Report XML files in the package which were not checked (either since they did not concern CC or the namespace given was incorrect).
- Do Schematron validation for all XML files in the package for which the CC spec has defined conditional modifications.
- Enable further Content Packaging specific tests, not currently required by the CC profile (n.b. for inter-package references using xpointer, the test will confirm the existence of the remote package, but will not interrogate its content).
- Add support for additional constraints as created with SchemaProf, including:
- Checking restriction of Mime types and file size.
- Validating XML files in the package against arbitrary schemas specified in the domain profile.
- Check correct use of VDEX vocabularies.
- Perform full validation against auxiliary profiles including an assertions and constraints associated with them.
6.1.4 Limitations of Cartridge Testing
- The testing tool will ensure the presence of appropriate media files for a learning application resource (e.g., mpg, jpg), but not verify their internal structure.
- The testing tool will not apply run-time tests to the cartridge content.
- CC requires that the cartridge meta-data identifies any client-side players or web-browser plug-ins required to run the content. This is expressed as free-text and so will not be tested.
6.1.5 Cartridge Additional Constraints
Appendix C lists the schema modifications and assertions imposed on the CC profile schema set. Appendix D lists the schematron rules applied to candidate cartridges. Note that these lists may be extended in the future and implementers are advised to access the most current list from: /cc/alliance.html
6.2 LMS Compliance
-
From an LMS perspective, the CC specification defines:
- The syntax for cartridges which a platform must be able to successfully import.
- A set of features that the LMS must be capable of supporting at runtime.
-
The criteria for platform compliance are:
- Successful import of compliant cartridges without error.
- Correct runtime delivery of the content and features defined in compliant cartridges.
- Support for CC Authorization, the level of which determines the level of compliance (namely CC or CC lite) that the platform can claim against the CC specification.
-
No runtime model is defined for Common Cartridge, this being left as an issue for the implementer and therefore runtime behavior (in particular presentation) will differ across platforms.
A test data set of cartridges has been constructed for evaluating platform compliance as is described below.
Platform vendors are required to assess compliance by self-inspection using the available test data set corresponding to the version of CC that they have implemented.
6.2.1 CC Compliance
-
Only platforms which:
- Meet the conformance requirements identified in the CC specification and
- Fully implement the CC Authorization service
-
can claim CC compliance.
6.2.2 CC Lite Compliance
-
Full implementation of the CC Authorization service is not a requirement for `CC lite' compliance. However, only platforms which meet the conformance requirements of the CC specification and which either:
- Routinely deny import of protected cartridges and deny any access to protected content, or
- Are able to process the additional proprietary authorization information included in a cartridge
-
can claim `CC lite' compliance. It should be noted that systems which only support proprietary authorization will not be able to run cartridges which only include the open CC Authorization meta-data, hence their designation as being `CC lite' compliant.
All systems must at least respect the implied restrictions placed on content as indicated by the CC Authorization meta-data that may exist in a cartridge. If a system that does not implement the CC Authorization service encounters a common cartridge that includes CC Authorization meta-data, the system must not import the cartridge. Instead the system should abort the import of the cartridge with an indication of the reason provided through an appropriate mechanism. If the import operation is interactive, a message should be displayed directly to the user. If the import operation is a batch or automated process, notification should be logged with any audit data provided.
The CC Authorization service is intended to provide an alternative to existing proprietary models for controlling access to content via an access code redemption model. However, the Common Cartridge specification also allows the inclusion of additional proprietary authorization information so that proprietary authorization models may be implemented alongside the standard CC Authorization model.
6.2.3 Cartridge Assessments & Question Banks
Section 4.9 describes the use of optional QTI features as they are supported by the CC profile of QTIv1.2.1. LMS platforms must support the six basic question types, but it is not mandated that an LMS platform must support any of these optional features. Thus when a compliant platform encounters such optional features included in a cartridge, the platform is at liberty to ignore any which it does not implement.
The 1EdTech QTI specification offers great flexibility for implementers to select those features they wish to support or are required by their users. Given the present variability in existing QTI implementations, it is not feasible at this stage to mandate that all platforms must support all optional features associated with the supported question types.
6.2.4 LMS Testing
-
The LMS vendor will conduct a self-administered test, based on the CC test data set. The platform must correctly import, store and deliver all of the examples in the test data set.
The following guidelines are offered for testing import of Common Cartridges into an LMS:
- On import LMS should confirm that package has imported properly or that there were errors importing the package. Error messages should attempt to direct the user to the problem within the package such as identify a resource that could not be located within the package.
- If the package requires import authorization, the LMS should prompt the user for an authorization key and confirm the authorization through the specified web service. If the LMS does not support authorization, the package should be rejected.
- Verify that each item listed in the manifest appears in the content area for the course. The browsing structure should match that in the manifest.
- Test each media link to confirm that it responds properly. Web content links should direct you to the appropriate site. References to content local to the package should a) find the referenced media and b) open the media with the appropriate device. (It is appropriate to attach a style sheet for html content local to the package. These style sheets should be respected in the display of content.)
- If authorization is required at the content level, confirm that the LMS directs the user through the authorization process (same as above) prior to allowing access to the content. Authorization is not required for administrators or instructors. Again, if authorization is not supported, access to the content should be denied.
- Assessment items: Import will vary depending on the LMS. However, the LMS should support any assessment option (time limit, feedback, question type) that is available for native content.
- Verify that discussion topics import into a discussion forum appropriate for the course. A new topic should be created using the <text> in the xml as the prompt. Check each attachment link. Post to the topic as a test.
6.3 Test Data Set
-
A test data set of cartridges is available to members of the CC Alliance to enable self-testing of platforms for CC compliance. The test data set is comprised of two sets of example cartridges:
- Valid cartridges which exercise the scope of the features supported in the Common Cartridge.
- Known error cartridges which provide coverage of errors liable to occur in cartridges.
-
Implementers requiring access to the test data set should visit: /cc/jointhealliance.cfm
Appendix A - Profile XSDs
The Common Cartridge profile schema and auxiliary schemas are located at: /profile/cc/ccv1p0/
The following table lists the namespaces applied to the CC profile, each with the corresponding physical location for the actual schema.
Table A.1: Map of namespaces to schema locations.
|
Namespace |
Path |
|---|---|
|
/xsd/imscp_v1p1 |
/profile/cc/ccv1p0/derived_schema/imscp_v1p2.xsd |
|
/xsd/imscc/imscp_v1p1 |
/profile/cc/ccv1p0/derived_schema/imscp_v1p2_localised.xsd |
|
/xsd/imsccauth_v1p0 |
/profile/cc/ccv1p0/derived_schema/domainProfile_0/imsccauth_v1p0_localised.xsd |
|
http://ltsc.ieee.org/xsd/imscc/LOM |
/profile/cc/ccv1p0/derived_schema/domainProfile_1/lomLoose_localised.xsd |
|
http://ltsc.ieee.org/xsd/imscc/LOM/unique |
/profile/cc/ccv1p0/derived_schema/domainProfile_1/loose.xsd |
|
http://ltsc.ieee.org/xsd/imscc/LOM/vocab |
/profile/cc/ccv1p0/derived_schema/domainProfile_1/vocab/loose.xsd |
|
http://ltsc.ieee.org/xsd/imscc/LOM/extend |
/profile/cc/ccv1p0/derived_schema/domainProfile_1/extend/custom.xsd |
|
http://ltsc.ieee.org/xsd/LOM |
/profile/cc/ccv1p0/derived_schema/domainProfile_2/lomLoose_localised.xsd |
|
http://ltsc.ieee.org/xsd/LOM/unique |
/profile/cc/ccv1p0/derived_schema/domainProfile_2/loose.xsd |
|
http://ltsc.ieee.org/xsd/LOM/vocab |
/profile/cc/ccv1p0/derived_schema/domainProfile_2/vocab/loose.xsd |
|
http://ltsc.ieee.org/xsd/LOM/extend |
/profile/cc/ccv1p0/derived_schema/domainProfile_2/extend/custom.xsd |
|
/xsd/imscp_extensionv1p2 |
/profile/cc/ccv1p0/derived_schema/domainProfile_3/imscp_extensionv1p2_localised.xsd |
|
/xsd/ims_qtiasiv1p2 |
/profile/cc/ccv1p0/derived_schema/domainProfile_4/ims_qtiasiv1p2_localised.xsd |
|
/xsd/imswl_v1p0 |
/profile/cc/ccv1p0/derived_schema/domainProfile_5/imswl_v1p0_localised.xsd |
|
/xsd/imsdt_v1p0 |
/profile/cc/ccv1p0/derived_schema/domainProfile_6/imsdt_v1p0_localised.xsd |
Appendix B - Profile Schema Package
-
The full set of files that define the Common Cartridge Application Profile are available as ccv1p0.zip.
The following files are located in the root directory of the zip-file:
- imscp_v1p2.xsd - the original xsd for Content Packaging v1.2
- imscc_c1p2maeV0p15.xml - defines the modifications made to the CPv1.2 xsd in creating the CC profile.
- index.xml
- license.html
-
There are also a number of subdirectories off the root, each containing a zip-file of an auxiliary profile as follows:
|
/profile_0/imscc_a.zip |
Authorization profile |
|
/profile_1/imscc_e.zip |
Content Packaging extensions profile |
|
/profile_2/imscc_m.zip |
Cartridge meta-data IEEE LOM (loose binding) profile |
|
/profile_3/imscc_mR.zip |
Roles meta-data IEEE LOM (loose binding) profile |
|
/profile_4/imscc_q.zip |
Question & Test Interoperability profile |
|
/profile_5/imscc_w.zip |
1EdTech weblinks |
|
/profile_6/imscc_d.zip |
Discussion topics profile |
These profiles are provided for inspection with the 1EdTech SchemaProf tool.
Finally, the /derived_schema subdirectory contains the profiled XML schemas and Schematron rules. Only the files within this directory are used by the 1EdTech Common Cartridge Test System. The derived schemas have names of the form _localised.xsd while the files containing the derived Schematron rules have names ending in _constraintsDocument.scmt.
The derived data for the 1EdTech Content Packaging Profile is located immediately in the directory derived_schema. The data for the auxiliary profiles are in the subdirectories named domainProfile_0,, domainProfile_6.
The file derived_schema/config.xml maps the namespaces specified in the Common Cartridge profile to the locations of the derived data (i.e. below the /derived_schema directory) defining the respective namespace.
Table B.1 Mappings in /derived_schemas/config.xml.
|
Namespace |
xsd Location in Schema Package |
|---|---|
|
/xsd/imscp_v1p1 |
/derived_schema/imscp_v1p2.xsd |
|
/xsd/imscc/imscp_v1p1 |
/derived_schema/imscp_v1p2_localised.xsd |
|
/xsd/imsccauth_v1p0 |
/derived_schema/domainProfile_0/ |
|
http://ltsc.ieee.org/xsd/imscc/LOM |
/derived_schema/domainProfile_1/lomLoose_localised.xsd |
|
http://ltsc.ieee.org/xsd/imscc/LOM/unique |
/derived_schema/domainProfile_1/loose.xsd |
|
http://ltsc.ieee.org/xsd/imscc/LOM/vocab |
/derived_schema/domainProfile_1/vocab/loose.xsd |
|
http://ltsc.ieee.org/xsd/imscc/LOM/extend |
/derived_schema/domainProfile_1/extend/custom.xsd |
|
http://ltsc.ieee.org/xsd/LOM |
/derived_schema/domainProfile_2/lomLoose_localised.xsd |
|
http://ltsc.ieee.org/xsd/LOM/unique |
/derived_schema/domainProfile_2/loose.xsd |
|
http://ltsc.ieee.org/xsd/LOM/vocab |
/derived_schema/domainProfile_2/vocab/loose.xsd |
|
http://ltsc.ieee.org/xsd/LOM/extend |
/derived_schema/domainProfile_2/extend/custom.xsd |
|
/xsd/imscp_extensionv1p2 |
/derived_schema/domainProfile_3/imscp_extensionv1p2_localised.xsd |
|
/xsd/ims_qtiasiv1p2 |
/derived_schema/domainProfile_4/ims_qtiasiv1p2_localised.xsd |
|
/xsd/imswl_v1p0 |
/derived_schema/domainProfile_5/imswl_v1p0_localised.xsd |
|
/xsd/imsdt_v1p0 |
/derived_schema/domainProfile_6/imsdt_v1p0_localised.xsd |
The Common Cartridge schema package defines the file locations for the namespaced profile schemas in the file /derived_schema/config.xml
The auxiliary profiles are situated in the profile_0..6 subdirectories of the unzipped profile. They can be directly loaded as zip with SchemaProf for inspection.
The derived schemas and Schematron rules used for testing are in the subdirectory derived_schema.
/derived_schema/config.xml maps namespaces to the locations of the derived schemas where they are defined.
Appendix C - CC Changes to Profiled Base Schemas
C1 - Application Profile Modifications to Content Packaging v1.2 Schema
In the CC schema package ccv1p0.zip the file /imscc_c1p2maeV0p15.xml documents the modifications made to the CPv1.2 schema for the CC profile. The contents of the file are reproduced below.
