
1EdTech Access For All (AfA) Digital Resource Description Specification Information Model
> Version 3.0 Specification
Public Draft 1.0
Date Issued: 13 September 2012
Latest version: http://www.imsglobal.org/accessibility/
IPR and Distribution Notices
Recipients of this document are requested to submit, with their comments, notification of any relevant patent claims or other intellectual property rights of which they may be aware that might be infringed by any implementation of the specification set forth in this document, and to provide supporting documentation.
1EdTech takes no position regarding the validity or scope of any intellectual property or other rights that might be claimed to pertain to the implementation or use of the technology described in this document or the extent to which any license under such rights might or might not be available; neither does it represent that it has made any effort to identify any such rights. Information on 1EdTech’s procedures with respect to rights in 1EdTech specifications can be found at the 1EdTech Intellectual Property Rights web page: http://www.imsglobal.org/ipr/imsipr_policyFinal.pdf .
Copyright © 2012 1EdTech Consortium. All Rights Reserved.
Use of this specification to develop products or services is governed by the license with 1EdTech found on the 1EdTech website: http://www.imsglobal.org/speclicense.html .
Permission is granted to all parties to use excerpts from this document as needed in producing requests for proposals.
The limited permissions granted above are perpetual and will not be revoked by 1EdTech or its successors or assigns.
THIS SPECIFICATION IS BEING OFFERED WITHOUT ANY WARRANTY WHATSOEVER, AND IN PARTICULAR, ANY WARRANTY OF NONINFRINGEMENT IS EXPRESSLY DISCLAIMED. ANY USE OF THIS SPECIFICATION SHALL BE MADE ENTIRELY AT THE IMPLEMENTER'S OWN RISK, AND NEITHER THE CONSORTIUM, NOR ANY OF ITS MEMBERS OR SUBMITTERS, SHALL HAVE ANY LIABILITY WHATSOEVER TO ANY IMPLEMENTER OR THIRD PARTY FOR ANY DAMAGES OF ANY NATURE WHATSOEVER, DIRECTLY OR INDIRECTLY, ARISING FROM THE USE OF THIS SPECIFICATION.
Public contributions, comments and questions can be posted here: Public Forums.
1 Introduction
1.1 Access For All Overview
The Access For All Specification (AfA) is intended to promote an inclusive user experience by enabling the matching of the characteristics of resources to the needs and preferences of individual users. The AfA specification consists of a common language for describing:
- A learner’s needs and preferences with respect to how the learner can best interact with digital resources, including configuration of assistive technologies. This is represented using the 1EdTech AfA Personal Needs and Preferences (PNP) v3.0 [AfAPNP, 12] specification;
- Digital learning resources. This is represented using the 1EdTech AfA Digital Resource Description (DRD) v3.0 specification, i.e., this document.
1.2 Scope and Context
This part of the AfA Specification provides a common language to describe digital learning resources to facilitate matching of those resources to learners’ accessibility needs and preferences. Metadata can be used for at least two accessibility-related purposes: to record compliance to an accessibility specification or standard (e.g., for adherence to legislated procurement policies) and to enable the delivery of resources that meet a user’s needs and preferences. The AfA DRD addresses the latter purpose. Metadata to assert compliance to an accessibility specification or standard is not within the scope of this part of the Access For All Specification.
The AfA DRD specification is intended for use in combination with the 1EdTech AfA PNP specification v3.0 [AfAPNP, 12], which provides a means to describe how a user desires to access online learning content and related applications. This part of the AfA Specification is intended to describe aspects of digital resources or a computer system (including networked systems) that can be adjusted to improve accessibility. They are not intended to address non-digital systems that can include physical location, other people, external processes, etc.
The AfA DRD specification focuses on the description of the characteristics of the resource that affect how it can be perceived, understood or interacted with by users, including:
- What sensory modalities are used in the resource;
- Ways in which the resource is adaptable e.g. whether text can be transformed automatically;
- Which methods of input the resource accepts;
- What adaptations are available.
The AfA DRD specification provides an information model for describing learning resources so that individual learner needs and preferences (described according to the AfA PNP) can be matched with the appropriate user interfaces, tools and learning resources within a computer-mediated learning environment.
