
1EdTech Question & Test Interoperability (QTI) XSD BindingVersion 2.1 Final |
Date Issued: 31 August 2012
Latest version: http://www.imsglobal.org/question/
IPR and Distribution Notices
Recipients of this document are requested to submit, with their comments, notification of any relevant patent claims or other intellectual property rights of which they may be aware that might be infringed by any implementation of the specification set forth in this document, and to provide supporting documentation.
1EdTech takes no position regarding the validity or scope of any intellectual property or other rights that might be claimed to pertain to the implementation or use of the technology described in this document or the extent to which any license under such rights might or might not be available; neither does it represent that it has made any effort to identify any such rights. Information on 1EdTech's procedures with respect to rights in 1EdTech specifications can be found at the 1EdTech Intellectual Property Rights web page: http://www.imsglobal.org/ipr/imsipr_policyFinal.pdf.
Copyright © 2005-2012 1EdTech Consortium. All Rights Reserved.
Use of this specification to develop products or services is governed by the license with 1EdTech found on the 1EdTech website: http://www.imsglobal.org/license.html.
Permission is granted to all parties to use excerpts from this document as needed in producing requests for proposals.
The limited permissions granted above are perpetual and will not be revoked by 1EdTech or its successors or assigns.
THIS SPECIFICATION IS BEING OFFERED WITHOUT ANY WARRANTY WHATSOEVER, AND IN PARTICULAR, ANY WARRANTY OF NONINFRINGEMENT IS EXPRESSLY DISCLAIMED. ANY USE OF THIS SPECIFICATION SHALL BE MADE ENTIRELY AT THE IMPLEMENTER'S OWN RISK, AND NEITHER THE CONSORTIUM, NOR ANY OF ITS MEMBERS OR SUBMITTERS, SHALL HAVE ANY LIABILITY WHATSOEVER TO ANY IMPLEMENTER OR THIRD PARTY FOR ANY DAMAGES OF ANY NATURE WHATSOEVER, DIRECTLY OR INDIRECTLY, ARISING FROM THE USE OF THIS SPECIFICATION.
Join the discussion and post comments on the QTI Public Forum: http://www.imsglobal.org/community/forum/categories.cfm?catid=52
The 1EdTech Logo is a trademark of the 1EdTech Consortium, Inc. in the United States and/or other countries.
Document Name: 1EdTech Question & Test Interoperability (QTI) XSD Binding Final v2.1 Revision: 31 August 2012
Table of Contents
- Introduction
- Platform Specific Model of the Binding
- Application of the Binding Guidelines
- XSD File Documentation
- Appendix A - Listing of the XSDs
- About This Document
- Revision History
1. Introduction
This document is a part of the 1EdTech Question and Test (QTI) v2.1 specification. The binding details how the QTI Information Model is realised as an XML instance file. The QTI binding is contained in a set of XML Scema Definition (XSD) files. The 1EdTech Question and Test (QTI) Best Practice and Implementation Guide [QTI, 12b] provides non-normative guidance on how to use the Binding and Information Model. For a conceptual overview of the QTI Specification, please see the information model [QTI, 12a].