<?xml version="1.0" encoding="UTF-8" ?>
- <sp:schema_mod baseSchema="imscp_v1p2.xsd" level="restrictive" profileNamespace="/xsd/imscc/imscp_v1p1" xmlns="/xsd/imscp_v1p1" xmlns:ac="http://iwm.uni-koblenz.de/xsd/tel_addc_v1p1" xmlns:sp="http://iwm.uni-koblenz.de/xsd/ims_apv1p6" xmlns:xs="http://www.w3.org/2001/XMLSchema" xmlns:xsi="http://www.w3.org/2001/XMLSchema-instance" xsi:schemaLocation="http://iwm.uni-koblenz.de/xsd/ims_apv1p6 http://iwm.uni-koblenz.de/xsd/ims_apv1p6">
- <sp:annotation>
<sp:documentation category="general" xml:lang="en">This profile of 1EdTech Content Packaging is based on the status of the Common Cartridge Specification as of June 30, 2008. It has been created by Ingo Dahn.</sp:documentation>
<sp:documentation category="name" xml:lang="en">1EdTech Common Cartridge Application Profile</sp:documentation>
<sp:documentation category="scope" xml:lang="en">This profile combines profiles of 1EdTech Content Packaging 1.2 and IEEE LOM. Moreover the 1EdTech Common Cartridge Authorization Schema has been added as a profile. The 1EdTech Common Cartridge profile of QTI 1.2 has been added manually.</sp:documentation>
</sp:annotation>
- <sp:modifications>
- <sp:modification element="/xs:schema/xs:complexType[@name='Dependency.Type']">
- <sp:assertion cnd="cnd9" subelement="./xs:attribute[@name='identifierref']">
- <sp:annotation>
<sp:documentation category="explanation" xml:lang="en">A Resource object which is a Learning Object Web Content may contain Dependency objects which reference Resource objects with Type 'webcontent'.(#S03)</sp:documentation>
</sp:annotation>
<sp:test>current() = /manifest/resources/resource[@type='webcontent']/@identifier</sp:test>
</sp:assertion>
</sp:modification>
- <sp:modification element="/xs:schema/xs:complexType[@name='Item.Type']">
- <sp:cardinality maxOccurs="1" minOccurs="1" subelement="./xs:sequence[1]/xs:element[1]">
- <sp:annotation>
<sp:documentation category="explanation" xml:lang="en">Every Item object with the exception of the root Item must contain a Title object.</sp:documentation>
</sp:annotation>
</sp:cardinality>
- <sp:cardinality maxOccurs="unbounded" minOccurs="0" subelement="./xs:sequence[1]/xs:element[2]">
- <sp:annotation>
<sp:documentation category="explanation" xml:lang="en">An item which represents a folder must not have subitems. This is encoded as an assertion at item/@identifierref</sp:documentation>
</sp:annotation>
</sp:cardinality>
- <sp:assertion subelement="./xs:attribute[@name='identifierref']">
- <sp:annotation>
<sp:documentation category="explanation" xml:lang="en">An Item object which represents a folder is indicated by the absence of an IdentifierRef characteristic object. Folder Items support unlimited nesting of other folder Items and learning object link Items. Learning Application Resource Item objects may be nested by folder Item object but may not nest other folder or Learning Application resource Item objects.(#S04)</sp:documentation>
</sp:annotation>
<sp:test>count(../item)=0</sp:test>
</sp:assertion>
- <sp:attribute_properties subelement="./xs:attribute[@name='isvisible']" type="NoIsVisible" use="prohibited">
- <sp:annotation>
<sp:documentation category="explanation" xml:lang="en">The use of the isvisible attribute of the item element is prohibited. Instead, roles should be used to determine resources which are for instructors only.</sp:documentation>
</sp:annotation>
</sp:attribute_properties>
- <sp:attribute_properties subelement="./xs:attribute[@name='parameters']" type="NoParameters" use="prohibited">
- <sp:annotation>
<sp:documentation category="explanation" xml:lang="en">Parameters characteristic object of Item is prohibited by Common Cartridge</sp:documentation>
</sp:annotation>
</sp:attribute_properties>
- <sp:assertion cnd="cnd1" subelement=".">
- <sp:annotation>
<sp:documentation category="explanation" xml:lang="en">If an item is invisible, its descendants must be invisible too.(#S02)</sp:documentation>
</sp:annotation>
<sp:test>count(./item)=count(./item[@isvisible='false'])</sp:test>
</sp:assertion>
</sp:modification>
- <sp:modification element="/xs:schema/xs:complexType[@name='Manifest.Type']">
- <sp:cardinality maxOccurs="1" minOccurs="1" subelement="./xs:sequence[1]/xs:element[1]">
- <sp:annotation>
<sp:documentation category="explanation" xml:lang="en">The metadata element must be present at the manifest level.</sp:documentation>
</sp:annotation>
</sp:cardinality>
- <sp:cardinality maxOccurs="0" minOccurs="0" subelement="./xs:sequence[1]/xs:element[4]">
- <sp:annotation>
<sp:documentation category="explanation" xml:lang="en">A manifest in an 1EdTech Common Cartridge cannot contain submanifests.</sp:documentation>
</sp:annotation>
</sp:cardinality>
- <sp:modification element="./xs:sequence[1]/xs:group[1]">
<sp:element_extension maxOccurs="unbounded" minOccurs="0" profile="profile_0/imscc_a.zip" subelement="./xs:sequence[1]/xs:any[1]" />
</sp:modification>
</sp:modification>
- <sp:modification element="/xs:schema/xs:complexType[@name='ManifestMetadata.Type']">
- <sp:cardinality maxOccurs="1" minOccurs="1" subelement="./xs:sequence[1]/xs:element[1]">
- <sp:annotation>
<sp:documentation category="explanation" xml:lang="en">The schema element must be present in metadata at manifest level.</sp:documentation>
</sp:annotation>
</sp:cardinality>
- <sp:modification element="./xs:sequence[1]/xs:element[1]">
- <sp:attribute_properties fixed="1EdTech Common Cartridge" subelement="." type="schemaFixed">
- <sp:annotation>
<sp:documentation category="explanation" xml:lang="en">The schema element of the metadata at the manifest level must have the value '1EdTech Common Cartridge'</sp:documentation>
</sp:annotation>
</sp:attribute_properties>
</sp:modification>
- <sp:cardinality maxOccurs="1" minOccurs="1" subelement="./xs:sequence[1]/xs:element[2]">
- <sp:annotation>
<sp:documentation category="explanation" xml:lang="en">The schemaversion element of the metadata at the manifest level must be present.</sp:documentation>
</sp:annotation>
</sp:cardinality>
- <sp:modification element="./xs:sequence[1]/xs:element[2]">
- <sp:attribute_properties fixed="1.0.0" subelement="." type="schemaversionFixed">
- <sp:annotation>
<sp:documentation category="explanation" xml:lang="en">The schemaversion element of the metadata at the manifest level must have the value '1.0.0'.</sp:documentation>
</sp:annotation>
</sp:attribute_properties>
</sp:modification>
- <sp:modification element="./xs:sequence[1]/xs:group[1]">
- <sp:element_extension maxOccurs="unbounded" minOccurs="0" profile="profile_2/imscc_m.zip" subelement="./xs:sequence[1]/xs:any[1]">
- <sp:annotation>
<sp:documentation category="explanation" xml:lang="en">At the manifest level, the Common Cartridge profile of IEEE LOM loose must be used, which corresponds to unqualified Dublin Core.</sp:documentation>
</sp:annotation>
</sp:element_extension>
</sp:modification>
</sp:modification>
- <sp:modification element="/xs:schema/xs:complexType[@name='Metadata.Type']">
- <sp:modification element="./xs:sequence[1]/xs:group[1]">
- <sp:element_extension maxOccurs="unbounded" minOccurs="0" profile="profile_3/imscc_mR.zip" subelement="./xs:sequence[1]/xs:any[1]">
- <sp:annotation>
<sp:documentation category="explanation" xml:lang="en">For the metadata at the resource level IEEE LOM must be used. Roles of 'Learner' and 'Instructor' can be used as 'intendedEndUserRole'.</sp:documentation>
</sp:annotation>
</sp:element_extension>
</sp:modification>
</sp:modification>
- <sp:modification element="/xs:schema/xs:complexType[@name='Organization.Type']">
- <sp:cardinality maxOccurs="1" minOccurs="1" subelement="./xs:sequence[1]/xs:element[2]">
- <sp:annotation>
<sp:documentation category="explanation" xml:lang="en">A cartridge with a folder Organization should always be rooted on a single Item container object. It is not permissible to have two sibling Item containers below the Organization. The root Item container object just represents the root node of the Organization tree and has no other semantic or presentational meaning.</sp:documentation>
</sp:annotation>
</sp:cardinality>
- <sp:modification element="./xs:sequence[1]/xs:element[2]">
- <sp:cardinality maxOccurs="0" minOccurs="0" subelement="./xs:sequence[1]/xs:element[1]">
- <sp:annotation>
<sp:documentation category="explanation" xml:lang="en">The root item element must not contain a Title value object.</sp:documentation>
</sp:annotation>
</sp:cardinality>
- <sp:attribute_properties subelement="./xs:attribute[@name='identifierref']" type="NoIdentifierRef" use="prohibited">
- <sp:annotation>
<sp:documentation category="explanation" xml:lang="en">The root <item> element must not be a Learning Object Item.</sp:documentation>
</sp:annotation>
</sp:attribute_properties>
- <sp:attribute_properties subelement="./xs:attribute[@name='parameters']" type="NoParameter" use="prohibited">
- <sp:annotation>
<sp:documentation category="explanation" xml:lang="en">Parameters characteristic object of Item is prohibited by CC</sp:documentation>
</sp:annotation>
</sp:attribute_properties>
</sp:modification>
- <sp:attribute_properties fixed="rooted-hierarchy" subelement="./xs:attribute[@name='structure']" type="rootedHierarchy" use="required">
- <sp:annotation>
<sp:documentation category="explanation" xml:lang="en">The Organization object must contain a Structure characteristic object with the value rooted-hierarchy.</sp:documentation>
</sp:annotation>
</sp:attribute_properties>
</sp:modification>
- <sp:modification element="/xs:schema/xs:complexType[@name='Organizations.Type']">
- <sp:cardinality maxOccurs="1" minOccurs="0" subelement="./xs:sequence[1]/xs:element[1]">
- <sp:annotation>
<sp:documentation category="explanation" xml:lang="en">The folder content type is represented by the 1EdTech Organizations container object type. A common cartridge may have a single Organization or no Organization. Only 'Learner Experience' resources may be included in the <organization> hierarchy. Operational data (authentication, cartridge-level metadata) are defined via discrete resource types within the package. Supplemental resources must not appear in the organization. The LMS provides a way for the instructor/facilitator to inspect/deploy/utilize these resources as they see fit.</sp:documentation>
</sp:annotation>
</sp:cardinality>
- <sp:attribute_properties subelement="./xs:attribute[@name='default']" type="defaultOrganizationProhibited" use="prohibited">
- <sp:annotation>
<sp:documentation category="explanation" xml:lang="en">The Default characteristic of the Organizations object is prohibited as it has no meaning in Common Cartridge.</sp:documentation>
</sp:annotation>
</sp:attribute_properties>
</sp:modification>
- <sp:modification element="/xs:schema/xs:complexType[@name='Resource.Type']">
- <sp:cardinality maxOccurs="unbounded" minOccurs="0" subelement="./xs:sequence[1]/xs:element[2]">
- <sp:annotation>
<sp:documentation category="explanation" xml:lang="en">The number of files must be 1 for some resource types. This is defined as an assertion for Resource.Type</sp:documentation>
</sp:annotation>
</sp:cardinality>
- <sp:cardinality maxOccurs="unbounded" minOccurs="0" subelement="./xs:sequence[1]/xs:element[3]">
- <sp:annotation>
<sp:documentation category="explanation" xml:lang="en">Dependencies are not allowed or mandatory for certain resource types. This is defined at the Resource.Type.</sp:documentation>
</sp:annotation>
</sp:cardinality>
- <sp:assertion cnd="cnd0" subelement="./xs:sequence[1]/xs:element[3]">
- <sp:annotation>
<sp:documentation category="explanation" xml:lang="en">A Resource object which is a Discussion Topic associated resource may contain Dependency objects which reference Resource objects with Type 'webcontent' or 'associatedcontent/imscc_xmlv1p0/learning-application-resource'.(#S12)</sp:documentation>
</sp:annotation>
<sp:test>current()/@identifierref = /manifest/resources/resource[@type='webcontent']/@identifier or current()/@identifierref = /manifest/resources/resource[@type='associatedcontent/imscc_xmlv1p0/learning-application-resource']/@identifier</sp:test>
</sp:assertion>
- <sp:assertion cnd="cnd14" subelement="./xs:sequence[1]/xs:element[3]">
<sp:test>current()/@identifierref = /manifest/resources/resource[@type='webcontent']/@identifier</sp:test>
</sp:assertion>
- <sp:assertion cnd="cnd16" subelement="./xs:sequence[1]/xs:element[3]">
- <sp:annotation>
<sp:documentation category="explanation" xml:lang="en">A Resource object which is an assessment may contain Dependency objects which reference Resource objects with Type 'webcontent' or 'associatedcontent/imscc_xmlv1p0/learning-application-resource'.(#S14)</sp:documentation>
</sp:annotation>
<sp:test>(current()/@identifierref = /manifest/resources/resource[@type='webcontent']/@identifier) or (current()/@identifierref = /manifest/resources/resource[@type='associatedcontent/imscc_xmlv1p0/learning-application-resource']/@identifier)</sp:test>
</sp:assertion>
<sp:attribute_properties subelement="./xs:attribute[@name='type']" type="predefinedContentTypes" />
- <sp:attribute_properties subelement="./xs:attribute[@name='href']">
- <sp:annotation>
<sp:documentation category="explanation" xml:lang="en">For some resource types the href attribute is mandatory or prohibited. This is defined at Resource.Type.</sp:documentation>
</sp:annotation>
</sp:attribute_properties>
- <sp:attribute_extension profile="profile_1/imscc_e.zip profile_0/imscc_a.zip" subelement="./xs:anyAttribute[1]">
- <sp:annotation>
<sp:documentation category="explanation" xml:lang="en">If authorization is applied to individual resources within the cartridge rather than the cartridge as a whole, this can be specified using the Protected characteristic which is an extension characteristic applied to the Resource object. At the extension point of the Resource.Type also the variant element of the content packaging extension schema is allowed.</sp:documentation>
</sp:annotation>
</sp:attribute_extension>
- <sp:assertion cnd="cnd10" subelement=".">
- <sp:annotation>
<sp:documentation category="explanation" xml:lang="en">If a cartridge web content or associated content resource is linked from a Learning Application Object link Item object it must have an Href characteristic object which represents the launchable resource.(#S05)</sp:documentation>
</sp:annotation>
<sp:test>count(./@href)=1</sp:test>
</sp:assertion>
- <sp:assertion cnd="cnd2" subelement=".">
- <sp:annotation>
<sp:documentation category="explanation" xml:lang="en">For Discussion Topic Resources the Resource object must contain a single File object which references the Discussion Topic descriptor XML file which conforms to the /xsd/imsdt_v1p0 schema. It must not have any href attribute.(#S06)</sp:documentation>
</sp:annotation>
<sp:test>count(./file)=1 and count(./@href)=0</sp:test>
</sp:assertion>
- <sp:assertion cnd="cnd3" subelement=".">
- <sp:annotation>
<sp:documentation category="explanation" xml:lang="en">For Web Link Resources the Resource object must contain a single File object which references the Web Link descriptor XML file which conforms to the /xsd/imswl_v1p0 schema. It must contain neither Dependency objects nor an href attribute.(#S07)</sp:documentation>
</sp:annotation>
<sp:test>count(./file)=1 and count(./dependency)=0 and count(./@href)=0</sp:test>
</sp:assertion>
- <sp:assertion cnd="cnd7" subelement=".">
- <sp:annotation>
<sp:documentation category="explanation" xml:lang="en">For Assessment or Question Bank Resources the Resource object must contain a single File object which references the QTI XML file. This file must conform to the 1EdTech CC profile of QTI 1.2.1. The profile is contained in the package of this profile as imscc_q*.xdm. The derived schema of this QTI profile is in the package of this profile with the name ims_qtiasiv1p2_localised.xsd. The resource must not have an href attribute(#S11)</sp:documentation>
</sp:annotation>
<sp:test>count(./file)=1 and count(./@href)=0</sp:test>
</sp:assertion>
</sp:modification>
- <sp:modification element="/xs:schema/xs:group[1]">
- <sp:element_extension maxOccurs="0" minOccurs="0" namespace="##other" subelement="./xs:sequence[1]/xs:any[1]">
- <sp:annotation>
<sp:documentation category="explanation" xml:lang="en">Deactivating all extension points except where explicitly allowed.</sp:documentation>
</sp:annotation>
</sp:element_extension>
</sp:modification>
</sp:modifications>
- <sp:definitions>
<sp:condition id="cnd14" name="InAssociatedContent">../@type='associatedcontent/imscc_xmlv1p0/learning-application-resource'</sp:condition>
<sp:condition id="cnd16" name="InAssessment">../@type='imsqti_xmlv1p2/imscc_xmlv1p0/assessment'</sp:condition>
<sp:condition id="cnd11" name="Resource is Web Content or Associated Content">(../@type='webcontent' or ../@type='associatedcontent/imscc_xmlv1p0/learning-application-resource')</sp:condition>
<sp:condition id="cnd10" name="Referenced Resource is Web Content or Associated Content and is referenced from an Item">(./@type='webcontent' or ./@type='associatedcontent/imscc_xmlv1p0/learning-application-resource') and ./@identifier = //item/@identifierref</sp:condition>
<sp:condition id="cnd13" name="Resource is Question Bank">../@type='imsqti_xmlv1p2/imscc_xmlv1p0/question-bank'</sp:condition>
<sp:condition id="cnd12" name="true">true</sp:condition>
<sp:condition id="cnd8" name="Associated Content, Discussion Topic, Assessment or Question Bank">../@type='associatedcontent/imscc_xmlv1p0/learning-application-resource' or ../@type='imsdt_xmlv1p0' or ../@type='imsqti_xmlv1p2/imscc_xmlv1p0/assessment' or ../@type='imsqti_xmlv1p2/imscc_xmlv1p0/question-bank'</sp:condition>
<sp:condition id="cnd7" name="Assessment or Question Bank">(./@type='imsqti_xmlv1p2/imscc_xmlv1p0/assessment') or (./@type='imsqti_xmlv1p2/imscc_xmlv1p0/question-bank')</sp:condition>
<sp:condition id="cnd3" name="Web Link">./@type='imswl_xmlv1p0'</sp:condition>
<sp:condition id="cnd2" name="Discussion Topic">./@type='imsdt_xmlv1p0'</sp:condition>
<sp:condition id="cnd1" name="Invisible">@isvisible='false'</sp:condition>
<sp:condition id="cnd9" name="Associated Content (context: dependeny-element)">../../@type='associatedcontent/imscc_xmlv1p0/learning-application-resource'</sp:condition>
<sp:condition id="cnd0" name="InDiscussionTopic">../@type='imsdt_xmlv1p0'</sp:condition>
- <xs:simpleType name="NoIdentifierRef">
- <xs:restriction base="xs:string">
<xs:whiteSpace value="preserve" />
</xs:restriction>
</xs:simpleType>
- <xs:simpleType name="NoIsVisible">
- <xs:restriction base="xs:boolean">
<xs:whiteSpace value="collapse" />
</xs:restriction>
</xs:simpleType>
- <xs:simpleType name="NoParameter">
- <xs:restriction base="xs:string">
<xs:whiteSpace value="preserve" />
</xs:restriction>
</xs:simpleType>
- <xs:simpleType name="NoParameters">
- <xs:restriction base="xs:string">
<xs:whiteSpace value="preserve" />
</xs:restriction>
</xs:simpleType>
- <xs:simpleType name="OptionalHref">
- <xs:restriction base="xs:anyURI">
<xs:whiteSpace value="collapse" />
</xs:restriction>
</xs:simpleType>
- <xs:simpleType name="ProhibitedHref">
- <xs:restriction base="xs:anyURI">
<xs:whiteSpace value="collapse" />
</xs:restriction>
</xs:simpleType>
- <xs:simpleType name="RequiredHref">
- <xs:restriction base="xs:anyURI">
<xs:whiteSpace value="collapse" />
</xs:restriction>
</xs:simpleType>
- <xs:simpleType name="defaultOrganizationProhibited">
- <xs:restriction base="xs:IDREF">
<xs:whiteSpace value="collapse" />
</xs:restriction>
</xs:simpleType>
- <xs:simpleType name="isNotVisible">
- <xs:restriction base="xs:boolean">
<xs:whiteSpace value="collapse" />
</xs:restriction>
</xs:simpleType>
- <xs:simpleType name="predefinedContentTypes">
- <xs:restriction base="xs:string">
<xs:whiteSpace value="preserve" />
<xs:enumeration value="imsdt_xmlv1p0" />
<xs:enumeration value="imswl_xmlv1p0" />
<xs:enumeration value="webcontent" />
<xs:enumeration value="imsqti_xmlv1p2/imscc_xmlv1p0/assessment" />
<xs:enumeration value="imsqti_xmlv1p2/imscc_xmlv1p0/question-bank" />
<xs:enumeration value="associatedcontent/imscc_xmlv1p0/learning-application-resource" />
</xs:restriction>
</xs:simpleType>
- <xs:simpleType name="rootedHierarchy">
- <xs:restriction base="xs:string">
<xs:whiteSpace value="preserve" />
</xs:restriction>
</xs:simpleType>
- <xs:simpleType name="schemaFixed">
- <xs:restriction base="xs:string">
<xs:whiteSpace value="preserve" />
</xs:restriction>
</xs:simpleType>
- <xs:simpleType name="schemaversionFixed">
- <xs:restriction base="xs:string">
<xs:whiteSpace value="preserve" />
</xs:restriction>
</xs:simpleType>
- <ac:fileConstraint constrID="imsmanifest.xml exists">
- <ac:fileURI absolute="false">
- <ac:annotation>
<ac:documentation category="explanation" xml:lang="en">At the top level of the package there must be a file named imsmanifest.xml.</ac:documentation>
</ac:annotation>
<ac:specific value="imsmanifest.xml" />
</ac:fileURI>
</ac:fileConstraint>
- <ac:fileConstraint constrID="Referenced files must exist">
- <ac:fileURI absolute="false" format="url">
- <ac:annotation>
<ac:documentation category="explanation" xml:lang="en">Referenced files must exist.</ac:documentation>
</ac:annotation>
- <ac:constraintLocation location="/xs:schema/xs:complexType[@name='Resource.Type']">
<ac:constraintLocation location="./xs:attribute[@name='href']" />
</ac:constraintLocation>
</ac:fileURI>
</ac:fileConstraint>
</sp:definitions>
<sp:mappings />
</sp:schema_mod>
C2 - Application Profile Modifications to the Content Packaging v1.2 Extension Schema
In the CC schema package ccv1p0.zip the zip-file /profile_1/imscc_e.zip contains the file imscc_e.xml which documents the modifications made to the CPv1.2 extension schema for the CC profile. The contents of the file are reproduced below.