1.3 Structure of this Document
The structure of this document is:
|
2. Digital Resource Description |
The underlying data model for the DRD; |
|
3. Information Model |
The information model for the components that constitute the DRD; |
|
4. Extending the Specification |
An explanation of how the functionality of the specification can be extended using the extension features; |
|
5. Conformance |
The expectations for systems, applications and tools that wish to claim compliance to this specification; |
|
Appendix A The 1EdTech UML Profile Notation |
The 1EdTech profile of UML for the platform independent model used to describe an information model. |
1.4 Compatibility with Version 2.0
The information models for AfA DRD v2.0 and v3.0 have many similarities but there are many differences. There is no backwards compatibility between versions 2 and 3.
This release of the specification (3.0) is designed to provide a very simple but extensible model and encourage early adoption and implementation. It was initially modelled using a semantic web approach then described using UML to support a particular class of implementations. The range of properties or attributes modelled and their representation is much simpler than in AfAv2 in order to better support those properties identified as important by early adopters of previous versions. As such backwards compatibility with AfAv2 has not been provided for as the team considered it important to establish a simpler way to represent the properties. A number of the attributes in AfAv3 have semantic equivalents in AfAv2 that could be mapped to their AfA3 versions.
1.5 Nomenclature
AfA Access For All
AfA DRD Access For All Digital Resource Description
AfA PNP Access For All Personal Needs & Preferences
API Application Programming Interface
ARIA Accessible Rich Internet Applications
ASCII American Standard Code for Information Interchange
AT Assistive Technology
AT-SPI Assistive Technology Service Provider Interface
ATK Accessibility Toolkit
DAISY Digital Accessible Information System
DRD Digital Resource Description
1EdTech 1EdTech Consortium Inc.
ISO International Standards Organization
MSAA Microsoft Active Accessibility
NIMAS National Instructional Materials Accessibility Standard
OEBPS Open eBook Publication Structure
PDF Portable Document Format
PEF Portable Embosser Format
PIM Platform Independent Model
PNP Personal Needs & Preferences
UML Unified Modeling Language
W3C World Wide Web Consortium
WAI Web Accessibility Initiative
WCAG Web Content Accessibility Guidelines
XML Extensible Mark-up Language
1.6 References
[AfA, 12a] 1EdTech Access For All Specification Overview v1.0, R.Schwerdtfeger, M.Rothberg and C.Smythe, Public Draft, 1EdTech Inc., September 2012.
[AfA, 12b] 1EdTech Access For All Best Practices & Implementation Guide v1.0, R.Schwerdtfeger, M.Rothberg and C.Smythe, Public Draft, 1EdTech Inc., September 2012.
[AfADES, 12] 1EdTech Access For All v3.0 Data Element Specification v1.0, R.Schwerdtfeger, M.Rothberg and C.Smythe, Public Draft, 1EdTech Inc., September 2012.
[AfAPNP, 12] 1EdTech Access For All Personal Needs & Preferences v3.0 Information Model v1.0, R.Schwerdtfeger, M.Rothberg and C.Smythe, Public Draft, 1EdTech Inc., September 2012.
[ISO639, 98] ISO 639-2:1998 (E/F), Codes for the representation of names of languages — Part 2: Alpha-3 code/Codes pour la représentation des noms de langue — Partie 2: Code alpha-3 .
[RFC4646] RFC 4646: Tags for identifying Languages , A.Phillips and M.Davis, The Internet Society, September 2006.
[WCAG2, 98] W3C /WAI Web Content Accessibility Guidelines 2.0 [W3C/WAI WCAG ], W3C, 1998,
http://www.w3.org/TR/2008/REC-WCAG20-20081211/ .
2 Digital Resource Description
Figure 2.1 describes the associations between resources and their adaptation. It embodies several use cases and should be interpreted differently for each, particularly for the “Resource Adaptation” which may be different things in each use case.

Figure 2.1 Schematic representation of the use-cases.
For example, where we are searching on the web, a resource adaptation may be another complete resource containing several access modes. If we are disassembling and re-assembling content working with a repository, it may be a component. Where we are using tools to “repair” an object to make it accessible to some set of preferences, an adaptation may be a representation internal to the tools, for example of captions. It may also be an online or offline service delivered alongside the content or that generates the adaptation.

Figure 2.2 Digital Resource Description.