1.1 Scope and Context
The 1EdTech XSD Binding v1.0 is used in conjunction with the following documents:
- 1EdTech Question and Test Interoperability Information Model v2.1 [QTI, 12a] – the data model definition of the Assessment, Section, Item, Metadata, Usage Data and Result Reporting;
- 1EdTech Queston and Test Interoperability v2.1 Best Practice and Implementation Guide v1.0 [QTI, 12b] – key information on how to adopt and implement the specification.
The Question and Test Interoperability v2.1 specification supersedes the QTI v1.* and v2.0 versions. This XSD binding takes the QTI Information Model and produces an encoding of that description as an XSD. This XSD binding is generated using the 1EdTech Binding Auto-generation Tool-kit (I-BAT) [I-BAT, 06].
1.2 Structure of this Document
The structure of this document is:
| 2. Platform Specific Model of the Binding | The description platform specific models in the form of the 1EdTech UML-Profile data models representation of the 1EdTech QTI specification information model. This representation is used by the 1EdTech I-BAT tool to auto-generate the corresponding XSDs; |
| 3. Application of the Binding Guidelines | Explanation of how the platform specific model is realised as the XSD bindings. This addresses how the information model is realised as XML instances; |
| 4. XSD File Documentation | The description of the elements used within the data model components of the binding. This part of the binding document was created using the schema documentation tool provided as part of the Oxygen 14.0 product; |
| Appendix A - Listing of the XSD Files | This is the full listing of the QTI XSD files; |
1.3 Nomenclature
| I-BAT | 1EdTech Binding Auto-generation Tool-kit |
| 1EdTech | 1EdTech Consortium |
| MDA | Model Driven Architecture |
| PIM | Protocol Independent Model |
| PSM | Platform Specific Model |
| QTI | Question & Test Interoperability |
| UML | Unified Modelling Language |
| W3C | World Wide Web Consortium |
| XMI | XML Meta-data Interchange |
| XML | Extensible Mark-up Language |
| XSD | XML Schema Definition |
| XSL | Extensible Stylesheet Language |
| XSLT | XSL Transformations |
1.4 References
| [I-BAT, 06] | 1EdTech Binding Auto-generation Toolkit Manual v1.0, C.Smythe, 1EdTech Consortium, July 2006. |
| [QTI, 12a] | 1EdTech Question and Test Interoperability (QTI) v2.1 Information Model Final Release v1.0, W.Kraan, J.Schwendel, Y.J.Kweon and M.McKell, 1EdTech Consortium, July 2012. |
| [QTI, 12b] | 1EdTech Question and Test Interoperability (QTI) v2.1 Best Practice and Implementation Guide Final Release v1.0, W.Kraan, J.Schwendel, Y.J.Kweon and M.McKell, 1EdTech Consortium, July 2012. |
2. Platform Specific Model of the Binding
2.1 Assessment, Section and Item Description
The data model for the QTI ASI is shown in Figures 2.1 to 2.35.