<?xml version="1.0" encoding="UTF-8" ?>
- <sp:schema_mod baseSchema="imscp_extensionv1p2.xsd" level="restrictive" profileNamespace="/xsd/imscp_extensionv1p2" xmlns="/xsd/imscp_extensionv1p2" xmlns:ac="http://iwm.uni-koblenz.de/xsd/tel_addc_v1p1" xmlns:sp="http://iwm.uni-koblenz.de/xsd/ims_apv1p6" xmlns:xlink="http://www.w3.org/1999/xlink" xmlns:xs="http://www.w3.org/2001/XMLSchema" xmlns:xsi="http://www.w3.org/2001/XMLSchema-instance" xsi:schemaLocation="http://iwm.uni-koblenz.de/xsd/ims_apv1p6 http://iwm.uni-koblenz.de/xsd/ims_apv1p6">
- <sp:annotation>
<sp:documentation category="general" xml:lang="en">This profile of the extension schema of 1EdTech CP 1.2 restricts extensions to use the variant element only.</sp:documentation>
</sp:annotation>
- <sp:modifications>
- <sp:modification element="/xs:schema/xs:element[1]">
- <sp:assertion subelement=".">
- <sp:annotation>
<sp:documentation category="explanation" xml:lang="en">ipointer ist not allowed in Common Cartridges</sp:documentation>
</sp:annotation>
<sp:test>local-name(.) != 'ipointer'</sp:test>
</sp:assertion>
</sp:modification>
- <sp:modification element="/xs:schema/xs:element[3]">
- <sp:assertion subelement=".">
- <sp:annotation>
<sp:documentation category="explanation" xml:lang="en">lingualTitle is not allowed in Common Cartridges.</sp:documentation>
</sp:annotation>
<sp:test>local-name(.) != lingualTitle</sp:test>
</sp:assertion>
</sp:modification>
</sp:modifications>
<sp:definitions />
<sp:mappings />
</sp:schema_mod>
C3 - Application Profile Modifications to IEEE LOM V1.0 Loose Schema for Cartridge Meta-data (Unqualified Dublin Core)
In the CC schema package ccv1p0.zip the zip-file /profile_2/imscc_m.zip contains the file imscc_m.xml which documents the modifications made to the IEEE Loose schema for the CC Cartridge Metadata profile. The contents of the file are reproduced below.
<?xml version="1.0" encoding="UTF-8" ?>
- <sp:schema_mod baseSchema="lomLoose.xsd" level="restrictive" profileNamespace="http://ltsc.ieee.org/xsd/imscc/LOM" xmlns="http://ltsc.ieee.org/xsd/LOM" xmlns:ac="http://iwm.uni-koblenz.de/xsd/tel_addc_v1p1" xmlns:ag="http://ltsc.ieee.org/xsd/LOM/unique" xmlns:ex="http://ltsc.ieee.org/xsd/LOM/extend" xmlns:sp="http://iwm.uni-koblenz.de/xsd/ims_apv1p6" xmlns:voc="http://ltsc.ieee.org/xsd/LOM/vocab" xmlns:xs="http://www.w3.org/2001/XMLSchema" xmlns:xsi="http://www.w3.org/2001/XMLSchema-instance" xsi:schemaLocation="http://iwm.uni-koblenz.de/xsd/ims_apv1p6 http://iwm.uni-koblenz.de/xsd/ims_apv1p6">
- <sp:annotation>
<sp:documentation category="conformance" xml:lang="en">This profile restricts 'IEEE LOM 1.0 loose' to the elements needed to cover unqualified Dublin Core. dc:contributor, dc:creator, dc:publisher map to lifeCycle.contribute.entity with appropriate value of lifeCycle.contribute.role, dc:coverage maps to general.coverage, dc:date maps to lifeCycle.contribute.date, dc:description maps to general.description, dc:format maps to technical.format, dc:identifier maps to general.identifier, dc:language maps to general.language, dc:relation maps to Relation, dc:rights maps to Rights, dc:source is not mapped, dc:subject maps to general.keyword (see also classification.keyword), dc:title maps to general.title dc:type maps to Educational.learningResourceType</sp:documentation>
<sp:documentation category="scope" xml:lang="en">This profile is used within the Common Cartridge specification.</sp:documentation>
<sp:documentation category="name" xml:lang="en">1EdTech Common Cartridge profile of IEEE LOM V1.0 loose for unqualified Dublin Core</sp:documentation>
</sp:annotation>
- <sp:modifications>
- <sp:modification baseSchema="common/elementTypes.xsd" element="/xs:schema/xs:complexType[@name='classification']">
- <sp:cardinality maxOccurs="0" minOccurs="0" subelement="./xs:choice[1]/xs:group[5]">
- <sp:annotation>
<sp:documentation category="explanation" xml:lang="en">No custom elements are allowed.</sp:documentation>
</sp:annotation>
</sp:cardinality>
</sp:modification>
- <sp:modification baseSchema="common/elementTypes.xsd" element="/xs:schema/xs:complexType[@name='contribute']">
- <sp:cardinality maxOccurs="0" minOccurs="0" subelement="./xs:choice[1]/xs:group[4]">
- <sp:annotation>
<sp:documentation category="explanation" xml:lang="en">No custom elements are allowed.</sp:documentation>
</sp:annotation>
</sp:cardinality>
</sp:modification>
- <sp:modification baseSchema="common/vocabTypes.xsd" element="/xs:schema/xs:complexType[@name='copyrightAndOtherRestrictionsVocab']">
- <sp:cardinality maxOccurs="0" minOccurs="0" subelement="./xs:choice[1]/xs:group[1]">
- <sp:annotation>
<sp:documentation category="explanation" xml:lang="en">No custom elements are allowed.</sp:documentation>
</sp:annotation>
</sp:cardinality>
</sp:modification>
- <sp:modification baseSchema="common/vocabTypes.xsd" element="/xs:schema/xs:complexType[@name='costVocab']">
- <sp:cardinality maxOccurs="0" minOccurs="0" subelement="./xs:choice[1]/xs:group[1]">
- <sp:annotation>
<sp:documentation category="explanation" xml:lang="en">No custom elements are allowed.</sp:documentation>
</sp:annotation>
</sp:cardinality>
</sp:modification>
- <sp:modification baseSchema="common/elementTypes.xsd" element="/xs:schema/xs:complexType[@name='educational']">
- <sp:cardinality maxOccurs="0" minOccurs="0" subelement="./xs:choice[1]/xs:group[1]">
- <sp:annotation>
<sp:documentation category="explanation" xml:lang="en">interactivityType is unused.</sp:documentation>
</sp:annotation>
</sp:cardinality>
- <sp:cardinality maxOccurs="0" minOccurs="0" subelement="./xs:choice[1]/xs:group[3]">
- <sp:annotation>
<sp:documentation category="explanation" xml:lang="en">interactivityLevel is unused.</sp:documentation>
</sp:annotation>
</sp:cardinality>
- <sp:cardinality maxOccurs="0" minOccurs="0" subelement="./xs:choice[1]/xs:group[4]">
- <sp:annotation>
<sp:documentation category="explanation" xml:lang="en">semanticDensity is unused.</sp:documentation>
</sp:annotation>
</sp:cardinality>
- <sp:cardinality maxOccurs="0" minOccurs="0" subelement="./xs:choice[1]/xs:group[5]">
- <sp:annotation>
<sp:documentation category="explanation" xml:lang="en">intendedEndUserRole is unused.</sp:documentation>
</sp:annotation>
</sp:cardinality>
- <sp:cardinality maxOccurs="0" minOccurs="0" subelement="./xs:choice[1]/xs:group[6]">
- <sp:annotation>
<sp:documentation category="explanation" xml:lang="en">Context is unused.</sp:documentation>
</sp:annotation>
</sp:cardinality>
- <sp:cardinality maxOccurs="0" minOccurs="0" subelement="./xs:choice[1]/xs:group[7]">
- <sp:annotation>
<sp:documentation category="explanation" xml:lang="en">typicalAgeRange is unused.</sp:documentation>
</sp:annotation>
</sp:cardinality>
- <sp:cardinality maxOccurs="0" minOccurs="0" subelement="./xs:choice[1]/xs:group[8]">
- <sp:annotation>
<sp:documentation category="explanation" xml:lang="en">difficulty is unused.</sp:documentation>
</sp:annotation>
</sp:cardinality>
- <sp:cardinality maxOccurs="0" minOccurs="0" subelement="./xs:choice[1]/xs:group[9]">
- <sp:annotation>
<sp:documentation category="explanation" xml:lang="en">typicalLearningTime is unused.</sp:documentation>
</sp:annotation>
</sp:cardinality>
- <sp:cardinality maxOccurs="0" minOccurs="0" subelement="./xs:choice[1]/xs:group[10]">
- <sp:annotation>
<sp:documentation category="explanation" xml:lang="en">description is unused in educational context.</sp:documentation>
</sp:annotation>
</sp:cardinality>
- <sp:cardinality maxOccurs="0" minOccurs="0" subelement="./xs:choice[1]/xs:group[11]">
- <sp:annotation>
<sp:documentation category="explanation" xml:lang="en">language unused in technical context, only in general context.</sp:documentation>
</sp:annotation>
</sp:cardinality>
- <sp:cardinality maxOccurs="0" minOccurs="0" subelement="./xs:choice[1]/xs:group[12]">
- <sp:annotation>
<sp:documentation category="explanation" xml:lang="en">No custom elements are allowed.</sp:documentation>
</sp:annotation>
</sp:cardinality>
</sp:modification>
- <sp:modification baseSchema="common/elementTypes.xsd" element="/xs:schema/xs:complexType[@name='general']">
- <sp:cardinality maxOccurs="0" minOccurs="0" subelement="./xs:choice[1]/xs:group[7]">
- <sp:annotation>
<sp:documentation category="explanation" xml:lang="en">General.structure is unused.</sp:documentation>
</sp:annotation>
</sp:cardinality>
- <sp:cardinality maxOccurs="0" minOccurs="0" subelement="./xs:choice[1]/xs:group[8]">
- <sp:annotation>
<sp:documentation category="explanation" xml:lang="en">General.aggregationLevel is unused.</sp:documentation>
</sp:annotation>
</sp:cardinality>
- <sp:cardinality maxOccurs="0" minOccurs="0" subelement="./xs:choice[1]/xs:group[9]">
- <sp:annotation>
<sp:documentation category="explanation" xml:lang="en">No custom elements are allowed.</sp:documentation>
</sp:annotation>
</sp:cardinality>
</sp:modification>
- <sp:modification baseSchema="common/elementTypes.xsd" element="/xs:schema/xs:complexType[@name='identifier']">
- <sp:cardinality maxOccurs="0" minOccurs="0" subelement="./xs:choice[1]/xs:group[3]">
- <sp:annotation>
<sp:documentation category="explanation" xml:lang="en">No custom elements are allowed.</sp:documentation>
</sp:annotation>
</sp:cardinality>
</sp:modification>
- <sp:modification baseSchema="common/vocabTypes.xsd" element="/xs:schema/xs:complexType[@name='kindVocab']">
- <sp:cardinality maxOccurs="0" minOccurs="0" subelement="./xs:choice[1]/xs:group[1]">
- <sp:annotation>
<sp:documentation category="explanation" xml:lang="en">No custom elements are allowed.</sp:documentation>
</sp:annotation>
</sp:cardinality>
</sp:modification>
- <sp:modification baseSchema="common/dataTypes.xsd" element="/xs:schema/xs:complexType[@name='LanguageString']">
- <sp:cardinality maxOccurs="0" minOccurs="0" subelement="./xs:choice[1]/xs:group[1]">
- <sp:annotation>
<sp:documentation category="explanation" xml:lang="en">No custom elements are allowed.</sp:documentation>
</sp:annotation>
</sp:cardinality>
</sp:modification>
- <sp:modification baseSchema="common/elementTypes.xsd" element="/xs:schema/xs:complexType[@name='learningResourceType']">
- <sp:modification element="./xs:complexContent[1]/xs:extension[1]">
- <sp:cardinality maxOccurs="0" minOccurs="0" subelement="./xs:choice[1]/xs:group[1]">
- <sp:annotation>
<sp:documentation category="explanation" xml:lang="en">No custom elements are allowed.</sp:documentation>
</sp:annotation>
</sp:cardinality>
</sp:modification>
</sp:modification>
- <sp:modification baseSchema="common/vocabTypes.xsd" element="/xs:schema/xs:complexType[@name='learningResourceTypeValue']">
- <sp:attribute_properties fixed="1EdTech Common Cartridge" subelement="./xs:simpleContent[1]" type="ImsCCType">
- <sp:annotation>
<sp:documentation category="explanation" xml:lang="en">learningResourceType must be '1EdTech Common Cartridge'</sp:documentation>
</sp:annotation>
</sp:attribute_properties>
</sp:modification>
- <sp:modification baseSchema="common/elementTypes.xsd" element="/xs:schema/xs:complexType[@name='lifeCycle']">
- <sp:cardinality maxOccurs="0" minOccurs="0" subelement="./xs:choice[1]/xs:group[1]">
- <sp:annotation>
<sp:documentation category="explanation" xml:lang="en">liveCycle.version is unused.</sp:documentation>
</sp:annotation>
</sp:cardinality>
- <sp:cardinality maxOccurs="0" minOccurs="0" subelement="./xs:choice[1]/xs:group[2]">
- <sp:annotation>
<sp:documentation category="explanation" xml:lang="en">lifeCycle.status is unused.</sp:documentation>
</sp:annotation>
</sp:cardinality>
- <sp:cardinality maxOccurs="0" minOccurs="0" subelement="./xs:choice[1]/xs:group[4]">
- <sp:annotation>
<sp:documentation category="explanation" xml:lang="en">No custom elements are allowed.</sp:documentation>
</sp:annotation>
</sp:cardinality>
</sp:modification>
- <sp:modification baseSchema="common/elementTypes.xsd" element="/xs:schema/xs:complexType[@name='lom']">
- <sp:cardinality maxOccurs="0" minOccurs="0" subelement="./xs:choice[1]/xs:group[3]">
- <sp:annotation>
<sp:documentation category="explanation" xml:lang="en">metaMetadata is unused.</sp:documentation>
</sp:annotation>
</sp:cardinality>
- <sp:cardinality maxOccurs="0" minOccurs="0" subelement="./xs:choice[1]/xs:group[8]">
- <sp:annotation>
<sp:documentation category="explanation" xml:lang="en">lom.annotation is unused.</sp:documentation>
</sp:annotation>
</sp:cardinality>
- <sp:cardinality maxOccurs="0" minOccurs="0" subelement="./xs:choice[1]/xs:group[10]">
- <sp:annotation>
<sp:documentation category="explanation" xml:lang="en">No custom elements are allowed.</sp:documentation>
</sp:annotation>
</sp:cardinality>
</sp:modification>
- <sp:modification baseSchema="common/vocabTypes.xsd" element="/xs:schema/xs:complexType[@name='purposeVocab']">
- <sp:cardinality maxOccurs="0" minOccurs="0" subelement="./xs:choice[1]/xs:group[1]">
- <sp:annotation>
<sp:documentation category="explanation" xml:lang="en">No custom elements are allowed.</sp:documentation>
</sp:annotation>
</sp:cardinality>
</sp:modification>
- <sp:modification baseSchema="common/elementTypes.xsd" element="/xs:schema/xs:complexType[@name='relation']">
- <sp:cardinality maxOccurs="0" minOccurs="0" subelement="./xs:choice[1]/xs:group[3]">
- <sp:annotation>
<sp:documentation category="explanation" xml:lang="en">No custom elements are allowed.</sp:documentation>
</sp:annotation>
</sp:cardinality>
</sp:modification>
- <sp:modification baseSchema="common/elementTypes.xsd" element="/xs:schema/xs:complexType[@name='resource']">
- <sp:cardinality maxOccurs="0" minOccurs="0" subelement="./xs:choice[1]/xs:group[3]">
- <sp:annotation>
<sp:documentation category="explanation" xml:lang="en">No custom elements are allowed.</sp:documentation>
</sp:annotation>
</sp:cardinality>
</sp:modification>
- <sp:modification baseSchema="common/elementTypes.xsd" element="/xs:schema/xs:complexType[@name='rights']">
- <sp:cardinality maxOccurs="0" minOccurs="0" subelement="./xs:choice[1]/xs:group[4]">
- <sp:annotation>
<sp:documentation category="explanation" xml:lang="en">No custom elements are allowed.</sp:documentation>
</sp:annotation>
</sp:cardinality>
</sp:modification>
- <sp:modification baseSchema="common/elementTypes.xsd" element="/xs:schema/xs:complexType[@name='taxon']">
- <sp:cardinality maxOccurs="0" minOccurs="0" subelement="./xs:choice[1]/xs:group[3]">
- <sp:annotation>
<sp:documentation category="explanation" xml:lang="en">No custom elements are allowed.</sp:documentation>
</sp:annotation>
</sp:cardinality>
</sp:modification>
- <sp:modification baseSchema="common/elementTypes.xsd" element="/xs:schema/xs:complexType[@name='taxonPath']">
- <sp:cardinality maxOccurs="0" minOccurs="0" subelement="./xs:choice[1]/xs:group[3]">
- <sp:annotation>
<sp:documentation category="explanation" xml:lang="en">No custom elements are allowed.</sp:documentation>
</sp:annotation>
</sp:cardinality>
</sp:modification>
- <sp:modification baseSchema="common/elementTypes.xsd" element="/xs:schema/xs:complexType[@name='technical']">
- <sp:cardinality maxOccurs="0" minOccurs="0" subelement="./xs:choice[1]/xs:group[2]">
- <sp:annotation>
<sp:documentation category="explanation" xml:lang="en">technical.size is unused.</sp:documentation>
</sp:annotation>
</sp:cardinality>
- <sp:cardinality maxOccurs="0" minOccurs="0" subelement="./xs:choice[1]/xs:group[3]">
- <sp:annotation>
<sp:documentation category="explanation" xml:lang="en">technical.location is unused.</sp:documentation>
</sp:annotation>
</sp:cardinality>
- <sp:cardinality maxOccurs="0" minOccurs="0" subelement="./xs:choice[1]/xs:group[4]">
- <sp:annotation>
<sp:documentation category="explanation" xml:lang="en">technical.requirement is unused.</sp:documentation>
</sp:annotation>
</sp:cardinality>
- <sp:cardinality maxOccurs="0" minOccurs="0" subelement="./xs:choice[1]/xs:group[5]">
- <sp:annotation>
<sp:documentation category="explanation" xml:lang="en">technical.installationRemarks is unused.</sp:documentation>
</sp:annotation>
</sp:cardinality>
- <sp:cardinality maxOccurs="0" minOccurs="0" subelement="./xs:choice[1]/xs:group[6]">
- <sp:annotation>
<sp:documentation category="explanation" xml:lang="en">technical.otherPlatformRequirements is unused.</sp:documentation>
</sp:annotation>
</sp:cardinality>
- <sp:cardinality maxOccurs="0" minOccurs="0" subelement="./xs:choice[1]/xs:group[7]">
- <sp:annotation>
<sp:documentation category="explanation" xml:lang="en">technical.duration is unused.</sp:documentation>
</sp:annotation>
</sp:cardinality>
- <sp:cardinality maxOccurs="0" minOccurs="0" subelement="./xs:choice[1]/xs:group[8]">
- <sp:annotation>
<sp:documentation category="explanation" xml:lang="en">No custom elements are allowed.</sp:documentation>
</sp:annotation>
</sp:cardinality>
</sp:modification>
</sp:modifications>
- <sp:definitions>
- <xs:simpleType name="ImsCCType">
- <xs:restriction base="xs:string">
<xs:whiteSpace value="preserve" />
<xs:enumeration value="1EdTech Common Cartridge" />
</xs:restriction>
</xs:simpleType>
</sp:definitions>
<sp:mappings />
</sp:schema_mod>
C4 - Application Profile Modifications to IEEE LOM V1.0 Loose Schema for Roles Meta-data
In the CC schema package ccv1p0.zip the zip-file /profile_3/imscc_mR.zip contains the file imscc_mR.xml which documents the modifications made to the IEEE Loose schema for the CC Roles Metadata profile. The contents of the file are reproduced below.