Figure 2.2 illustrates the accessibility properties (described here as attributes) and how they relate to each other. [1] These properties would ultimately be used by a resource matching system to deliver a personalized, accessible user experience when matching resources tagged by DRD resource properties to a user’s requirements as expressed in a PNP statement. In Figure 2.2, all of the properties are shown but vocabularies for each property are not included, with the exception of accessModeValue, which is included to show that both accessMode and accessModeAdapted draw on the same vocabulary. The refinement relationships are discussed in the Best Practices and Implementation Guide [AfA, 12b].
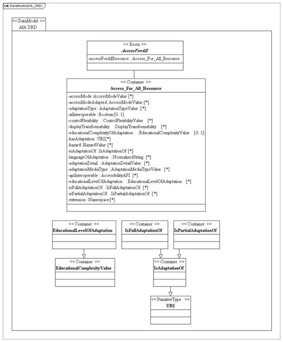
3 Information Model
The Platform Independent Model (PIM) for the Access_For_All_Resource data model [2] is shown in Figure 3.1.

Figure 3.1 Access_For_All_Resource class diagram.
|
Descriptor |
Definition |
|---|---|
|
Class name |
AccessForAll |
|
Class type |
Container |
|
Source |
N/A |
|
Properties |
[ accessForAllResource ] |
|
Description |
An abstract class used to indicate that the root ‘Access_For_All_Resource’ of the data model is the attribute accessForAllResource. |
|
Descriptor |
Definition |
|---|---|
|
Class name |
Access_For_All_Resource |
|
Class type |
Container |
|
Source |
Root |
|
Properties |
[ accessMode, accessModeAdapted, adaptationType, atInteroperable, controlFlexibiliuty, displayTransformability, educationalComplexityOfAdaptation, hasAdaptation, hazard, isAdaptationOf, languageOfAdaptation, adaptationDetail, adaptationMedia, apiInteroperable, educationalLevelOfAdaptation, isFullAdaptationOf, isPartialAdaptationOf, extension ], unordered |
|
Description |
A collection of information that states how a digital resource can be perceived, understood or interacted with by users. |
3.1 AccessMode Attribute Description
|
Descriptor |
Definition |
|---|---|
|
Attribute name |
accessMode |
|
Data type |
AccessModeValue (see sub-section 2.2 in AfA DES [AfADES, 12]). |
|
Value space |
Container |
|
Multiplicity |
[0..unbounded], unordered |
|
Linguistic Indicator |
Linguistic |
|
Description |
An access mode through which the intellectual content of a described resource or adaptation is communicated; if adaptations for the resource are known, the access modes of those adaptations are not included. |
|
Notes |
The example of ‘accessMode= visual’ expresses this statement: “The object has intellectual content that is presented visually.” |
3.2 AccessModeAdapted Attribute Description
|
Descriptor |
Definition |
|---|---|
|
Attribute name |
accessModeAdapted |
|
Data type |
AccessModeValue (see sub-section 2.2 in AfA DES [AfADES, 12]). |
|
Value space |
Container |
|
Multiplicity |
[0..unbounded], unordered |
|
Linguistic Indicator |
Linguistic |
|
Description |
The access mode of the intellectual content of the resource that is being adapted. |
|
Notes |
The example of ‘accessModeAdapted=visual’ expresses this statement: “This adaptation replaces intellectual content (in this same or another resource) that is presented visually.” |
3.3 AccessModeOrnamental Attribute Description
|
Descriptor |
Definition |
|---|---|
|
Attribute name |
accessModeOrnamental |
|
Data type |
AccessModeValue (see sub-section 2.2 in AfA DES [AfADES, 12]). |
|
Value space |
Container |
|
Multiplicity |
[0..unbounded], unordered |
|
Linguistic Indicator |
Linguistic |
|
Description |
An access mode through which ornamental content of the described resource or adaptation is communicated; if adaptations for the resource are known the access modes of those adaptations are not included. |
|
Notes |
Ornamental access modes are inessential to the semantics of the content, such as when the only auditory content is background music or the only visual content is decorative graphics. The example of ‘accessModeOrnamental= visual’ expresses this statement: “This resource contains ornamental visual materials.” |
3.4 AdaptationDetail Attribute Description
|
Descriptor |
Definition |
|---|---|
|
Attribute name |
adaptationDetail |
|