Figure 2.1 The PSM representation of the ASI root.

Figure 2.2 The PSM representation of the ASI test.

Figure 2.3 The PSM representation of the ASI section.

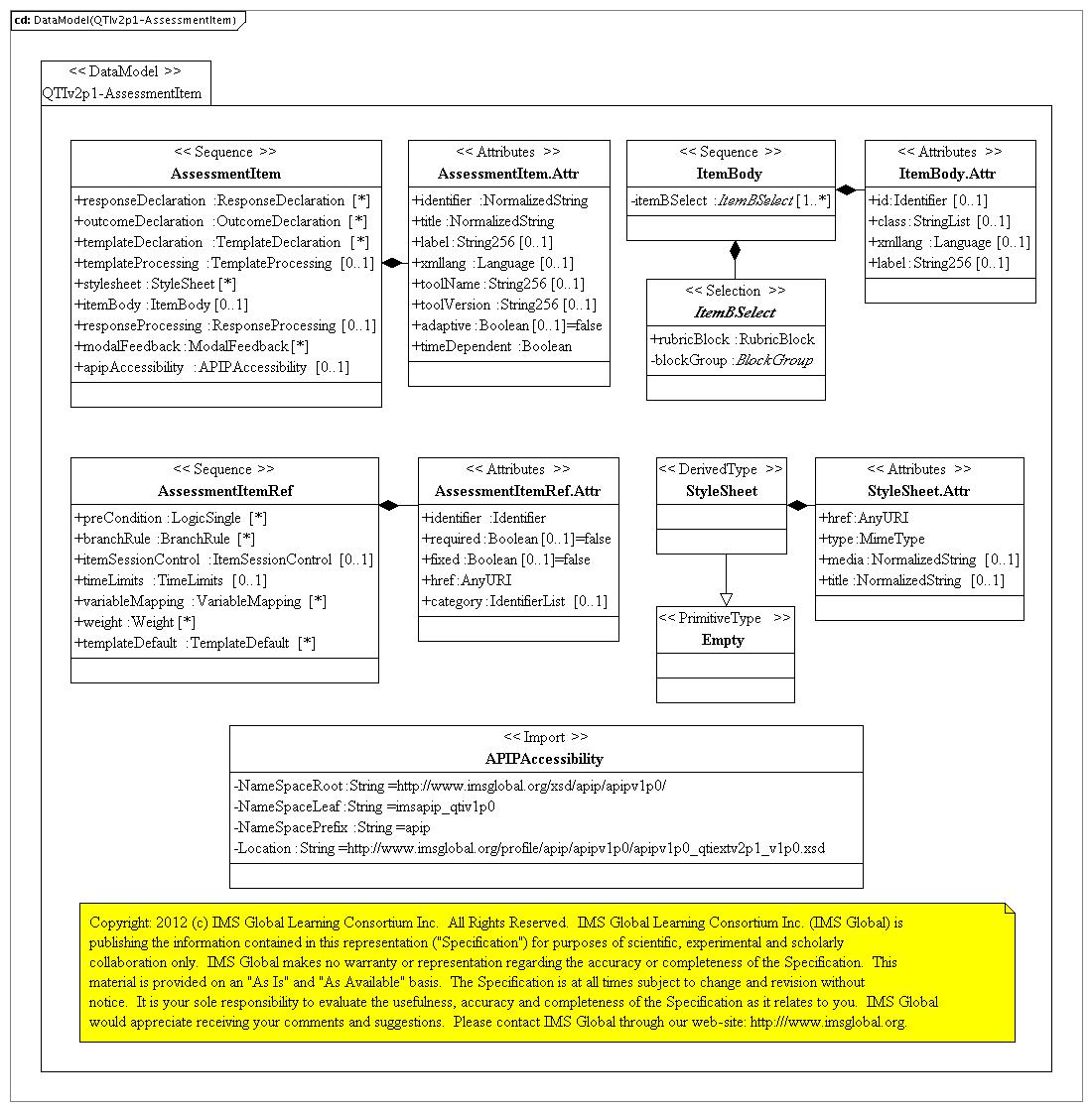
Figure 2.4 The PSM representation of the ASI item.

Figure 2.5 The PSM representation of the ASI choice interaction.

Figure 2.6 The PSM representation of the ASI custom interaction.

Figure 2.7 The PSM representation of the ASI gapmatch interaction.

Figure 2.8 The PSM representation of the ASI graphic interactions.

Figure 2.9 The PSM representation of the ASI hotspot interaction.

Figure 2.10 The PSM representation of the ASI match interaction.

Figure 2.11 The PSM representation of the ASI media interaction.

Figure 2.12 The PSM representation of the ASI position object interaction.

Figure 2.13 The PSM representation of the ASI slider and order interaction.

Figure 2.14 The PSM representation of the ASI text entry interaction.

Figure 2.15 The PSM representation of the ASI block group structures.

Figure 2.16 The PSM representation of the ASI content model structures.

Figure 2.17 The PSM representation of the ASI content model list structures.

Figure 2.18 The PSM representation of the ASI content model table structures.

Figure 2.19 The PSM representation of the ASI content model text structures.

Figure 2.20 The PSM representation of the ASI content model parts structures.

Figure 2.21 The PSM representation of the ASI expression group structures.

Figure 2.22 The PSM representation of the ASI expression group parts structures.

Figure 2.23 The PSM representation of the ASI feedback.

Figure 2.24 The PSM representation of the ASI flow structures.

Figure 2.25 The PSM representation of the ASI object structures.

Figure 2.26 The PSM representation of the ASI outcome declaration structures.

Figure 2.27 The PSM representation of the ASI outcome processing structures.

Figure 2.28 The PSM representation of the ASI response declaration structures.

Figure 2.29 The PSM representation of the ASI response processing structures.

Figure 2.30 The PSM representation of the ASI rubric block structures.

Figure 2.31 The PSM representation of the ASI template declaration structures.