<?xml version="1.0" encoding="UTF-8" ?>
- <sp:schema_mod baseSchema="lomLoose.xsd" level="restrictive" profileNamespace="http://ltsc.ieee.org/xsd/imsccMR/LOM" xmlns="http://ltsc.ieee.org/xsd/LOM" xmlns:ac="http://iwm.uni-koblenz.de/xsd/tel_addc_v1p1" xmlns:ag="http://ltsc.ieee.org/xsd/LOM/unique" xmlns:ex="http://ltsc.ieee.org/xsd/LOM/extend" xmlns:sp="http://iwm.uni-koblenz.de/xsd/ims_apv1p6" xmlns:voc="http://ltsc.ieee.org/xsd/LOM/vocab" xmlns:xs="http://www.w3.org/2001/XMLSchema" xmlns:xsi="http://www.w3.org/2001/XMLSchema-instance" xsi:schemaLocation="http://iwm.uni-koblenz.de/xsd/ims_apv1p6 http://iwm.uni-koblenz.de/xsd/ims_apv1p6">
- <sp:modifications>
- <sp:modification baseSchema="common/elementTypes.xsd" element="/xs:schema/xs:complexType[@name='context']">
- <sp:modification element="./xs:complexContent[1]/xs:extension[1]">
- <sp:modification element="./xs:choice[1]/xs:element[1]">
- <sp:attribute_properties subelement="./xs:simpleContent[1]" type="SourceIEELOM">
- <sp:annotation>
<sp:documentation category="explanation" xml:lang="en">The source for a context object is fixed to 'LOMv1.0'</sp:documentation>
</sp:annotation>
</sp:attribute_properties>
</sp:modification>
- <sp:modification element="./xs:choice[1]/xs:element[2]">
- <sp:attribute_properties subelement="./xs:simpleContent[1]" type="HEContext">
- <sp:annotation>
<sp:documentation category="explanation" xml:lang="en">The value of context is fixed to 'higher education'.</sp:documentation>
</sp:annotation>
</sp:attribute_properties>
</sp:modification>
</sp:modification>
</sp:modification>
- <sp:modification baseSchema="common/elementTypes.xsd" element="/xs:schema/xs:complexType[@name='intendedEndUserRole']">
- <sp:modification element="./xs:complexContent[1]/xs:extension[1]">
- <sp:modification element="./xs:choice[1]/xs:element[1]">
- <sp:attribute_properties subelement="./xs:simpleContent[1]" type="RoleVocab">
- <sp:annotation>
<sp:documentation category="explanation" xml:lang="en">The vocabulary for intendedEndUserRole is 'IMSGLC_CC_Rolesv1p0'.</sp:documentation>
</sp:annotation>
</sp:attribute_properties>
</sp:modification>
- <sp:modification element="./xs:choice[1]/xs:element[2]">
- <sp:attribute_properties subelement="./xs:simpleContent[1]" type="RolesValues">
- <sp:annotation>
<sp:documentation category="explanation" xml:lang="en">Possible intendedEndUserRoles are only 'Learner' and 'Instructor'.</sp:documentation>
</sp:annotation>
</sp:attribute_properties>
</sp:modification>
</sp:modification>
</sp:modification>
</sp:modifications>
- <sp:definitions>
- <xs:simpleType name="SourceIEELOM">
- <xs:restriction base="voc:source">
<xs:whiteSpace value="preserve" />
<xs:enumeration value="LOMv1.0" />
</xs:restriction>
</xs:simpleType>
- <xs:simpleType name="HEContext">
- <xs:restriction base="voc:context">
<xs:whiteSpace value="preserve" />
<xs:enumeration value="higher education" />
</xs:restriction>
</xs:simpleType>
- <xs:simpleType name="RoleVocab">
- <xs:restriction base="voc:source">
<xs:whiteSpace value="preserve" />
<xs:enumeration value="IMSGLC_CC_Rolesv1p0" />
</xs:restriction>
</xs:simpleType>
- <xs:simpleType name="RolesValues">
- <xs:restriction base="voc:intendedEndUserRole">
<xs:whiteSpace value="preserve" />
<xs:enumeration value="Learner" />
<xs:enumeration value="Instructor" />
</xs:restriction>
</xs:simpleType>
</sp:definitions>
<sp:mappings />
</sp:schema_mod>
C5 - Application Profile Modifications to Question & Test Interoperability v1.2 Schema
In the CC schema package ccv1p0.zip the zip-file /profile_4/imscc_q.zip contains the file imscc_q.xml which documents the modifications made to the QTIv1.2 schema for the CC QTI profile. The contents of the file are reproduced below.
<?xml version="1.0" encoding="UTF-8" ?>
- <sp:schema_mod baseSchema="ims_qtiasiv1p2.xsd" level="restrictive" profileNamespace="/xsd/ims_qtiasiv1p2" xmlns="/xsd/ims_qtiasiv1p2" xmlns:ac="http://iwm.uni-koblenz.de/xsd/tel_addc_v1p1" xmlns:sp="http://iwm.uni-koblenz.de/xsd/ims_apv1p6" xmlns:xs="http://www.w3.org/2001/XMLSchema" xmlns:xsi="http://www.w3.org/2001/XMLSchema-instance" xsi:schemaLocation="http://iwm.uni-koblenz.de/xsd/ims_apv1p6 http://iwm.uni-koblenz.de/xsd/ims_apv1p6">
- <sp:annotation>
<sp:documentation category="general" xml:lang="en">This is the profile of QTI 1.2 used for the Common Cartridge specification. The root element is 'questestinterop'.</sp:documentation>
</sp:annotation>
- <sp:modifications>
- <sp:modification element="/xs:schema/xs:complexType[@name='altmaterialType']">
- <sp:cardinality maxOccurs="1" minOccurs="1" subelement="./xs:sequence[1]">
- <sp:annotation>
<sp:documentation category="explanation" xml:lang="en">altmaterial must not contain qticomment element.</sp:documentation>
</sp:annotation>
</sp:cardinality>
<sp:cardinality maxOccurs="0" minOccurs="0" subelement="./xs:sequence[1]/xs:element[1]" />
- <sp:cardinality maxOccurs="0" minOccurs="0" subelement="./xs:sequence[1]/xs:choice[1]/xs:element[10]">
- <sp:annotation>
<sp:documentation category="explanation" xml:lang="en">altmaterial/mat_extension has been removed.</sp:documentation>
</sp:annotation>
</sp:cardinality>
- <sp:attribute_properties subelement="./xs:attribute[@ref='xml:lang']" type="xs:language">
- <sp:annotation>
<sp:documentation category="explanation" xml:lang="en">In almaterial the lang attribute must be of type xs:language.</sp:documentation>
</sp:annotation>
</sp:attribute_properties>
</sp:modification>
- <sp:modification element="/xs:schema/xs:complexType[@name='andType']">
- <sp:cardinality maxOccurs="0" minOccurs="0" subelement="./xs:choice[1]/xs:element[2]">
- <sp:annotation>
<sp:documentation category="explanation" xml:lang="en">and/and has been removed</sp:documentation>
</sp:annotation>
</sp:cardinality>
- <sp:cardinality maxOccurs="0" minOccurs="0" subelement="./xs:choice[1]/xs:element[3]">
- <sp:annotation>
<sp:documentation category="explanation" xml:lang="en">and/or is removed.</sp:documentation>
</sp:annotation>
</sp:cardinality>
- <sp:cardinality maxOccurs="0" minOccurs="0" subelement="./xs:choice[1]/xs:element[4]">
- <sp:annotation>
<sp:documentation category="explanation" xml:lang="en">and/unanswered is removed.</sp:documentation>
</sp:annotation>
</sp:cardinality>
- <sp:cardinality maxOccurs="0" minOccurs="0" subelement="./xs:choice[1]/xs:element[5]">
- <sp:annotation>
<sp:documentation category="explanation" xml:lang="en">and/other is removed.</sp:documentation>
</sp:annotation>
</sp:cardinality>
- <sp:cardinality maxOccurs="0" minOccurs="0" subelement="./xs:choice[1]/xs:element[7]">
- <sp:annotation>
<sp:documentation category="explanation" xml:lang="en">and/varlt is removed.</sp:documentation>
</sp:annotation>
</sp:cardinality>
- <sp:cardinality maxOccurs="0" minOccurs="0" subelement="./xs:choice[1]/xs:element[8]">
- <sp:annotation>
<sp:documentation category="explanation" xml:lang="en">and/varlte is removed.</sp:documentation>
</sp:annotation>
</sp:cardinality>
- <sp:cardinality maxOccurs="0" minOccurs="0" subelement="./xs:choice[1]/xs:element[9]">
- <sp:annotation>
<sp:documentation category="explanation" xml:lang="en">and/vargt is removed.</sp:documentation>
</sp:annotation>
</sp:cardinality>
- <sp:cardinality maxOccurs="0" minOccurs="0" subelement="./xs:choice[1]/xs:element[10]">
- <sp:annotation>
<sp:documentation category="explanation" xml:lang="en">and/vargte is removed.</sp:documentation>
</sp:annotation>
</sp:cardinality>
- <sp:cardinality maxOccurs="0" minOccurs="0" subelement="./xs:choice[1]/xs:element[11]">
- <sp:annotation>
<sp:documentation category="explanation" xml:lang="en">In and the element varsubset is not allowed.</sp:documentation>
</sp:annotation>
</sp:cardinality>
- <sp:cardinality maxOccurs="0" minOccurs="0" subelement="./xs:choice[1]/xs:element[12]">
- <sp:annotation>
<sp:documentation category="explanation" xml:lang="en">In and the element varinside is not allowed.</sp:documentation>
</sp:annotation>
</sp:cardinality>
- <sp:cardinality maxOccurs="0" minOccurs="0" subelement="./xs:choice[1]/xs:element[13]">
- <sp:annotation>
<sp:documentation category="explanation" xml:lang="en">In and the element varsubstring is not allowed.</sp:documentation>
</sp:annotation>
</sp:cardinality>
- <sp:cardinality maxOccurs="0" minOccurs="0" subelement="./xs:choice[1]/xs:element[14]">
- <sp:annotation>
<sp:documentation category="explanation" xml:lang="en">In and the element durequal is not allowed.</sp:documentation>
</sp:annotation>
</sp:cardinality>
- <sp:cardinality maxOccurs="0" minOccurs="0" subelement="./xs:choice[1]/xs:element[15]">
- <sp:annotation>
<sp:documentation category="explanation" xml:lang="en">In and the element durlt is not allowed.</sp:documentation>
</sp:annotation>
</sp:cardinality>
- <sp:cardinality maxOccurs="0" minOccurs="0" subelement="./xs:choice[1]/xs:element[16]">
- <sp:annotation>
<sp:documentation category="explanation" xml:lang="en">In and the element durlte is not allowed.</sp:documentation>
</sp:annotation>
</sp:cardinality>
- <sp:cardinality maxOccurs="0" minOccurs="0" subelement="./xs:choice[1]/xs:element[17]">
- <sp:annotation>
<sp:documentation category="explanation" xml:lang="en">In and the element durgt is not allowed.</sp:documentation>
</sp:annotation>
</sp:cardinality>
- <sp:cardinality maxOccurs="0" minOccurs="0" subelement="./xs:choice[1]/xs:element[18]">
- <sp:annotation>
<sp:documentation category="explanation" xml:lang="en">In and the element durgte is not allowed.</sp:documentation>
</sp:annotation>
</sp:cardinality>
</sp:modification>
- <sp:modification element="/xs:schema/xs:complexType[@name='assessmentType']">
- <sp:cardinality maxOccurs="1" minOccurs="1" subelement="./xs:sequence[1]">
- <sp:annotation>
<sp:documentation category="explanation" xml:lang="en">The assessment must consist of only one section. Optional presentation material is also supported.</sp:documentation>
</sp:annotation>
</sp:cardinality>
<sp:cardinality maxOccurs="0" minOccurs="0" subelement="./xs:sequence[1]/xs:element[1]" />
- <sp:cardinality maxOccurs="1" minOccurs="0" subelement="./xs:sequence[1]/xs:element[1]">
- <sp:annotation>
<sp:documentation category="explanation" xml:lang="en">In assessment qticomment is not allowed.</sp:documentation>
</sp:annotation>
</sp:cardinality>
- <sp:cardinality maxOccurs="0" minOccurs="0" subelement="./xs:sequence[1]/xs:element[2]">
- <sp:annotation>
<sp:documentation category="explanation" xml:lang="en">In assessment duration is not allowed.</sp:documentation>
</sp:annotation>
</sp:cardinality>
- <sp:cardinality maxOccurs="1" minOccurs="0" subelement="./xs:sequence[1]/xs:element[3]">
- <sp:annotation>
<sp:documentation category="explanation" xml:lang="en">In assessment qtimetadata is optional but may occur only once.</sp:documentation>
</sp:annotation>
</sp:cardinality>
- <sp:cardinality maxOccurs="0" minOccurs="0" subelement="./xs:sequence[1]/xs:element[4]">
- <sp:annotation>
<sp:documentation category="explanation" xml:lang="en">In assessment objectives is not allowed.</sp:documentation>
</sp:annotation>
</sp:cardinality>
- <sp:cardinality maxOccurs="0" minOccurs="0" subelement="./xs:sequence[1]/xs:element[5]">
- <sp:annotation>
<sp:documentation category="explanation" xml:lang="en">In assessment assessmentcontrol is not allowed.</sp:documentation>
</sp:annotation>
</sp:cardinality>
- <sp:cardinality maxOccurs="0" minOccurs="0" subelement="./xs:sequence[1]/xs:element[6]">
- <sp:annotation>
<sp:documentation category="explanation" xml:lang="en">In assessment rubric is not allowed.</sp:documentation>
</sp:annotation>
</sp:cardinality>
- <sp:cardinality maxOccurs="0" minOccurs="0" subelement="./xs:sequence[1]/xs:element[8]">
- <sp:annotation>
<sp:documentation category="explanation" xml:lang="en">In assessment outcomes_processing is not allowed.</sp:documentation>
</sp:annotation>
</sp:cardinality>
- <sp:cardinality maxOccurs="0" minOccurs="0" subelement="./xs:sequence[1]/xs:element[9]">
- <sp:annotation>
<sp:documentation category="explanation" xml:lang="en">In assessment assesproc_extension is not allowed.</sp:documentation>
</sp:annotation>
</sp:cardinality>
- <sp:cardinality maxOccurs="0" minOccurs="0" subelement="./xs:sequence[1]/xs:element[10]">
- <sp:annotation>
<sp:documentation category="explanation" xml:lang="en">In assessment assessfeedback is not allowed.</sp:documentation>
</sp:annotation>
</sp:cardinality>
- <sp:cardinality maxOccurs="0" minOccurs="0" subelement="./xs:sequence[1]/xs:element[11]">
- <sp:annotation>
<sp:documentation category="explanation" xml:lang="en">In assessment selection_ordering is not allowed.</sp:documentation>
</sp:annotation>
</sp:cardinality>
- <sp:cardinality maxOccurs="0" minOccurs="0" subelement="./xs:sequence[1]/xs:element[12]">
- <sp:annotation>
<sp:documentation category="explanation" xml:lang="en">In assessment reference is not allowed.</sp:documentation>
</sp:annotation>
</sp:cardinality>
<sp:cardinality maxOccurs="1" minOccurs="1" subelement="./xs:sequence[1]/xs:choice[1]" />
- <sp:cardinality maxOccurs="0" minOccurs="0" subelement="./xs:sequence[1]/xs:choice[1]/xs:element[1]">
- <sp:annotation>
<sp:documentation category="explanation" xml:lang="en">In assessment sectionref is not allowed.</sp:documentation>
</sp:annotation>
</sp:cardinality>
</sp:modification>
- <sp:modification element="/xs:schema/xs:complexType[@name='conditionvarType']">
- <sp:cardinality maxOccurs="0" minOccurs="0" subelement="./xs:choice[1]/xs:element[1]">
- <sp:annotation>
<sp:documentation category="explanation" xml:lang="en">conditionvar/not is removed.</sp:documentation>
</sp:annotation>
</sp:cardinality>
- <sp:cardinality maxOccurs="0" minOccurs="0" subelement="./xs:choice[1]/xs:element[3]">
- <sp:annotation>
<sp:documentation category="explanation" xml:lang="en">conditionvar/or is removed.</sp:documentation>
</sp:annotation>
</sp:cardinality>
- <sp:cardinality maxOccurs="0" minOccurs="0" subelement="./xs:choice[1]/xs:element[4]">
- <sp:annotation>
<sp:documentation category="explanation" xml:lang="en">conditionvar/unanswered is removed.</sp:documentation>
</sp:annotation>
</sp:cardinality>
- <sp:cardinality maxOccurs="0" minOccurs="0" subelement="./xs:choice[1]/xs:element[7]">
- <sp:annotation>
<sp:documentation category="explanation" xml:lang="en">conditionvar/varlt is removed.</sp:documentation>
</sp:annotation>
</sp:cardinality>
- <sp:cardinality maxOccurs="0" minOccurs="0" subelement="./xs:choice[1]/xs:element[8]">
- <sp:annotation>