Data type |
AdaptationDetailValue (see sub-section 2.4 in AfA DES [AfADES, 12]). |
|
Value space |
Container |
|
Multiplicity |
[0..unbounded], unordered |
|
Linguistic Indicator |
Linguistic |
|
Description |
Fine detail of one or more adaptation type values. |
|
Notes |
The example of ‘adaptationDetail =recorded’ expresses this statement: “This object contains recorded human voice, as opposed to synthesized speech.” Comment on the relationship between this attribute and its terms, and the other attributes and their terms, is especially invited. |
3.5 AdaptationMediaType Attribute Description
|
Descriptor |
Definition |
|---|---|
|
Attribute name |
adaptationMediaType |
|
Data type |
AdaptationMediaTypeValue (See sub-section 2.3 in AfA DES [AfADES, 12]). |
|
Value space |
Container |
|
Multiplicity |
[0..unbounded], unordered |
|
Linguistic Indicator |
Linguistic |
|
Description |
Identifies the media type of the described resource, for media types commonly used to aggregate modalities or functionalities. |
|
Notes |
The example of ‘adaptationMediaType =NIMAS’ expresses this statement: “This resource uses the NIMAS format.” Comment on the relationship between this attribute and its terms, and the other attributes and their terms, is especially invited. |
3.6 AdaptationType Attribute Description
|
Descriptor |
Definition |
|---|---|
|
Attribute name |
adaptationType |
|
Data type |
AdaptationTypeValue (See sub-section 2.5 in AfA DES [AfADES, 12]). |
|
Value space |
Container |
|
Multiplicity |
[0..unbounded], unordered |
|
Linguistic Indicator |
Linguistic |
|
Description |
Nature or genre of the adaptation. |
|
Notes |
The example of ‘adaptationType= alternativeText’ expresses this statement: “This adaptation contains a short text description.” |
3.7 ApiInteroperable Attribute Description
|
Descriptor |
Definition |
|---|---|
|
Attribute name |
apiInteroperable |
|
Data type |
AccessibilityAPI (see sub-section 2.1 in AfA DES [AfADES, 12]). |
|
Value space |
Container |
|
Multiplicity |
[0..unbounded], unordered |
|
Linguistic Indicator |
Non-linguistic |
|
Description |
Indicates that the resource is compatible with the referenced accessibility API. |
|
Notes |
The details of how each API is serviced may be different for each one and handled by the User Agent and/or operating system. The example of ‘apiInteroperable = ARIAv1’ expresses this statement: “This object implements the ARIA v1 interoperability specification.” |
3.8 AtInteroperable Attribute Description
|
Descriptor |
Definition |
|---|---|
|
Attribute name |
atInteroperable |
|
Data type |
Boolean (see Table A1.1). |
|
Value space |
· False – denotes that the resource is not compatible with assistive technologies; · True – denotes that the resource is compatible with assistive technologies. |
|
Multiplicity |
[0..1] |
|
Linguistic Indicator |
Non-linguistic |
|
Description |
The resource is compatible with assistive technologies. Setting this resource metadata indicates compliance with WCAG 2.0 checkpoints: 1.1.1, 1.3.1, 1.3.2, 2.4.4, 3.1.1, 3.1.2, 3.3.2, 4.1.1, 4.1.2. |
|
Notes |
N/A |
3.9 ControlFlexibility Attribute Description
|
Descriptor |
Definition |
|---|---|
|
Attribute name |
controlFlexibility |
|
Data type |
ControlFlexibilityValue (see sub-section 2.6 in AfA DES [AfADES, 12]). |
|
Value space |
Container |
|
Refines |
N/A |
|
Multiplicity |
[0..unbounded], unordered |
|
Linguistic Indicator |
Linguistic |
|
Description |
Identifies a single input method that is sufficient to control the described resource. |
|
Notes |
The example of ‘controlFlexibility = fullKeyboardControl’ expresses this statement: “This object is fully usable with keyboard control.” |
3.10 DisplayTransformability Attribute Description
|
Descriptor |
Definition |
|---|---|
|
Attribute name |
displayTransformability |
|
Data type |
DisplayTransformabilityValue (See sub-section 2.7 in AfA DES [AfADES, 12]). |
|
Value space |
Container |
|
Multiplicity |
[0..unbounded], unordered |
|
Linguistic Indicator |
Linguistic |
|
Description |
Identifies a characteristic of display of the described resource that can be programmatically modified. |