Figure 2.32 The PSM representation of the ASI template processing structures.

Figure 2.33 The PSM representation of the ASI variable structures.

Figure 2.34 The PSM representation of the ASI common structures.

Figure 2.35 The PSM representation of the ASI data types.
2.2 Metadata Description
The data model for the QTI Metadata is shown in Figures 2.36 and 2.37

Figure 2.36 The PSM representation of the Metadata root.

Figure 2.37 The PSM representation of the Metadata.
2.3 Usage Data Description
The data model for the QTI Usage Data is shown in Figures 2.38 to 2.40

Figure 2.38 The PSM representation of the Usage Data root.

Figure 2.39 The PSM representation of the Usage Data.

Figure 2.40 The PSM representation of the Usage Data common structures.
2.4 Result Reporting Description
The data model for the QTI Result Reportng is shown in Figures 2.41 to 2.44

Figure 2.41 The PSM representation of the Result Report root.

Figure 2.42 The PSM representation of the Result Report root.

Figure 2.43 The PSM representation of the Result Report root.

Figure 2.44 The PSM representation of the Result Report common structure.
3. Application of the Binding Guidelines
The XSD bindings have been generated using the 1EdTech Model Driven Specification toolkit (I-BAT). The application of the binding guidelines for QTI are described in the following tables. The key for these tables is:
Key:
- The 'PSM Reference' field refers to information in the PSM description (Section 2 in this document). The sub-fields are:
- Name – the name of the data structure in the PSM and PIM
- UML Type – the type of UML construct i.e. either Class or Attribute
- Figure – the reference Figure number in this document;
- The 'PIM Reference' field refers to information in the QTI Information Model [QTI, 12a]. The sub-fields are:
- Type – the type of the data structure in the Information Model
- Table – the reference number of Tabular description in the corresponding Information Model document;
- The 'XSD Reference' field refers to information in the XSD descriptions (Section 4 in this document). The sub-fields are:
- Name – the name of the field in the XSD(s)
- Type – the type of XSD construct i.e. either a ComplexType or Element.
3.1 Assessment, Section and Item Guidelines
The mapping between the PIM and PSM descriptions for the QTI ASI is detailed in Tables 3.1, 3.2, 3.3, 3.4 and 3.5.
Table 3.1 Mapping between the PIM, PSM and XSD descriptions for the AssessmentTestI data models.
| PSM Reference | PIM Reference | XSD Reference | ||||
|---|---|---|---|---|---|---|
| Name | UML Type | Figure | Type | Table | Name | Type |
| AssessmentTest | Class | 2.2 | AssessmentTest | – | AssessmentTest.Type | ComplexType |
|
Attribute | 2.2 | NormalizedString | – | identifier | Attribute |
|
Attribute | 2.2 | NormalizedString | – | title | Attribute |
|
Attribute | 2.2 | String256 | – | toolName | Attribute |
|
Attribute | 2.2 | String256 | – | toolVersion | Attribute |
|
Attribute | 2.2 | OutcomeDeclaration | – | outcomeDeclaration | Element |
|
Attribute | 2.2 | StyleSheet | – | stylesheet | Element |
|
Attribute | 2.2 | TestPart | – | testPart | Element |
|
Attribute | 2.2 | OutcomeProcessing | – | outcomeProcessing | Element |
|
Attribute | 2.2 | TestFeedback | – | testFeedback | Element |