<sp:documentation category="explanation" xml:lang="en">conditionvar/varlte is removed.</sp:documentation>
</sp:annotation>
</sp:cardinality>
- <sp:cardinality maxOccurs="0" minOccurs="0" subelement="./xs:choice[1]/xs:element[9]">
- <sp:annotation>
<sp:documentation category="explanation" xml:lang="en">conditionvar/vargt is removed.</sp:documentation>
</sp:annotation>
</sp:cardinality>
- <sp:cardinality maxOccurs="0" minOccurs="0" subelement="./xs:choice[1]/xs:element[10]">
- <sp:annotation>
<sp:documentation category="explanation" xml:lang="en">conditionvar/vargte is removed.</sp:documentation>
</sp:annotation>
</sp:cardinality>
- <sp:cardinality maxOccurs="0" minOccurs="0" subelement="./xs:choice[1]/xs:element[11]">
- <sp:annotation>
<sp:documentation category="explanation" xml:lang="en">conditionvar/varsubset is removed.</sp:documentation>
</sp:annotation>
</sp:cardinality>
- <sp:cardinality maxOccurs="0" minOccurs="0" subelement="./xs:choice[1]/xs:element[12]">
- <sp:annotation>
<sp:documentation category="explanation" xml:lang="en">conditionvar/varinside is removed.</sp:documentation>
</sp:annotation>
</sp:cardinality>
- <sp:cardinality maxOccurs="0" minOccurs="0" subelement="./xs:choice[1]/xs:element[14]">
- <sp:annotation>
<sp:documentation category="explanation" xml:lang="en">In conditionvar is durequal not allowed.</sp:documentation>
</sp:annotation>
</sp:cardinality>
- <sp:cardinality maxOccurs="0" minOccurs="0" subelement="./xs:choice[1]/xs:element[15]">
- <sp:annotation>
<sp:documentation category="explanation" xml:lang="en">In conditionvar is durlt not allowed.</sp:documentation>
</sp:annotation>
</sp:cardinality>
- <sp:cardinality maxOccurs="0" minOccurs="0" subelement="./xs:choice[1]/xs:element[16]">
- <sp:annotation>
<sp:documentation category="explanation" xml:lang="en">In conditionvar is durlt not allowed.</sp:documentation>
</sp:annotation>
</sp:cardinality>
- <sp:cardinality maxOccurs="0" minOccurs="0" subelement="./xs:choice[1]/xs:element[17]">
- <sp:annotation>
<sp:documentation category="explanation" xml:lang="en">In conditionvar is durgt not allowed.</sp:documentation>
</sp:annotation>
</sp:cardinality>
- <sp:cardinality maxOccurs="0" minOccurs="0" subelement="./xs:choice[1]/xs:element[18]">
- <sp:annotation>
<sp:documentation category="explanation" xml:lang="en">In conditionvar is durgte not allowed.</sp:documentation>
</sp:annotation>
</sp:cardinality>
- <sp:cardinality maxOccurs="0" minOccurs="0" subelement="./xs:choice[1]/xs:element[19]">
- <sp:annotation>
<sp:documentation category="explanation" xml:lang="en">In conditionvar is var_extension not allowed.</sp:documentation>
</sp:annotation>
</sp:cardinality>
</sp:modification>
- <sp:modification element="/xs:schema/xs:complexType[@name='decvarType']">
- <sp:attribute_properties subelement="./xs:simpleContent[1]/xs:extension[1]/xs:attribute[@name='varname']" type="ScoreOnlyType">
- <sp:annotation>
<sp:documentation category="explanation" xml:lang="en">decvar/varname can only declare the variable SCORE</sp:documentation>
</sp:annotation>
</sp:attribute_properties>
- <sp:attribute_properties subelement="./xs:simpleContent[1]/xs:extension[1]/xs:attribute[@name='vartype']" type="DecimalIntegerOnly">
- <sp:annotation>
<sp:documentation category="explanation" xml:lang="en">In decvar the vartype attribute can take values Integer and Decimal only</sp:documentation>
</sp:annotation>
</sp:attribute_properties>
- <sp:attribute_properties subelement="./xs:simpleContent[1]/xs:extension[1]/xs:attribute[@name='defaultval']" use="prohibited">
- <sp:annotation>
<sp:documentation category="explanation" xml:lang="en">decvar@defautlval is prohibited</sp:documentation>
</sp:annotation>
</sp:attribute_properties>
- <sp:attribute_properties subelement="./xs:simpleContent[1]/xs:extension[1]/xs:attribute[@name='members']" use="prohibited">
- <sp:annotation>
<sp:documentation category="explanation" xml:lang="en">decvar@members is prohibited.</sp:documentation>
</sp:annotation>
</sp:attribute_properties>
- <sp:attribute_properties subelement="./xs:simpleContent[1]/xs:extension[1]/xs:attribute[@name='cutvalue']" use="prohibited">
- <sp:annotation>
<sp:documentation category="explanation" xml:lang="en">decvar@cutvalue is prohibited.</sp:documentation>
</sp:annotation>
</sp:attribute_properties>
</sp:modification>
- <sp:modification element="/xs:schema/xs:complexType[@name='flowType']">
<sp:cardinality maxOccurs="0" minOccurs="0" subelement="./xs:choice[1]/xs:element[5]" />
<sp:cardinality maxOccurs="0" minOccurs="0" subelement="./xs:choice[1]/xs:element[7]" />
<sp:cardinality maxOccurs="0" minOccurs="0" subelement="./xs:choice[1]/xs:element[8]" />
- <sp:cardinality maxOccurs="0" minOccurs="0" subelement="./xs:choice[1]/xs:element[9]">
- <sp:annotation>
<sp:documentation category="explanation" xml:lang="en">flow/response_extension is removed.</sp:documentation>
</sp:annotation>
</sp:cardinality>
</sp:modification>
- <sp:modification element="/xs:schema/xs:complexType[@name='hintmaterialType']">
- <sp:cardinality maxOccurs="0" minOccurs="0" subelement="./xs:choice[1]/xs:element[1]">
- <sp:annotation>
<sp:documentation category="explanation" xml:lang="en">In hintmaterial the element material is not allowed.</sp:documentation>
</sp:annotation>
</sp:cardinality>
</sp:modification>
- <sp:modification element="/xs:schema/xs:complexType[@name='hintType']">
- <sp:cardinality maxOccurs="0" minOccurs="0" subelement="./xs:sequence[1]/xs:element[1]">
- <sp:annotation>
<sp:documentation category="explanation" xml:lang="en">In hint the element qticomment is not allowed.</sp:documentation>
</sp:annotation>
</sp:cardinality>
- <sp:attribute_properties subelement="./xs:attribute[@name='feedbackstyle']" type="CompleteOnly">
- <sp:annotation>
<sp:documentation category="explanation" xml:lang="en">hint@feedbackstyle: The material is presented in the form of flow_mat only. The only form of feedback is 'Complete'.</sp:documentation>
</sp:annotation>
</sp:attribute_properties>
</sp:modification>
- <sp:modification element="/xs:schema/xs:complexType[@name='itemfeedbackType']">
- <sp:cardinality maxOccurs="unbounded" minOccurs="1" subelement="./xs:choice[1]">
- <sp:annotation>
<sp:documentation category="explanation" xml:lang="en">The itemfeedback structure is based on flow_mat only. material, solution and hint have been removed.</sp:documentation>
</sp:annotation>
</sp:cardinality>
- <sp:cardinality maxOccurs="0" minOccurs="0" subelement="./xs:choice[1]/xs:choice[1]/xs:element[2]">
- <sp:annotation>
<sp:documentation category="explanation" xml:lang="en">In itemfeedback material is not allowed.</sp:documentation>
</sp:annotation>
</sp:cardinality>
- <sp:attribute_properties subelement="./xs:attribute[@name='view']" type="AllOnlyValue">
- <sp:annotation>
<sp:documentation category="explanation" xml:lang="en">In itemfeedback the view attribute is fixed to 'All'.</sp:documentation>
</sp:annotation>
</sp:attribute_properties>
</sp:modification>
- <sp:modification element="/xs:schema/xs:complexType[@name='itemmetadataType']">
- <sp:cardinality maxOccurs="1" minOccurs="1" subelement="./xs:sequence[1]">
- <sp:annotation>
<sp:documentation category="explanation" xml:lang="en">itemmetadata can contain only qtimetadata.</sp:documentation>
</sp:annotation>
</sp:cardinality>
- <sp:cardinality maxOccurs="unbounded" minOccurs="1" subelement="./xs:sequence[1]/xs:element[1]">
- <sp:annotation>
<sp:documentation category="explanation" xml:lang="en">qtimetadata is mandatory within itemmetadata</sp:documentation>
</sp:annotation>
</sp:cardinality>
- <sp:cardinality maxOccurs="0" minOccurs="0" subelement="./xs:sequence[1]/xs:element[2]">
- <sp:annotation>
<sp:documentation category="explanation" xml:lang="en">In itemmetadata qmd_computerscored is not allowed.</sp:documentation>
</sp:annotation>
</sp:cardinality>
- <sp:cardinality maxOccurs="0" minOccurs="0" subelement="./xs:sequence[1]/xs:element[3]">
- <sp:annotation>
<sp:documentation category="explanation" xml:lang="en">In itemmetadata qmd_feedbackpermitted is not allowed.</sp:documentation>
</sp:annotation>
</sp:cardinality>
- <sp:cardinality maxOccurs="0" minOccurs="0" subelement="./xs:sequence[1]/xs:element[4]">
- <sp:annotation>
<sp:documentation category="explanation" xml:lang="en">In itemmetadata qmd_hintspermitted is not allowed.</sp:documentation>
</sp:annotation>
</sp:cardinality>
- <sp:cardinality maxOccurs="0" minOccurs="0" subelement="./xs:sequence[1]/xs:element[5]">
- <sp:annotation>
<sp:documentation category="explanation" xml:lang="en">In itemmetadata qmd_itemtype is not allowed.</sp:documentation>
</sp:annotation>
</sp:cardinality>
- <sp:cardinality maxOccurs="0" minOccurs="0" subelement="./xs:sequence[1]/xs:element[6]">
- <sp:annotation>
<sp:documentation category="explanation" xml:lang="en">In itemmetadata qmd_levelofdifficulty is not allowed.</sp:documentation>
</sp:annotation>
</sp:cardinality>
- <sp:cardinality maxOccurs="0" minOccurs="0" subelement="./xs:sequence[1]/xs:element[7]">
- <sp:annotation>
<sp:documentation category="explanation" xml:lang="en">In itemmetadata qmd_maximumscore is not allowed.</sp:documentation>
</sp:annotation>
</sp:cardinality>
- <sp:cardinality maxOccurs="0" minOccurs="0" subelement="./xs:sequence[1]/xs:element[8]">
- <sp:annotation>
<sp:documentation category="explanation" xml:lang="en">In itemmetadata qmd_renderingtype is not allowed.</sp:documentation>
</sp:annotation>
</sp:cardinality>
- <sp:cardinality maxOccurs="0" minOccurs="0" subelement="./xs:sequence[1]/xs:element[9]">
- <sp:annotation>
<sp:documentation category="explanation" xml:lang="en">In itemmetadata qmd_responsetype is not allowed.</sp:documentation>
</sp:annotation>
</sp:cardinality>
- <sp:cardinality maxOccurs="0" minOccurs="0" subelement="./xs:sequence[1]/xs:element[10]">
- <sp:annotation>
<sp:documentation category="explanation" xml:lang="en">In itemmetadata qmd_scoringpermitted is not allowed.</sp:documentation>
</sp:annotation>
</sp:cardinality>
- <sp:cardinality maxOccurs="0" minOccurs="0" subelement="./xs:sequence[1]/xs:element[11]">
- <sp:annotation>
<sp:documentation category="explanation" xml:lang="en">In itemmetadata qmd_solutionspermitted is not allowed.</sp:documentation>
</sp:annotation>
</sp:cardinality>
- <sp:cardinality maxOccurs="0" minOccurs="0" subelement="./xs:sequence[1]/xs:element[12]">
- <sp:annotation>
<sp:documentation category="explanation" xml:lang="en">In itemmetadata qmd_status is not allowed.</sp:documentation>
</sp:annotation>
</sp:cardinality>
- <sp:cardinality maxOccurs="0" minOccurs="0" subelement="./xs:sequence[1]/xs:element[13]">
- <sp:annotation>
<sp:documentation category="explanation" xml:lang="en">In itemmetadata qmd_timedependence is not allowed.</sp:documentation>
</sp:annotation>
</sp:cardinality>
- <sp:cardinality maxOccurs="0" minOccurs="0" subelement="./xs:sequence[1]/xs:element[14]">
- <sp:annotation>
<sp:documentation category="explanation" xml:lang="en">In itemmetadata qmd_timelimit is not allowed.</sp:documentation>
</sp:annotation>
</sp:cardinality>
- <sp:cardinality maxOccurs="0" minOccurs="0" subelement="./xs:sequence[1]/xs:element[15]">
- <sp:annotation>
<sp:documentation category="explanation" xml:lang="en">In itemmetadata qmd_toolvendor is not allowed.</sp:documentation>
</sp:annotation>
</sp:cardinality>
- <sp:cardinality maxOccurs="0" minOccurs="0" subelement="./xs:sequence[1]/xs:element[16]">
- <sp:annotation>
<sp:documentation category="explanation" xml:lang="en">In itemmetadata qmd_topic is not allowed.</sp:documentation>
</sp:annotation>
</sp:cardinality>
- <sp:cardinality maxOccurs="0" minOccurs="0" subelement="./xs:sequence[1]/xs:element[17]">
- <sp:annotation>
<sp:documentation category="explanation" xml:lang="en">In itemmetadata qmd_weighting is not allowed.</sp:documentation>
</sp:annotation>
</sp:cardinality>
- <sp:cardinality maxOccurs="0" minOccurs="0" subelement="./xs:sequence[1]/xs:element[18]">
- <sp:annotation>
<sp:documentation category="explanation" xml:lang="en">In itemmetadata qmd_material is not allowed.</sp:documentation>
</sp:annotation>
</sp:cardinality>
- <sp:cardinality maxOccurs="0" minOccurs="0" subelement="./xs:sequence[1]/xs:element[19]">
- <sp:annotation>
<sp:documentation category="explanation" xml:lang="en">In itemmetadata qmd_typeofsolution is not allowed.</sp:documentation>
</sp:annotation>
</sp:cardinality>
</sp:modification>
- <sp:modification element="/xs:schema/xs:complexType[@name='itemType']">
- <sp:cardinality maxOccurs="1" minOccurs="1" subelement="./xs:sequence[1]">
- <sp:annotation>
<sp:documentation category="explanation" xml:lang="en">An item can contain only itemmetadata, presentation, resprocessing and itemfeedback.</sp:documentation>
</sp:annotation>
</sp:cardinality>
<sp:cardinality maxOccurs="0" minOccurs="0" subelement="./xs:sequence[1]/xs:element[1]" />
<sp:cardinality maxOccurs="0" minOccurs="0" subelement="./xs:sequence[1]/xs:element[2]" />
<sp:cardinality maxOccurs="0" minOccurs="0" subelement="./xs:sequence[1]/xs:element[4]" />
<sp:cardinality maxOccurs="0" minOccurs="0" subelement="./xs:sequence[1]/xs:element[5]" />
<sp:cardinality maxOccurs="0" minOccurs="0" subelement="./xs:sequence[1]/xs:element[6]" />
<sp:cardinality maxOccurs="0" minOccurs="0" subelement="./xs:sequence[1]/xs:element[7]" />
<sp:cardinality maxOccurs="0" minOccurs="0" subelement="./xs:sequence[1]/xs:choice[1]" />
<sp:cardinality maxOccurs="0" minOccurs="0" subelement="./xs:sequence[1]/xs:element[10]" />
<sp:cardinality maxOccurs="0" minOccurs="0" subelement="./xs:sequence[1]/xs:element[12]" />
- <sp:attribute_properties subelement="./xs:attribute[@name='maxattempts']" use="prohibited">
- <sp:annotation>
<sp:documentation category="explanation" xml:lang="en">In item the maxattempts attribute is prohibited.</sp:documentation>
</sp:annotation>
</sp:attribute_properties>
- <sp:attribute_properties subelement="./xs:attribute[@name='label']" use="prohibited">
- <sp:annotation>
<sp:documentation category="explanation" xml:lang="en">In item the attribute label is prohibited.</sp:documentation>
</sp:annotation>
</sp:attribute_properties>
</sp:modification>
- <sp:modification element="/xs:schema/xs:complexType[@name='matappletType']">
- <sp:attribute_properties subelement="./xs:simpleContent[1]/xs:extension[1]/xs:attribute[@name='entityref']" use="prohibited">
- <sp:annotation>
<sp:documentation category="explanation" xml:lang="en">In matapplet the attribute entityref is prohibited.</sp:documentation>