|
Notes |
This attribute is used to state what display properties are amenable to transformation. The example of ‘displayTransformability = fontSize’ expresses this statement: “This object permits its font size to be adjusted on user request.” |
3.11 EducationalComplexityOfAdaptation Attribute Description
|
Descriptor |
Definition |
|---|---|
|
Attribute name |
educationalComplexityOfAdaptation |
|
Data type |
EducationalComplexityValue (see sub-section 2.8 in AfA DES [AfADES, 12]). |
|
Value space |
Container |
|
Multiplicity |
[0..1] |
|
Linguistic Indicator |
Linguistic |
|
Description |
Identifies if the resource is simplified or enriched relative to another resource that presents the same intellectual content. |
|
Notes |
The example of ‘educationalComplexityOfAdaptation= simplified’ expresses this statement: “This object is equivalent to another resource, but presented in a simplified form”. |
3.12 EducationalLevelOfAdaptation Attribute Description
|
Descriptor |
Definition |
|---|---|
|
Attribute name |
educationLevelOfAdaptation |
|
Data type |
NormalizedString |
|
Value space |
See Table A1.1. |
|
Multiplicity |
[0..unbounded], unordered |
|
Linguistic Indicator |
Linguistic |
|
Description |
The level of education for which the described resource is intended. |
|
Notes |
The example of ‘educationalLevelOfAdaptation=Grade5’ expresses this statement: “This resource matches education level Grade 5” when used in conjunction with the ASN Educational Level Vocabulary. |
3.13 HasAdaptation Attribute Description
|
Descriptor |
Definition |
|---|---|
|
Attribute name |
hasAdaptation |
|
Data type |
URI |
|
Value space |
See Table A1.1. |
|
Multiplicity |
[0..unbounded], unordered |
|
Linguistic Indicator |
Linguistic |
|
Description |
Identifier of a resource that is an adaptation for this resource. |
|
Notes |
When this attribute is used, it is best practice that no further information about the adaptation is recorded in the metadata record of this resource; that information belongs in a metadata record for the adaptation itself. |
3.14 Hazard Attribute Description
|
Descriptor |
Definition |
|---|---|
|
Attribute name |
hazard |
|
Data type |
HazardValue (See sub-section 2.9 in AfA DES [AfADES, 12]). |
|
Value space |
Container |
|
Multiplicity |
[0..unbounded], unordered |
|
Linguistic Indicator |
Linguistic |
|
Description |
A characteristic of the described resource that must not be delivered to some users. |
|
Notes |
The example of ‘hazard= flashing’ expresses this statement: “This resource includes flashing visuals”. |
3.15 IsAdaptationOf Attribute Description
|
Descriptor |
Definition |
|---|---|
|
Attribute name |
isAdaptationOf |
|
Data type |
URI |
|
Value space |
See Table A1.1. |
|
Refines |
N/A |
|
Multiplicity |
[0..unbounded], unordered |
|
Linguistic Indicator |
Non-linguistic |
|
Description |
Identifier of a resource for which this is an adaptation. |
|
Notes |
This attribute does not specify whether the adaptation is a full or partial adaptation of the original resource. The implementing system must decide how to provide the adaptation, as a substitute for or a supplement to the original resource. Implementations that require greater specificity may wish to use the refinements "isFullAdaptationOf" and "isPartialAdaptationOf. " |
3.16 IsFullAdaptationOf Attribute Description
|
Descriptor |
Definition |
|---|---|
|
Attribute name |
isFullAdaptationOf |
|
Data type |
URI |
|
Value space |
See Table A1.1. |
|
Multiplicity |
[0..unbounded], unordered |
|
Linguistic Indicator |
Non-linguistic |
|
Description |
A resource for which the described resource provides a full adaptation. |
|
Notes |
N/A |
3.17 IsPartialAdaptationOf Attribute Description
|
Descriptor |
Definition |
|---|---|
|
Attribute name |
isPartialAdaptationOf |
|
Data type |
URI |
|
Value space |
See Table A1.1. |
|
Multiplicity |
[0..unbounded], unordered |
|
Linguistic Indicator |
Non-linguistic |
|
Description |
A resource for which the described resource provides a partial adaptation. |
|
Notes |
N/A |