| TestPart | Class | 2.2 | TestPart | – | TestPart.Type | ComplexType |
|
Attribute | 2.2 | NCName | – | identifier | Attribute |
|
Attribute | 2.2 | Enumeration | – | navigationMode | Attribute |
|
Attribute | 2.2 | Enumeration | – | submissionMode | Attribute |
|
Attribute | 2.2 | LogicSingle | – | preCondition | Element |
|
Attribute | 2.2 | BranchRule | – | branchRule | Element |
|
Attribute | 2.2 | ItemSessionControl | – | itemSessionControl | Element |
|
Attribute | 2.2 | TimeLimits | – | timeLimits | Element |
|
Attribute | 2.2 | AssessmentSection | – | assessmentSection | Element |
|
Attribute | 2.2 | AssessmentSectionRef | – | assessmentSectionRef | Element |
|
Attribute | 2.2 | TestFeedback | – | testFeedback | Element |
| OutcomeDeclaration | Class | 2.26 | OutcomeDeclaration | – | OutcomeDeclaration.Type | ComplexType |
|
Attribute | 2.26 | NCName | – | identifier | Attribute |
|
Attribute | 2.26 | Enumeration | – | cardinality | Attribute |
|
Attribute | 2.26 | Enumeration | – | baseType | Attribute |
|
Attribute | 2.26 | Enumeration | – | view | Attribute |
|
Attribute | 2.26 | String | – | interpretation | Attribute |
|
Attribute | 2.26 | AnyURI | – | longInterpretation | Attribute |
|
Attribute | 2.26 | Double | – | normalMinimum | Attribute |
|
Attribute | 2.26 | Double | – | normalMaximum | Attribute |
|
Attribute | 2.26 | Double | – | masteryValue | Attribute |
|
Attribute | 2.26 | DefaultValue | – | defaultValue | Element |
|
Attribute | 2.26 | MatchTable | – | matchTable | Element |
|
Attribute | 2.26 | InterpolationTable | – | interpolationTable | Element |
| OutcomeProcessing | Class | 2.27 | OutcomeProcessing | – | OutcomeProcessing.Type | ComplexType |
|
Attribute | 2.27 | LookupOutcomeValue | – | lookupOutcomeValue | Element |
|
Attribute | 2.27 | OutcomeProcessingFragment | – | outcomeProcessingFragment | Element |
|
Attribute | 2.27 | SetValue | – | setOutcomeValue | Element |
|
Attribute | 2.27 | XInclude | – | include | Element |
|
Attribute | 2.27 | Empty | – | exitTest | Element |
|
Attribute | 2.27 | OutcomeCondition | – | outcomeCondition | Element |
| OutcomeProcessingFragment | Class | 2.27 | OutcomeProcessingFragment | – | OutcomeProcessingFragment.Type | ComplexType |
|
Attribute | 2.27 | LookupOutcomeValue | – | lookupOutcomeValue | Element |
|
Attribute | 2.27 | OutcomeProcessingFragment | – | outcomeProcessingFragment | Element |
|
Attribute | 2.27 | SetValue | – | setOutcomeValue | Element |
|
Attribute | 2.27 | XInclude | – | XInclude | Element |
|
Attribute | 2.27 | Empty | – | exitTest | Element |
|
Attribute | 2.27 | OutcomeCondition | – | outcomeCondition | Element |
| OutcomeCondition | Class | 2.27 | OutcomeCondition | – | OutcomeCondition.Type | ComplexType |
|
Attribute | 2.27 | OutcomeIf | – | outcomeIf | Element |
|
Attribute | 2.27 | OutcomeIf | – | outcomeElseIf | Element |
|
Attribute | 2.27 | OutcomeElse | – | outcomeElse | Element |
| OutcomeIf | Class | 2.27 | OutcomeIf | – | OutcomeIf.Type | ComplexType |
|
Abstract Class | 2.27 | ExpressionGroup | – |
N/A
|
Abstract Type |
|
Attribute | 2.27 | LookupOutcomeValue | – | lookupOutcomeValue | Element |
|
Attribute | 2.27 | OutcomeProcessingFragment | – | outcomeProcessingFragment | Element |
|
Attribute | 2.27 | SetOutcomeValue | – | setOutcomeValue | Element |
|