</sp:annotation>
</sp:attribute_properties>
</sp:modification>
- <sp:modification element="/xs:schema/xs:complexType[@name='matapplicationType']">
- <sp:attribute_properties subelement="./xs:simpleContent[1]/xs:extension[1]/xs:attribute[@name='entityref']" use="prohibited">
- <sp:annotation>
<sp:documentation category="explanation" xml:lang="en">In matapplication the entityref attribute is prohibited</sp:documentation>
</sp:annotation>
</sp:attribute_properties>
</sp:modification>
- <sp:modification element="/xs:schema/xs:complexType[@name='mataudioType']">
- <sp:attribute_properties subelement="./xs:simpleContent[1]/xs:extension[1]/xs:attribute[@name='entityref']" use="prohibited">
- <sp:annotation>
<sp:documentation category="explanation" xml:lang="en">In mataudio the attribute embedded is prohibited.</sp:documentation>
</sp:annotation>
</sp:attribute_properties>
</sp:modification>
- <sp:modification element="/xs:schema/xs:complexType[@name='matemtextType']">
- <sp:attribute_properties subelement="./xs:simpleContent[1]/xs:extension[1]/xs:attribute[@ref='xml:lang']" type="xs:language">
- <sp:annotation>
<sp:documentation category="explanation" xml:lang="en">matemtext@lang must be of type xs:language.</sp:documentation>
</sp:annotation>
</sp:attribute_properties>
- <sp:attribute_properties subelement="./xs:simpleContent[1]/xs:extension[1]/xs:attribute[@name='entityref']" use="prohibited">
- <sp:annotation>
<sp:documentation category="explanation" xml:lang="en">matemtext@entityref is prohibited.</sp:documentation>
</sp:annotation>
</sp:attribute_properties>
</sp:modification>
- <sp:modification element="/xs:schema/xs:complexType[@name='materialType']">
<sp:cardinality maxOccurs="0" minOccurs="0" subelement="./xs:sequence[1]/xs:element[1]" />
- <sp:cardinality maxOccurs="0" minOccurs="0" subelement="./xs:sequence[1]/xs:choice[1]/xs:element[10]">
- <sp:annotation>
<sp:documentation category="explanation" xml:lang="en">material/mat_extension is removed.</sp:documentation>
</sp:annotation>
</sp:cardinality>
- <sp:attribute_properties subelement="./xs:attribute[@name='label']" type="string256">
- <sp:annotation>
<sp:documentation category="explanation" xml:lang="en">In material is the length of attribute label limited to 256.</sp:documentation>
</sp:annotation>
</sp:attribute_properties>
- <sp:attribute_properties subelement="./xs:attribute[@ref='xml:lang']" type="xs:language">
- <sp:annotation>
<sp:documentation category="explanation" xml:lang="en">In material the attribute lang must be of type language.</sp:documentation>
</sp:annotation>
</sp:attribute_properties>
</sp:modification>
- <sp:modification element="/xs:schema/xs:complexType[@name='matimageType']">
- <sp:attribute_properties subelement="./xs:simpleContent[1]/xs:extension[1]/xs:attribute[@name='entityref']" use="prohibited">
- <sp:annotation>
<sp:documentation category="explanation" xml:lang="en">In matimage the attribute entityref is prohibited.</sp:documentation>
</sp:annotation>
</sp:attribute_properties>
</sp:modification>
- <sp:modification element="/xs:schema/xs:complexType[@name='mattextType']">
- <sp:attribute_properties subelement="./xs:simpleContent[1]/xs:extension[1]/xs:attribute[@ref='xml:lang']" type="xs:language">
- <sp:annotation>
<sp:documentation category="explanation" xml:lang="en">In mattext the value of attribute lang must be of type xs:language.</sp:documentation>
</sp:annotation>
</sp:attribute_properties>
- <sp:attribute_properties subelement="./xs:simpleContent[1]/xs:extension[1]/xs:attribute[@name='entityref']" use="prohibited">
- <sp:annotation>
<sp:documentation category="explanation" xml:lang="en">In mattext the attribute entityref is prohibited.</sp:documentation>
</sp:annotation>
</sp:attribute_properties>
</sp:modification>
- <sp:modification element="/xs:schema/xs:complexType[@name='matvideoType']">
- <sp:attribute_properties subelement="./xs:simpleContent[1]/xs:extension[1]/xs:attribute[@name='entityref']" use="prohibited">
- <sp:annotation>
<sp:documentation category="explanation" xml:lang="en">In matvideo the entityref attribute is prohibited.</sp:documentation>
</sp:annotation>
</sp:attribute_properties>
</sp:modification>
- <sp:modification element="/xs:schema/xs:complexType[@name='notType']">
- <sp:cardinality maxOccurs="0" minOccurs="0" subelement="./xs:choice[1]/xs:element[1]">
- <sp:annotation>
<sp:documentation category="explanation" xml:lang="en">not/and is removed.</sp:documentation>
</sp:annotation>
</sp:cardinality>
- <sp:cardinality maxOccurs="0" minOccurs="0" subelement="./xs:choice[1]/xs:element[2]">
- <sp:annotation>
<sp:documentation category="explanation" xml:lang="en">not/or is removed.</sp:documentation>
</sp:annotation>
</sp:cardinality>
- <sp:cardinality maxOccurs="0" minOccurs="0" subelement="./xs:choice[1]/xs:element[3]">
- <sp:annotation>
<sp:documentation category="explanation" xml:lang="en">not/not is removed.</sp:documentation>
</sp:annotation>
</sp:cardinality>
- <sp:cardinality maxOccurs="0" minOccurs="0" subelement="./xs:choice[1]/xs:element[4]">
- <sp:annotation>
<sp:documentation category="explanation" xml:lang="en">not/unanswered is removed.</sp:documentation>
</sp:annotation>
</sp:cardinality>
- <sp:cardinality maxOccurs="0" minOccurs="0" subelement="./xs:choice[1]/xs:element[5]">
- <sp:annotation>
<sp:documentation category="explanation" xml:lang="en">not/other is removed.</sp:documentation>
</sp:annotation>
</sp:cardinality>
- <sp:cardinality maxOccurs="0" minOccurs="0" subelement="./xs:choice[1]/xs:element[7]">
- <sp:annotation>
<sp:documentation category="explanation" xml:lang="en">not/varlt is removed.</sp:documentation>
</sp:annotation>
</sp:cardinality>
- <sp:cardinality maxOccurs="0" minOccurs="0" subelement="./xs:choice[1]/xs:element[8]">
- <sp:annotation>
<sp:documentation category="explanation" xml:lang="en">not/varlte is removed.</sp:documentation>
</sp:annotation>
</sp:cardinality>
- <sp:cardinality maxOccurs="0" minOccurs="0" subelement="./xs:choice[1]/xs:element[9]">
- <sp:annotation>
<sp:documentation category="explanation" xml:lang="en">not/vargt is removed.</sp:documentation>
</sp:annotation>
</sp:cardinality>
- <sp:cardinality maxOccurs="0" minOccurs="0" subelement="./xs:choice[1]/xs:element[10]">
- <sp:annotation>
<sp:documentation category="explanation" xml:lang="en">not/vargte is removed.</sp:documentation>
</sp:annotation>
</sp:cardinality>
- <sp:cardinality maxOccurs="0" minOccurs="0" subelement="./xs:choice[1]/xs:element[11]">
- <sp:annotation>
<sp:documentation category="explanation" xml:lang="en">In element not is varsubset not allowed.</sp:documentation>
</sp:annotation>
</sp:cardinality>
- <sp:cardinality maxOccurs="0" minOccurs="0" subelement="./xs:choice[1]/xs:element[12]">
- <sp:annotation>
<sp:documentation category="explanation" xml:lang="en">In element not is varinside not allowed.</sp:documentation>
</sp:annotation>
</sp:cardinality>
- <sp:cardinality maxOccurs="0" minOccurs="0" subelement="./xs:choice[1]/xs:element[13]">
- <sp:annotation>
<sp:documentation category="explanation" xml:lang="en">In element not is varsubstring not allowed.</sp:documentation>
</sp:annotation>
</sp:cardinality>
- <sp:cardinality maxOccurs="0" minOccurs="0" subelement="./xs:choice[1]/xs:element[14]">
- <sp:annotation>
<sp:documentation category="explanation" xml:lang="en">In element not is durequal not allowed.</sp:documentation>
</sp:annotation>
</sp:cardinality>
- <sp:cardinality maxOccurs="0" minOccurs="0" subelement="./xs:choice[1]/xs:element[15]">
- <sp:annotation>
<sp:documentation category="explanation" xml:lang="en">In element not is durlt not allowed.</sp:documentation>
</sp:annotation>
</sp:cardinality>
- <sp:cardinality maxOccurs="0" minOccurs="0" subelement="./xs:choice[1]/xs:element[16]">
- <sp:annotation>
<sp:documentation category="explanation" xml:lang="en">In element not is durlte not allowed.</sp:documentation>
</sp:annotation>
</sp:cardinality>
- <sp:cardinality maxOccurs="0" minOccurs="0" subelement="./xs:choice[1]/xs:element[17]">
- <sp:annotation>
<sp:documentation category="explanation" xml:lang="en">In element not is durgt not allowed.</sp:documentation>
</sp:annotation>
</sp:cardinality>
- <sp:cardinality maxOccurs="0" minOccurs="0" subelement="./xs:choice[1]/xs:element[18]">
- <sp:annotation>
<sp:documentation category="explanation" xml:lang="en">In element not is durgte not allowed.</sp:documentation>
</sp:annotation>
</sp:cardinality>
</sp:modification>
- <sp:modification element="/xs:schema/xs:complexType[@name='objectbankType']">
<sp:cardinality maxOccurs="0" minOccurs="0" subelement="./xs:sequence[1]/xs:element[1]" />
<sp:cardinality maxOccurs="0" minOccurs="0" subelement="./xs:sequence[1]/xs:choice[1]/xs:element[1]" />
</sp:modification>
- <sp:modification element="/xs:schema/xs:complexType[@name='orType']">
- <sp:cardinality maxOccurs="0" minOccurs="0" subelement="./xs:choice[1]/xs:element[11]">
- <sp:annotation>
<sp:documentation category="explanation" xml:lang="en">In or the element varsubset is not allowed.</sp:documentation>
</sp:annotation>
</sp:cardinality>
- <sp:cardinality maxOccurs="0" minOccurs="0" subelement="./xs:choice[1]/xs:element[12]">
- <sp:annotation>
<sp:documentation category="explanation" xml:lang="en">In or the element varinside is not allowed.</sp:documentation>
</sp:annotation>
</sp:cardinality>
- <sp:cardinality maxOccurs="0" minOccurs="0" subelement="./xs:choice[1]/xs:element[13]">
- <sp:annotation>
<sp:documentation category="explanation" xml:lang="en">In or the element varsubstring is not allowed.</sp:documentation>
</sp:annotation>
</sp:cardinality>
- <sp:cardinality maxOccurs="0" minOccurs="0" subelement="./xs:choice[1]/xs:element[14]">
- <sp:annotation>
<sp:documentation category="explanation" xml:lang="en">In or the element durequal is not allowed.</sp:documentation>
</sp:annotation>
</sp:cardinality>
- <sp:cardinality maxOccurs="0" minOccurs="0" subelement="./xs:choice[1]/xs:element[15]">
- <sp:annotation>
<sp:documentation category="explanation" xml:lang="en">In or the element durlt is not allowed.</sp:documentation>
</sp:annotation>
</sp:cardinality>
- <sp:cardinality maxOccurs="0" minOccurs="0" subelement="./xs:choice[1]/xs:element[16]">
- <sp:annotation>
<sp:documentation category="explanation" xml:lang="en">In or the element durlte is not allowed.</sp:documentation>
</sp:annotation>
</sp:cardinality>
- <sp:cardinality maxOccurs="0" minOccurs="0" subelement="./xs:choice[1]/xs:element[17]">
- <sp:annotation>
<sp:documentation category="explanation" xml:lang="en">In or the element durgt is not allowed.</sp:documentation>
</sp:annotation>
</sp:cardinality>
- <sp:cardinality maxOccurs="0" minOccurs="0" subelement="./xs:choice[1]/xs:element[18]">
- <sp:annotation>
<sp:documentation category="explanation" xml:lang="en">In or the element durgte is not allowed.</sp:documentation>
</sp:annotation>
</sp:cardinality>
</sp:modification>
- <sp:modification element="/xs:schema/xs:complexType[@name='outcomesType']">
- <sp:cardinality maxOccurs="1" minOccurs="1" subelement="./xs:sequence[1]">
- <sp:annotation>
<sp:documentation category="explanation" xml:lang="en">Outcomes: A single variable is permitted. This is "SCORE".</sp:documentation>
</sp:annotation>
</sp:cardinality>
<sp:cardinality maxOccurs="0" minOccurs="0" subelement="./xs:sequence[1]/xs:element[1]" />
- <sp:cardinality maxOccurs="1" minOccurs="1" subelement="./xs:sequence[1]/xs:sequence[1]">
- <sp:annotation>
<sp:documentation category="explanation" xml:lang="en">In outcomes there is a single variable 'SCORE' declared.</sp:documentation>
</sp:annotation>
</sp:cardinality>
<sp:cardinality maxOccurs="0" minOccurs="0" subelement="./xs:sequence[1]/xs:sequence[1]/xs:element[2]" />
</sp:modification>
- <sp:modification element="/xs:schema/xs:complexType[@name='presentation_materialType']">
<sp:cardinality maxOccurs="0" minOccurs="0" subelement="./xs:sequence[1]/xs:element[1]" />
</sp:modification>
- <sp:modification element="/xs:schema/xs:complexType[@name='presentationType']">
- <sp:cardinality maxOccurs="1" minOccurs="1" subelement="./xs:sequence[1]">
- <sp:annotation>
<sp:documentation category="explanation" xml:lang="en">presentation has only subelements flow, material, response_lid, response_str.</sp:documentation>
</sp:annotation>
</sp:cardinality>
<sp:cardinality maxOccurs="0" minOccurs="0" subelement="./xs:sequence[1]/xs:element[1]" />
<sp:cardinality maxOccurs="0" minOccurs="0" subelement="./xs:sequence[1]/xs:choice[1]/xs:choice[1]/xs:element[3]" />
<sp:cardinality maxOccurs="0" minOccurs="0" subelement="./xs:sequence[1]/xs:choice[1]/xs:choice[1]/xs:element[5]" />
<sp:cardinality maxOccurs="0" minOccurs="0" subelement="./xs:sequence[1]/xs:choice[1]/xs:choice[1]/xs:element[6]" />
<sp:cardinality maxOccurs="0" minOccurs="0" subelement="./xs:sequence[1]/xs:choice[1]/xs:choice[1]/xs:element[7]" />
- <sp:attribute_properties subelement="./xs:attribute[@ref='xml:lang']" type="xs:language">
- <sp:annotation>
<sp:documentation category="explanation" xml:lang="en">presentation@lang must be of type xs:language.</sp:documentation>
</sp:annotation>
</sp:attribute_properties>
</sp:modification>
- <sp:modification element="/xs:schema/xs:complexType[@name='qtimetadataType']">
- <sp:cardinality maxOccurs="0" minOccurs="0" subelement="./xs:sequence[1]/xs:element[1]">
- <sp:annotation>
<sp:documentation category="explanation" xml:lang="en">In qtimetadata the vocabulary element has been removed.</sp:documentation>
</sp:annotation>
</sp:cardinality>
</sp:modification>
- <sp:modification element="/xs:schema/xs:complexType[@name='questestinteropType']">
- <sp:cardinality maxOccurs="0" minOccurs="0" subelement="./xs:sequence[1]/xs:element[1]">
- <sp:annotation>
<sp:documentation category="explanation" xml:lang="en">qticomment is not allowed in questestinterop.</sp:documentation>
</sp:annotation>
</sp:cardinality>
- <sp:cardinality maxOccurs="0" minOccurs="0" subelement="./xs:sequence[1]/xs:choice[1]/xs:choice[1]">
- <sp:annotation>
<sp:documentation category="explanation" xml:lang="en">questtestinterop can contain only an object bank or an assessment, no sections or items.</sp:documentation>
</sp:annotation>
</sp:cardinality>
</sp:modification>
- <sp:modification element="/xs:schema/xs:complexType[@name='render_choiceType']">
<sp:cardinality maxOccurs="0" minOccurs="0" subelement="./xs:sequence[1]/xs:element[1]" />
</sp:modification>
- <sp:modification element="/xs:schema/xs:complexType[@name='render_fibType']">