3.18 LanguageOfAdaptation Attribute Description
|
Descriptor |
Definition |
|---|---|
|
Attribute name |
languageOfAdaptation |
|
Data type |
NormalizedString |
|
Value space |
See Table A1.1. |
|
Multiplicity |
[0..unbounded], unordered |
|
Linguistic Indicator |
Non-linguistic |
|
Description |
A language of the intellectual content of the resource [ISO 639-2:1998] and [RFC4646]. |
|
Notes |
The vocabulary for the range of this attribute is the ISO 639-2:1998 standard’s list of three-letter language codes. The example of ‘languageOfAdaptation= spa’ expresses this statement: “This resource is in Spanish”. |
3.19 Extension Attribute Description
|
Descriptor |
Definition |
|---|---|
|
Attribute name |
extension |
|
Data type |
Unspecified |
|
Value space |
Defined in terms of how the Information Model is realized by a binding. |
|
Multiplicity |
[0..unbounded], unordered |
|
Linguistic Indicator |
N/A |
|
Description |
This is a placeholder. It informs bindings of this Information Model as to the valid locations for the inclusion that extend the parent class. |
|
Notes |
The form of the extension is dependent on the type of binding. |
4 Extending the Specification
The specification may only be extended as permitted in the Information Model. The form of the extension is dependent on the binding being used (see the corresponding binding documentation and the AfA Best Practices document [AfA, 12b]).
The value space for each of the vocabularies is approved by 1EdTech. The value space for a vocabulary may be extended. Such extensions may be created and used only when no approved 1EdTech value satisfies the expressive need of an implementing community to define the shape of a collection.
5 Conformance
The requirements for conformance to the AfA DRD v3 specification are dependent on the function or role played by the conformant technology or application i.e.,
- Metadata records associated with resources are conformant when they include attributes in this part of the AfA specification (DRD), as specified;
- Standalone metadata authoring tools are conformant when they assist in authoring metadata that includes all the attributes in this part of the AfA specification, as specified.
- Metadata authoring tools that are integrated within a resource delivery system which does not support some of the capabilities described by the DRD specification are not required to include a user interface for elements or values they do not support, however they must preserve those elements when importing, editing, and exporting instances.
In general, conformance will be to a profile of the specification. The associated conformance requirements are described in the corresponding profile documentation.
Appendix A – The 1EdTech UML Profile Notation
The AfA DRD Information Models are expressed using the standard 1EdTech representation in the Unified Modeling Language (UML). Classes in this information model are classified into one of four stereotypes. These abstractions are bound to specific data structures for machine processing in the associated bindings. The class stereotypes are:
· Container: A container class may be an association parent of one or more association child classes. The ‘Unordered’ container does not require the order of the contained attributes to be maintained, the ‘Sequence’ container denotes information whose order must be maintained and the ‘Selection’ container denotes a selection of the contained attributes;
· Value: A value class shall only be a attribute of primitive type. That is, it shall not be a composite of container, value, or unspecified class types. A value class shall always be a child of a container class and shall have semantic value within the scope of its parent class’s semantic value;
· PrimitiveType: This is a class that is used to denote a basic data-type for the specification;
· Unspecified: An unspecified class may be an association parent. An unspecified class serves as an extension point for this Information Model.
Table A1.1 lists the class and attribute descriptors used to describe the abstract classes and definitions of the descriptors.