Attribute | 2.27 | XInclude | – | XInclude | Element |
|
Attribute | 2.27 | Empty | – | exitTest | Element |
|
Attribute | 2.27 | OutcomeCondition | – | outcomeCondition | Element |
| OutcomeElse | Class | 2.27 | OutcomeElse | – | OutcomeElse.Type | ComplexType |
|
Attribute | 2.27 | LookupOutcomeValue | – | lookupOutcomeValue | Element |
|
Attribute | 2.27 | OutcomeProcessingFragment | – | outcomeProcessingFragment | Element |
|
Attribute | 2.27 | SetOutcomeValue | – | setOutcomeValue | Element |
|
Attribute | 2.27 | XInclude | – | XInclude | Element |
|
Attribute | 2.27 | Empty | – | exitTest | Element |
|
Attribute | 2.27 | OutcomeCondition | – | outcomeCondition | Element |
| TestFeedback | Class | 2.23 | TestFeedback | – | TestFeedback.Type | ComplexType |
|
Attribute | 2.23 | Enumeration | – | accessTestFeedbackAccess | Attribute |
|
Attribute | 2.23 | NCName | – | outcomeIdentifier | Attribute |
|
Attribute | 2.23 | Enumeration | – | showHide | Attribute |
|
Attribute | 2.23 | NCName | – | identifier | Attribute |
|
Attribute | 2.23 | NormalizedString | – | title | Attribute |
|
Attribute | 2.23 | PrintedVariable | – | printedVariable | Element |
|
Attribute | 2.23 | HotText | – | hottext | Element |
|
Attribute | 2.23 | TemplateInline | – | templateInline | Element |
|
Attribute | 2.23 | TemplateBlock | – | templateBlock | Element |
|
Attribute | 2.23 | MathML | – | mathML | Element |
|
Attribute | 2.23 | XInclude | – | XInclude | Element |
|
Abstract Class | 2.23 | Flow-ContentModel | – |
N/A
|
Abstract Type |
|
Attribute | 2.23 | StyleSheet | – | stylesheet | Element |
|
Attribute | 2.23 | APIPAccessibility | See [APIP, 12] | apipAccessibility | Element |
Table 3.2 Mapping between the PIM, PSM and XSD descriptions for the AssessmentSection data models.
| PSM Reference | PIM Reference | XSD Reference | ||||
|---|---|---|---|---|---|---|
| Name | UML Type | Figure | Type | Table | Name | Type |
| AssessmentSection | Class | 2.3 | AssessmentSection | – | AssessmentSection.Type | ComplexType |
|
Attribute | 2.3 | NormalizedString | – | identifier | Attribute |
|
Attribute | 2.3 | Boolean | – | required | Attribute |
|
Attribute | 2.3 | Boolean | – | fixed | Attribute |
|
Attribute | 2.2 | NormalizedString | – | title | Attribute |
|
Attribute | 2.3 | Boolean | – | visible | Attribute |
|
Attribute | 2.3 | Boolean | – | keepTogether | Attribute |
|
Attribute | 2.3 | LogicSingle | – | preCondition | Element |
|
Attribute | 2.3 | BranchRule | – | branchRule | Element |
|
Attribute | 2.3 | ItemSessionControl | – | itemSessionControl | Element |
|
Attribute | 2.3 | TimeLimits | – | timeLimits | Element |
|
Attribute | 2.3 | Selection | – | selection | Element |
|
Attribute | 2.3 | Ordering | – | ordering | Element |
|
Attribute | 2.3 | RubricBlock | – | rubricBlock | Element |
|
Attribute | 2.3 | XInclude | – | XInclude | Element |
|
Attribute | 2.3 | AssessmentSection | – | assessmentSection | Element |
|
Attribute | 2.3 | AssessmentSectionRef | – | assessmentSectionRef | Element |
|
Attribute | 2.3 | AssessmentItemRef | – | assessmentItemRef | Element |
| Selection | Class | 2.3 | Selection | – | Selection.Type | ComplexType |
|
Attribute | 2.3 | Int | – | select | Attribute |
|
Attribute | 2.3 | Boolean | – | withReplacement | Attribute |
|
Attribute | 2.3 | Namespace Extension | – |