- <sp:cardinality maxOccurs="0" minOccurs="0" subelement="./xs:sequence[1]/xs:element[1]">
- <sp:annotation>
<sp:documentation category="explanation" xml:lang="en">render_fib/response_na has been removed.</sp:documentation>
</sp:annotation>
</sp:cardinality>
</sp:modification>
- <sp:modification element="/xs:schema/xs:complexType[@name='respconditionType']">
- <sp:cardinality maxOccurs="1" minOccurs="1" subelement="./xs:sequence[1]">
- <sp:annotation>
<sp:documentation category="explanation" xml:lang="en">respcondition can contain only conditionvar, setvar and displayfeedback.</sp:documentation>
</sp:annotation>
</sp:cardinality>
<sp:cardinality maxOccurs="0" minOccurs="0" subelement="./xs:sequence[1]/xs:element[1]" />
<sp:cardinality maxOccurs="0" minOccurs="0" subelement="./xs:sequence[1]/xs:element[5]" />
</sp:modification>
- <sp:modification element="/xs:schema/xs:complexType[@name='response_labelType']">
- <sp:cardinality maxOccurs="unbounded" minOccurs="0" subelement="./xs:choice[1]">
- <sp:annotation>
<sp:documentation category="explanation" xml:lang="en">response_label can contain only material, material_ref and flow_mat.</sp:documentation>
</sp:annotation>
</sp:cardinality>
<sp:cardinality maxOccurs="0" minOccurs="0" subelement="./xs:choice[1]/xs:element[1]" />
- <sp:attribute_properties subelement="./xs:attribute[@name='rarea']" type="EclipseOnlyType">
- <sp:annotation>
<sp:documentation category="explanation" xml:lang="en">response_label@rarea must not be used. Will default to 'Eclipse'.</sp:documentation>
</sp:annotation>
</sp:attribute_properties>
- <sp:attribute_properties subelement="./xs:attribute[@name='rrange']" type="ExactOnlyType">
- <sp:annotation>
<sp:documentation category="explanation" xml:lang="en">response_label@rrange must not be used. Will default to 'Exact'.</sp:documentation>
</sp:annotation>
</sp:attribute_properties>
</sp:modification>
- <sp:modification element="/xs:schema/xs:complexType[@name='response_lidType']">
- <sp:cardinality maxOccurs="1" minOccurs="1" subelement="./xs:sequence[1]">
- <sp:annotation>
<sp:documentation category="explanation" xml:lang="en">response_lid supports only render_choice, render_fib and render_extension, material and material_ref.</sp:documentation>
</sp:annotation>
</sp:cardinality>
<sp:cardinality maxOccurs="0" minOccurs="0" subelement="./xs:sequence[1]/xs:choice[2]/xs:element[2]" />
<sp:cardinality maxOccurs="0" minOccurs="0" subelement="./xs:sequence[1]/xs:choice[2]/xs:element[3]" />
- <sp:cardinality maxOccurs="0" minOccurs="0" subelement="./xs:sequence[1]/xs:choice[2]/xs:element[5]">
- <sp:annotation>
<sp:documentation category="explanation" xml:lang="en">response_lid/render_extension has been removed.</sp:documentation>
</sp:annotation>
</sp:cardinality>
</sp:modification>
- <sp:modification element="/xs:schema/xs:complexType[@name='response_strType']">
- <sp:cardinality maxOccurs="1" minOccurs="1" subelement="./xs:sequence[1]">
- <sp:annotation>
<sp:documentation category="explanation" xml:lang="en">response_str can have only subelements render_choice, render_fib and render_extension, material and material_ref.</sp:documentation>
</sp:annotation>
</sp:cardinality>
<sp:cardinality maxOccurs="0" minOccurs="0" subelement="./xs:sequence[1]/xs:choice[2]/xs:element[2]" />
<sp:cardinality maxOccurs="0" minOccurs="0" subelement="./xs:sequence[1]/xs:choice[2]/xs:element[3]" />
- <sp:cardinality maxOccurs="0" minOccurs="0" subelement="./xs:sequence[1]/xs:choice[2]/xs:element[5]">
- <sp:annotation>
<sp:documentation category="explanation" xml:lang="en">response_str/render_extension has been removed.</sp:documentation>
</sp:annotation>
</sp:cardinality>
</sp:modification>
- <sp:modification element="/xs:schema/xs:complexType[@name='resprocessingType']">
- <sp:cardinality maxOccurs="1" minOccurs="1" subelement="./xs:sequence[1]">
- <sp:annotation>
<sp:documentation category="explanation" xml:lang="en">resprocessing can have only outcomes and respcondition.</sp:documentation>
</sp:annotation>
</sp:cardinality>
<sp:cardinality maxOccurs="0" minOccurs="0" subelement="./xs:sequence[1]/xs:element[1]" />
<sp:cardinality maxOccurs="0" minOccurs="0" subelement="./xs:sequence[1]/xs:choice[1]/xs:element[2]" />
- <sp:attribute_properties subelement="./xs:attribute[@name='scoremodel']" use="prohibited">
- <sp:annotation>
<sp:documentation category="explanation" xml:lang="en">In resprocessing the scoremodel attribute is prohibited.</sp:documentation>
</sp:annotation>
</sp:attribute_properties>
</sp:modification>
- <sp:modification element="/xs:schema/xs:complexType[@name='sectionType']">
- <sp:cardinality maxOccurs="1" minOccurs="1" subelement="./xs:sequence[1]">
- <sp:annotation>
<sp:documentation category="explanation" xml:lang="en">In section can only contain items. qticomment, duration, qtimetadata, objectives, sectioncontrol, sectionpostcondition, sectionprecondition, rubric, presentation_material, outcomes_processing, sectionproc_extension, sectionfeedback, selection_ordering, reference, itemref, sectionref, section are not allowed.</sp:documentation>
</sp:annotation>
</sp:cardinality>
<sp:cardinality maxOccurs="0" minOccurs="0" subelement="./xs:sequence[1]/xs:element[1]" />
<sp:cardinality maxOccurs="0" minOccurs="0" subelement="./xs:sequence[1]/xs:element[2]" />
<sp:cardinality maxOccurs="0" minOccurs="0" subelement="./xs:sequence[1]/xs:element[3]" />
<sp:cardinality maxOccurs="0" minOccurs="0" subelement="./xs:sequence[1]/xs:element[4]" />
<sp:cardinality maxOccurs="0" minOccurs="0" subelement="./xs:sequence[1]/xs:element[5]" />
<sp:cardinality maxOccurs="0" minOccurs="0" subelement="./xs:sequence[1]/xs:element[6]" />
<sp:cardinality maxOccurs="0" minOccurs="0" subelement="./xs:sequence[1]/xs:element[7]" />
<sp:cardinality maxOccurs="0" minOccurs="0" subelement="./xs:sequence[1]/xs:element[8]" />
<sp:cardinality maxOccurs="0" minOccurs="0" subelement="./xs:sequence[1]/xs:element[9]" />
<sp:cardinality maxOccurs="0" minOccurs="0" subelement="./xs:sequence[1]/xs:element[10]" />
<sp:cardinality maxOccurs="0" minOccurs="0" subelement="./xs:sequence[1]/xs:element[11]" />
<sp:cardinality maxOccurs="0" minOccurs="0" subelement="./xs:sequence[1]/xs:element[12]" />
<sp:cardinality maxOccurs="0" minOccurs="0" subelement="./xs:sequence[1]/xs:element[13]" />
<sp:cardinality maxOccurs="0" minOccurs="0" subelement="./xs:sequence[1]/xs:element[14]" />
<sp:cardinality maxOccurs="0" minOccurs="0" subelement="./xs:sequence[1]/xs:choice[1]/xs:element[1]" />
<sp:cardinality maxOccurs="0" minOccurs="0" subelement="./xs:sequence[1]/xs:choice[1]/xs:element[3]" />
<sp:cardinality maxOccurs="0" minOccurs="0" subelement="./xs:sequence[1]/xs:choice[1]/xs:element[4]" />
- <sp:attribute_properties subelement="./xs:attribute[@ref='xml:lang']" type="xs:language">
- <sp:annotation>
<sp:documentation category="explanation" xml:lang="en">lang must be of type xs:language.</sp:documentation>
</sp:annotation>
</sp:attribute_properties>
</sp:modification>
- <sp:modification element="/xs:schema/xs:complexType[@name='setvarType']">
- <sp:attribute_properties subelement="./xs:simpleContent[1]/xs:extension[1]/xs:attribute[@name='action']" type="SetAddSubtractOnly">
- <sp:annotation>
<sp:documentation category="explanation" xml:lang="en">In setvar the action attribute can have only the values Set, Add and Subtract.</sp:documentation>
</sp:annotation>
</sp:attribute_properties>
</sp:modification>
- <sp:modification element="/xs:schema/xs:complexType[@name='solutionmaterialType']">
<sp:cardinality maxOccurs="0" minOccurs="0" subelement="./xs:choice[1]/xs:element[1]" />
</sp:modification>
- <sp:modification element="/xs:schema/xs:complexType[@name='solutionType']">
- <sp:cardinality maxOccurs="0" minOccurs="0" subelement="./xs:sequence[1]/xs:element[1]">
- <sp:annotation>
<sp:documentation category="explanation" xml:lang="en">In solution qticomment is not allowed.</sp:documentation>
</sp:annotation>
</sp:cardinality>
- <sp:attribute_properties subelement="./xs:attribute[@name='feedbackstyle']" type="CompleteOnly">
- <sp:annotation>
<sp:documentation category="explanation" xml:lang="en">In solution the feedbackstyle attribute can have only the value Complete.</sp:documentation>
</sp:annotation>
</sp:attribute_properties>
</sp:modification>
- <sp:modification element="/xs:schema/xs:complexType[@name='unansweredType']">
- <sp:attribute_properties subelement="./xs:simpleContent[1]/xs:extension[1]/xs:attribute[@name='respident']" type="string32">
- <sp:annotation>
<sp:documentation category="explanation" xml:lang="en">In unanswered the length of the respidient attribute is limited to 32.</sp:documentation>
</sp:annotation>
</sp:attribute_properties>
</sp:modification>
- <sp:modification element="/xs:schema/xs:complexType[@name='varequalType']">
- <sp:attribute_properties subelement="./xs:simpleContent[1]/xs:extension[1]/xs:attribute[@name='index']" use="prohibited">
- <sp:annotation>
<sp:documentation category="explanation" xml:lang="en">varequal@index is prohibited.</sp:documentation>
</sp:annotation>
</sp:attribute_properties>
</sp:modification>
- <sp:modification element="/xs:schema/xs:complexType[@name='vargteType']">
- <sp:attribute_properties subelement="./xs:simpleContent[1]/xs:extension[1]/xs:attribute[@name='respident']" type="string32">
- <sp:annotation>
<sp:documentation category="explanation" xml:lang="en">In vargte the length of the respidient attribute is limited to 32.</sp:documentation>
</sp:annotation>
</sp:attribute_properties>
- <sp:attribute_properties subelement="./xs:simpleContent[1]/xs:extension[1]/xs:attribute[@name='index']" type="string2">
- <sp:annotation>
<sp:documentation category="explanation" xml:lang="en">In vargte the length of the index attribute is limited to 2.</sp:documentation>
</sp:annotation>
</sp:attribute_properties>
</sp:modification>
- <sp:modification element="/xs:schema/xs:complexType[@name='vargtType']">
- <sp:attribute_properties subelement="./xs:simpleContent[1]/xs:extension[1]/xs:attribute[@name='respident']" type="string32">
- <sp:annotation>
<sp:documentation category="explanation" xml:lang="en">In vargt the length of the respidient attribute is limited to 32.</sp:documentation>
</sp:annotation>
</sp:attribute_properties>
- <sp:attribute_properties subelement="./xs:simpleContent[1]/xs:extension[1]/xs:attribute[@name='index']" type="string2">
- <sp:annotation>
<sp:documentation category="explanation" xml:lang="en">In vargt the length of the index attribute is limited to 2.</sp:documentation>
</sp:annotation>
</sp:attribute_properties>
</sp:modification>
- <sp:modification element="/xs:schema/xs:complexType[@name='varlteType']">
- <sp:attribute_properties subelement="./xs:simpleContent[1]/xs:extension[1]/xs:attribute[@name='respident']" type="string32">
- <sp:annotation>
<sp:documentation category="explanation" xml:lang="en">In varlte the length of the attribute respidient is limited to 32.</sp:documentation>
</sp:annotation>
</sp:attribute_properties>
- <sp:attribute_properties subelement="./xs:simpleContent[1]/xs:extension[1]/xs:attribute[@name='index']" type="string2">
- <sp:annotation>
<sp:documentation category="explanation" xml:lang="en">In varlte the length of the attribute index is limited to 2.</sp:documentation>
</sp:annotation>
</sp:attribute_properties>
</sp:modification>
- <sp:modification element="/xs:schema/xs:complexType[@name='varltType']">
- <sp:attribute_properties subelement="./xs:simpleContent[1]/xs:extension[1]/xs:attribute[@name='respident']" type="string32">
- <sp:annotation>
<sp:documentation category="explanation" xml:lang="en">In varlt the length of the respidient attribute is limited to 32.</sp:documentation>
</sp:annotation>
</sp:attribute_properties>
- <sp:attribute_properties subelement="./xs:simpleContent[1]/xs:extension[1]/xs:attribute[@name='index']" type="string2">
- <sp:annotation>
<sp:documentation category="explanation" xml:lang="en">In varlt the value of the index attribute is limited to 2.</sp:documentation>
</sp:annotation>
</sp:attribute_properties>
</sp:modification>
- <sp:modification element="/xs:schema/xs:complexType[@name='varsubsetType']">
- <sp:attribute_properties subelement="./xs:simpleContent[1]/xs:extension[1]/xs:attribute[@name='respident']" type="string32">
- <sp:annotation>
<sp:documentation category="explanation" xml:lang="en">In varsubset the length of the respidient attribute is limited to 32.</sp:documentation>
</sp:annotation>
</sp:attribute_properties>
- <sp:attribute_properties subelement="./xs:simpleContent[1]/xs:extension[1]/xs:attribute[@name='index']" type="string2">
- <sp:annotation>
<sp:documentation category="explanation" xml:lang="en">In varsubset the length of the index attribute is limited to 2.</sp:documentation>
</sp:annotation>
</sp:attribute_properties>
</sp:modification>
- <sp:modification element="/xs:schema/xs:complexType[@name='varsubstringType']">
- <sp:attribute_properties subelement="./xs:simpleContent[1]/xs:extension[1]/xs:attribute[@name='index']" use="prohibited">
- <sp:annotation>
<sp:documentation category="explanation" xml:lang="en">varsubstring@index is prohibited</sp:documentation>
</sp:annotation>
</sp:attribute_properties>
</sp:modification>
</sp:modifications>
- <sp:definitions>
- <xs:simpleType name="AllOnlyValue">
- <xs:restriction>
- <xs:simpleType>
- <xs:restriction base="xs:NMTOKEN">
<xs:enumeration value="All" />
<xs:enumeration value="Administrator" />
<xs:enumeration value="AdminAuthority" />
<xs:enumeration value="Assessor" />
<xs:enumeration value="Author" />
<xs:enumeration value="Candidate" />
<xs:enumeration value="InvigilatorProctor" />
<xs:enumeration value="Psychometrician" />
<xs:enumeration value="Scorer" />
<xs:enumeration value="Tutor" />
</xs:restriction>
</xs:simpleType>
<xs:whiteSpace value="collapse" />
<xs:enumeration value="All" />
</xs:restriction>
</xs:simpleType>
- <xs:simpleType name="CompleteOnly">
- <xs:restriction>
- <xs:simpleType>
- <xs:restriction base="xs:NMTOKEN">
<xs:enumeration value="Complete" />
<xs:enumeration value="Incremental" />
<xs:enumeration value="Multilevel" />
<xs:enumeration value="Proprietary" />
</xs:restriction>
</xs:simpleType>
<xs:whiteSpace value="collapse" />
<xs:enumeration value="Complete" />
</xs:restriction>
</xs:simpleType>
- <xs:simpleType name="DecimalIntegerOnly">
- <xs:restriction>
- <xs:simpleType>
- <xs:restriction base="xs:NMTOKEN">
<xs:enumeration value="Integer" />
<xs:enumeration value="String" />