|
Descriptor |
Definition |
|---|---|
|
Class name |
The name given to the class being described. |
|
Class type |
The abstract class type of this class. |
|
Data type |
For value classes, the allowed structure for valid values for the class. Valid data types are: Boolean: The primitive, two-valued data type that uses the keywords “true” and “false” to indicate the logical state of an object. NormalizedString: A sequence of printable characters that does not contain carriage returns or tabs. There is no length constraint. URI : Any syntactically valid instance of a URI as defined in RFC3986. Note: Many of the foundational Specifications, Standards, and Recommendations referred to by this Information Model use RFC2396 and RFC2732 as the definitions of URI. These are made obsolete by RFC3986, but many of the foundational documents have not been updated to reference RFC3986. |
|
Value space |
The range of valid values for this class. If the value space is unspecified, it is not known or is not important. This value space must be defined in terms of the associated data-type. |
|
Multiplicity |
A property of a class indicating the number of times it may be used or appear in a given parent context. The values of this property are expressed as a range or shorthand for a range using this notation:
Multiplicities may also appear in short-hand notation in the UML models. The short-hand equivalents shall be (exclusive of bracketed comments):
Where multiplicity is greater than one, the importance of the ordering of siblings is also indicated by appending either “,”ordered or “,” unordered. ordered specifies a sequence of siblings as listed, unordered specifies a collection or bag of siblings for which the order is not important. |
|
Linguistic Indicator |
· Linguistic. · Non-linguistic. |
|
Scope |
The scope of the attribute is define as either: · ‘-‘ denotes local; · ‘+’ denotes global. The appropriate symbol precedes the name of the attribute. |
|
Source |
Lists classes that may be association parents of this class. |
|
Properties |
Lists the set of attributes and associations of this class in the form “[” child *“,” child “]”. One or more properties may be expressed within square brackets. Each child class shall be separated by a comma. Where more than one property is listed, the importance of the ordering of siblings is also indicated by appending either “,”ordered or “,” unordered. ordered specifies a sequence of siblings as listed. unordered specifies a collection or bag of sibling for which the order is not important. |
|
Description |
Contains descriptions relating to the class and its values space. |
|
Notes |
Supporting information. |
In general, this specification does not define the ways in which an end system must be realized. However, the required interoperability behavior requires that an end system have certain characteristics. The static properties of these characteristics are defined in this Section, including:
- When an attribute has a multiplicity of ‘1..1’, an end system must be capable of supporting one instance;
- When an attribute has a multiplicity of ‘1..*’, an end system must be capable of supporting at least one instance. The specification will also define the smallest permitted maximum number of instances that must also be supported by the end system;
- When an attribute has a multiplicity of ‘0..1’, an end system should support a single instance;
- When an attribute has a multiplicity of ‘0..*’, the specification will define the smallest permitted maximum number of instances that must also be supported by the end system.
About This Document
Title: 1EdTech Access For All Digital Resource Description (DRD) Specification Information Model
Editor: Colin Smythe (1EdTech)
Co-chairs: Madeleine Rothberg (WGBH) and Richard Schwerdtfeger (IBM)
Version: 3.0
Version Date: 13 September 2012
Release: 1.0
Status: Public Draft
Summary: This document contains the 1EdTech Access For All Digital Resource Description Specification Information Model v3.0. This part of the AfA specification provides a common language to describe digital learning resources to facilitate matching of those resources to learners’ accessibility needs and preferences.
Revision Information: This version supersedes the 1EdTech AfAv2.0 specification. This document contains the description of the information model for the AfA DRD.
Purpose: This document is made available for adoption by the public community at large.
Document Location: http://www.imsglobal.org/accessibility/
List of Contributors
The following individuals contributed to the development of this document:
Anastasia Cheetham OCAD University (Canada)
Andy Heath Axelrod Access For All (UK)
JoAnna Hunt Blackboard (USA)
Madeleine Rothberg WGBH (USA)
Richard Schwerdtfeger IBM (USA)
Colin Smythe 1EdTech (UK)
Revision History
|
Version No. |
Release Date |
Comments |
|---|---|---|
|
Public Draft v1.0 |
13 September 2012 |
The first formal release of the AfA DRD Public Draft. |
|
|
|
|
|
|
|
|
1EdTech Consortium, Inc. (“1EdTech”) is publishing the information contained in this document (“Specification”) for purposes of scientific, experimental, and scholarly collaboration only.
1EdTech makes no warranty or representation regarding the accuracy or completeness of the Specification. This material is provided on an “As Is” and “As Available” basis. The Specification is at all times subject to change and revision without notice. It is your sole responsibility to evaluate the usefulness, accuracy, and completeness of the Specification as it relates to you 1EdTech would appreciate receiving your comments and suggestions.
Please contact 1EdTech through our website at http://www.imsglobal.org .
Please refer to Document Name: 1EdTech Access For All
Digital Resource Description Information Model v3.0 Public Draft v1.0
Date: 13 September 2012
[1] The words attribute and property are used interchangeably in this specification.
[2] In this section the term “attribute” is a UML term. We are using this to refer to a property of a digital resource. A ‘Container’ is a stereotyped UML class used to denote a complex data structure.