<xs:enumeration value="Decimal" />
<xs:enumeration value="Scientific" />
<xs:enumeration value="Boolean" />
<xs:enumeration value="Enumerated" />
<xs:enumeration value="Set" />
</xs:restriction>
</xs:simpleType>
<xs:whiteSpace value="collapse" />
<xs:enumeration value="Integer" />
<xs:enumeration value="Decimal" />
</xs:restriction>
</xs:simpleType>
- <xs:simpleType name="DummyType">
- <xs:restriction base="xs:string">
<xs:whiteSpace value="preserve" />
</xs:restriction>
</xs:simpleType>
- <xs:simpleType name="ScoreOnlyType">
- <xs:restriction base="xs:string">
<xs:whiteSpace value="preserve" />
<xs:enumeration value="SCORE" />
</xs:restriction>
</xs:simpleType>
- <xs:simpleType name="SetAddSubtractOnly">
- <xs:restriction>
- <xs:simpleType>
- <xs:restriction base="xs:NMTOKEN">
<xs:enumeration value="Set" />
<xs:enumeration value="Add" />
<xs:enumeration value="Subtract" />
<xs:enumeration value="Multiply" />
<xs:enumeration value="Divide" />
</xs:restriction>
</xs:simpleType>
<xs:whiteSpace value="collapse" />
<xs:enumeration value="Set" />
<xs:enumeration value="Add" />
<xs:enumeration value="Subtract" />
</xs:restriction>
</xs:simpleType>
- <xs:simpleType name="string1024">
- <xs:restriction base="xs:string">
<xs:maxLength value="1024" />
<xs:whiteSpace value="preserve" />
</xs:restriction>
</xs:simpleType>
- <xs:simpleType name="string16">
- <xs:restriction base="xs:string">
<xs:maxLength value="16" />
<xs:whiteSpace value="preserve" />
</xs:restriction>
</xs:simpleType>
- <xs:simpleType name="string2">
- <xs:restriction base="xs:string">
<xs:maxLength value="2" />
<xs:whiteSpace value="preserve" />
</xs:restriction>
</xs:simpleType>
- <xs:simpleType name="string256">
- <xs:restriction base="xs:string">
<xs:maxLength value="256" />
<xs:whiteSpace value="preserve" />
</xs:restriction>
</xs:simpleType>
- <xs:simpleType name="string32">
- <xs:restriction base="xs:string">
<xs:maxLength value="32" />
<xs:whiteSpace value="preserve" />
</xs:restriction>
</xs:simpleType>
- <xs:simpleType name="string4">
- <xs:restriction base="xs:string">
<xs:maxLength value="4" />
<xs:whiteSpace value="preserve" />
</xs:restriction>
</xs:simpleType>
- <xs:simpleType name="EclipseOnlyType">
- <xs:restriction>
- <xs:simpleType>
- <xs:restriction base="xs:NMTOKEN">
<xs:enumeration value="Ellipse" />
<xs:enumeration value="Rectangle" />
<xs:enumeration value="Bounded" />
</xs:restriction>
</xs:simpleType>
<xs:whiteSpace value="collapse" />
<xs:enumeration value="Ellipse" />
</xs:restriction>
</xs:simpleType>
- <xs:simpleType name="ExactOnlyType">
- <xs:restriction>
- <xs:simpleType>
- <xs:restriction base="xs:NMTOKEN">
<xs:enumeration value="Exact" />
<xs:enumeration value="Range" />
</xs:restriction>
</xs:simpleType>
<xs:whiteSpace value="collapse" />
<xs:enumeration value="Exact" />
</xs:restriction>
</xs:simpleType>
</sp:definitions>
<sp:mappings />
</sp:schema_mod>
Appendix D - CC Schematron Rules for the Profiled Content Packaging v1.2 Schema
The CC schema package ccv1p0.zip contains the file /derived_schema/imscp_v1p2_constraintsDocument.scmt which documents the schematron rules applied to the CPv1.2 schema for the CC CP profile. The contents of the file are reproduced below.
<?xml version="1.0" encoding="UTF-8"?>
<schema xmlns="http://www.ascc.net/xml/schematron">
<ns prefix="xs" uri="http://www.w3.org/2001/XMLSchema" />
<ns prefix="xsd" uri="http://www.w3.org/2001/XMLSchema" />
<ns prefix="xsi" uri="http://www.w3.org/2001/XMLSchema-instance" />
<ns prefix="ac" uri="http://iwm.uni-koblenz.de/xsd/tel_addc_v1p1" />
<ns prefix="ims" uri="/xsd/imscc/imscp_v1p1" />
<!--***********************************************************************************************-->
<!--** Constraints document - this document holds Schematron rules that have been generated from **-->
<!--** AP condition and assertion elements. IMPORTANT: If this document exists, it MUST be **-->
<!--** used in the validation of instances derived from the resultant schema - failure to do so **-->
<!--** can result in an instance that does not conform to either the base schema or the **-->
<!--** Application Profile. **-->
<!--***********************************************************************************************-->
<pattern name="pattern_3">
<rule context="ims:manifest/ims:resources/ims:resource/ims:dependency">
<assert test="(not(../@type='associatedcontent/imscc_xmlv1p0/learning-application-resource')) or (current()/@identifierref = /ims:manifest/ims:resources/ims:resource[@type='webcontent']/@identifier)">Assertion failed for pattern_3. A Resource object which is a Learning Object associated resource may contain Dependency objects which reference Resource objects with Type 'webcontent'.(#S03)</assert>
</rule>
</pattern>
<pattern name="pattern_4">
<rule context="ims:manifest/ims:organizations/ims:organization//ims:item">
<assert test="count(./@identifierref)=0 or count(./ims:item)=0">Assertion failed for pattern_4. An Item object which represents a folder is indicated by the absence of an IdentifierRef characteristic object. Folder Items support unlimited nesting of other folder Items and learning object link Items. Learning Application Resource Item objects may be nested by folder Item object but may not nest other folder or Learning Application resource Item objects.(#S04)</assert>
</rule>
</pattern>
<pattern name="pattern_5">
<rule context="ims:manifest/ims:resources/ims:resource">
<assert test="not((./@type='webcontent' or ./@type='associatedcontent/imscc_xmlv1p0/learning-application-resource') and ./@identifier = //ims:item/@identifierref) or count(./@href)=1">Error: Assertion failed for pattern_5: If a cartridge web content or associated content resource is linked from a Learning Application Object link Item object it must have an Href characteristic object which represents the launchable resource.(#S05)</assert>
</rule>
</pattern>
<pattern name="pattern_6">
<rule context="ims:manifest/ims:resources/ims:resource">
<assert test="not(./@type='imsdt_xmlv1p0') or (count(./ims:file)= 1 and count(./@href)=0)">Error: Assertion failed for pattern_5: For Discussion Topic Resources the Resource object must contain a single File object which references the Discussion Topic descriptor XML file which conforms to the /xsd/imsdt_v1p0 schema. Discussion Topic resources must not contain href (#S06)</assert>
</rule>
</pattern>
<pattern name="pattern_7">
<rule context="ims:manifest/ims:resources/ims:resource">
<assert test="not(./@type='imswl_xmlv1p0') or (count(./ims:file) = 1 and count(./ims:dependency)=0 and count(./@href)=0)">Error: Assertion validation failed for pattern_7: For Web Link Resources the Resource object must contain a single File object which references the Web Link descriptor XML file which conforms to the /xsd/imswl_v1p0 schema.It must contain neither Dependency objects nor an href attribute.(#S07)</assert>
</rule>
</pattern>
<pattern name="pattern_11a">
<rule context="ims:manifest/ims:resources/ims:resource">
<assert test="not(./@type='imsqti_xmlv1p2/imscc_xmlv1p0/assessment') or (count(./ims:file) = 1 and count(./@href)=0)">Error: Assertion validation failed for pattern_11a: For Assessment resources the Resource object must contain a single File object which references the QTI XML file. This file must conform to the 1EdTech CC profile of QTI 1.2.1. The profile is contained in the package of this profile as imscc_q*.zip. The derived schema of this QTI profile is in the package of this profile with the name ims_qtiasiv1p2_localised.xsd. The resource must not have an href attribute(#S11a)</assert>
</rule>
</pattern>
<pattern name="pattern_11b1">
<rule context="ims:manifest/ims:resources/ims:resource">
<assert test="not(./@type='imsqti_xmlv1p2/imscc_xmlv1p0/question-bank') or (count(./ims:file) = 1 )">Error: Assertion validation failed for pattern_11b1: For Question Bank resources the Resource object must contain a single File object which references the QTI XML file. (#S11b1)</assert>
</rule>
</pattern>
<pattern name="pattern_11b2">
<rule context="ims:manifest/ims:resources/ims:resource">
<assert test="not(./@type='imsqti_xmlv1p2/imscc_xmlv1p0/question-bank') or (count(./@href)=0 )">Error: Assertion validation failed for pattern_11b2: A Question Bank Resource must not have an href attribute. (#S11b2)</assert>
</rule>
</pattern>
<pattern name="pattern_11b3">
<rule context="ims:manifest/ims:resources/ims:resource">
<assert test="not(./@type='imsqti_xmlv1p2/imscc_xmlv1p0/question-bank') or ( not(//ims:item[@identifierref]=./@identifier) )">Error: Assertion validation failed for pattern_11b3: A Question Bank Resource must not be referenced from an item. (#S11b3)</assert>
</rule>
</pattern>
<pattern name="pattern_11b4">
<rule context="ims:manifest/ims:resources/ims:resource">
<assert test="not(./@type='imsqti_xmlv1p2/imscc_xmlv1p0/question-bank') or (count(//ims:resource[@type='imsqti_xmlv1p2/imscc_xmlv1p0/question-bank'])=1)">Error: Assertion validation failed for pattern_11b4: There can be only one Questionbank Resource in a cartridge.(#S11b4)</assert>
</rule>
</pattern>
<pattern name="pattern_12">
<rule context="ims:manifest/ims:resources/ims:resource/ims:dependency">
<assert test="(not(../@type='imsdt_xmlv1p0')) or (current()/@identifierref = /ims:manifest/ims:resources/ims:resource[@type='webcontent']/@identifier) or (current()/@identifierref = /ims:manifest/ims:resources/ims:resource[@type='associatedcontent/imscc_xmlv1p0/learning-application-resource']/@identifier)">Assertion failed for pattern_12. A Resource object which is a Discussion Topic associated resource may contain Dependency objects which reference Resource objects with Type 'webcontent' or 'associatedcontent/imscc_xmlv1p0/learning-application-resource'.(#S12)</assert>
</rule>
</pattern>
<pattern name="pattern_14">
<rule context="ims:manifest/ims:resources/ims:resource/ims:dependency">
<assert test="(not(../@type='imsqti_xmlv1p2/imscc_xmlv1p0/assessment')) or (current()/@identifierref = /ims:manifest/ims:resources/ims:resource[@type='webcontent']/@identifier) or (current()/@identifierref = /ims:manifest/ims:resources/ims:resource[@type='associatedcontent/imscc_xmlv1p0/learning-application-resource']/@identifier)">Assertion failed for pattern_14. A Resource object which is an assessment may contain Dependency objects which reference Resource objects with Type 'webcontent' or 'associatedcontent/imscc_xmlv1p0/learning-application-resource'.(#S14)</assert>
</rule>
</pattern>
<pattern name="pattern_15">
<rule context="ims:manifest/ims:resources/ims:resource/ims:dependency">
<assert test="(not(../@type='imsqti_xmlv1p2/imscc_xmlv1p0/question-bank')) or (current()/@identifierref = /ims:manifest/ims:resources/ims:resource[@type='webcontent']/@identifier) or (current()/@identifierref = /ims:manifest/ims:resources/ims:resource[@type='associatedcontent/imscc_xmlv1p0/learning-application-resource']/@identifier)">Assertion failed for pattern_15. A Resource object which is a Question Bank may contain Dependency objects which reference Resource objects with Type 'webcontent' or 'associatedcontent/imscc_xmlv1p0/learning-application-resource'.(#S15)</assert>
</rule>
</pattern>
</schema>
About This Document
|
Title |
1EdTech Common Cartridge Profile |
|
Editor |
Kevin Riley |
|
Co-Leads |
Erik Unjhem, David Mills |
|
Version |
v1.0 |
|
Version Date |
1 October 2008 |
|
Status |
Final Specification v1.0 |
|
Summary |
This document contains the profile information for Common Cartridge, an open format for the distribution of rich, web-based content. |
|
Revision Information |
16 July 2008 |
|
Purpose |
This document has been approved by the 1EdTech Technical Advisory Board and is made available for pubic adoption. |
|
Document Location |
List of Contributors
The following individuals contributed to the development of this document:
|
Name |
Organization |
Name |
Organization |
|---|---|---|---|
|
Adam Cooper |
JISC |
Kellan Wampler |
ANGEL Learning |
|
Alan Aikens |
Pearson Education |
Kevin Riley (editor) |
1EdTech Consortium |
|
Anthony Whyte |
University of Michigan |
Kim Cetrone |
Pearson Education |
|
Bob Alcorn |
Blackboard Inc. |
Lou Mersereau |
Pearson Central Media Group |
|
Brent Bailey |
Elsevier |
Mark Norton |
University of Michigan |
|
Brian Cepuran |
Desire2Learn |
Martin Bayly |
Blackboard Inc.WebCT |
|
Chris Darroch |
Pearson Central Media Group |
Mike Farnesi (co-chair) |
Pearson Education |
|
Chris Chung |
Harcourt |
Mike Jones |
Cengage |
|
Chris Moffatt |
Microsoft Inc. |
Mladen Maljkovic |
Pearson Education |
|
Chris Vento (co-chair) |
WebCT Blackboard Inc. |
Nilesh Shinde |
LearningMate |
|
Christian Kaefer |
McGraw-Hill Education |
Paul Lewis |
Horizon Wimba |
|
Chuck Severance |
University of Michigan |
Prasad Mohare |
LearningMate |
|
Colin Smythe |
1EdTech Consortium |
Sarah Currier |
Intrallect Ltd |
|
Dan Rinn |
Cengage |
Scott Criswell |
McGraw-Hill |
|
Dave Dusthimer |
Cisco |
Stefan Gerstmann |
Digital Spirit |
|
David Mills (co-chair) |
ANGEL Learning |
Stuart Sim |
Moodle |
|
Erik Unhjem (co-chair) |
Pearson Education |
Tom Grega |
Cengage |
|
Ingo Dahn |
University of Koblenz-Landau |
Warwick Bailey |
Icodeon |
|
Jan Posten Day |
Blackboard Inc. |
Wilbert Kraan |
JISC |
|
Jeff Bradley |
Blackboard Inc. |
Yong-Sang Cho |
KERIS |
Revision History
|
Version No. |
Release Date |
Comments |
|
Base Document 1.0 |
6 April 2006 |
The internal project group draft of the specification. |
|
CM/DN Draft 1.0 |
19 March 2007 |
The CM/DN Draft of the specification. |
|
Public Draft Specification 1.0 |
22 July 2008 |
The Public Draft of the CC v1.0 specification. |
|
Final Specification 1.0 |
1 October 2008 |
The first formal version of the CC v1.0 specification. |
- 1.
-
NB: The files listed in the associated content resource must be in the same directory as the learning application resource file or a subordinate directory.

1EdTech GLC makes no warranty or representation regarding the accuracy or completeness of the Specification.
This material is provided on an “As Is” and “As Available” basis.
The Specification is at all times subject to change and revision without notice.
It is your sole responsibility to evaluate the usefulness, accuracy, and completeness of the Specification as it relates to you.
1EdTech GLC would appreciate receiving your comments and suggestions.
Please contact 1EdTech GLC through our website at /
Please refer to Document Name: 1EdTech Common Cartridge Profile Date: 1 October 2008