N/A
|
Attribute |
|
Attribute | 2.3 | Namespace Extension | – |
N/A
|
Element |
| Ordering | Class | 2.3 | Ordering | – | Ordering.Type | ComplexType |
|
Attribute | 2.3 | Boolean | – | shuffle | Attribute |
|
Attribute | 2.3 | Namespace Extension | – |
N/A
|
Attribute |
|
Attribute | 2.3 | Namespace Extension | – |
N/A
|
Element |
| AssessmentSectionRef | Class | 2.3 | AssessmentSectionRef | – | AssessmentSectionRef.Type | ComplexType |
|
Attribute | 2.3 | NCName | – | identifier | Attribute |
|
Attribute | 2.3 | AnyURI | – | href | Attribute |
Table 3.3 Mapping between the PIM, PSM and XSD descriptions for the AssessmentItem data models.
| PSM Reference | PIM Reference | XSD Reference | ||||
|---|---|---|---|---|---|---|
| Name | UML Type | Figure | Type | Table | Name | Type |
| AssessmentItem | Class | 2.4 | AssessmentItem | – | AssessmentItem.Type | ComplexType |
|
Attribute | 2.4 | NormalizedString | – | identifier | Attribute |
|
Attribute | 2.4 | NormalizedString | – | title | Attribute |
|
Attribute | 2.4 | String256 | – | label | Attribute |
|
Attribute | 2.4 | Language | – | xml:lang | Attribute |
|
Attribute | 2.4 | String256 | – | toolName | Attribute |
|
Attribute | 2.4 | String256 | – | toolVersion | Attribute |
|
Attribute | 2.4 | Boolean | – | adaptive | Attribute |
|
Attribute | 2.4 | Boolean | – | timeDependent | Attribute |
|
Attribute | 2.4 | ResponseDeclaration | – | responseDeclaration | Element |
|
Attribute | 2.4 | OutcomeDeclaration | – | outcomeDeclaration | Element |
|
Attribute | 2.4 | TemplateDeclaration | – | templateDeclaration | Element |
|
Attribute | 2.4 | TemplateProcessing | – | templateProcessing | Element |
|
Attribute | 2.4 | StyleSheet | – | stylesheet | Element |
|
Attribute | 2.4 | ItemBody | – | itemBody | Element |
|
Attribute | 2.4 | ResponseProcessing | – | responseProcessing | Element |
|
Attribute | 2.4 | ModalFeedback | – | modalFeedback | Element |
|
Attribute | 2.4 | APIPAccessibility | See [APIP, 12] | apipAccessibility | Element |
| AssessmentItemRef | Class | 2.4 | AssessmentItemRef | – | AssessmentItemRef.Type | ComplexType |
|
Attribute | 2.4 | NormalizedString | – | identifier | Attribute |
|
Attribute | 2.4 | Boolean | – | required | Attribute |
|
Attribute | 2.4 | Boolean | – | fixed | Attribute |
|
Attribute | 2.4 | AnyURI | – | href | Attribute |
|
Attribute | 2.4 | List of NCName | – | category | Attribute |
|
Attribute | 2.4 | LogicSingle | – | preCondition | Element |
|
Attribute | 2.4 | BranchRule | – | branchRule | Element |
|
Attribute | 2.4 | ItemSessionControl | – | itemSessionControl | Element |
|
Attribute | 2.4 | TimeLimits | – | timeLimits | Element |
|
Attribute | 2.4 | Weight | – | weight | Element |
|
Attribute | 2.4 | TemplateDefault | – | templateDefault | Element |
| ResponseDeclaration | Class | 2.28 | ResponseDeclaration | – | ResponseDeclaration.Type | ComplexType |
|
Attribute | 2.28 | NCName | – | identifier | Attribute |
|
Attribute | 2.28 | Enumeration | – | cardinality | Attribute |
|
Attribute | 2.28 | Enumeration | – | baseType | Attribute |
|
Attribute | 2.28 | DefaultValue | – | defaultValue | Element |
|
Attribute | 2.28 | CorrectResponse | – | correctResponse | Element |
|
Attribute | 2.28 | Mapping | – | mapping | Element |
|
Attribute | 2.28 | AreaMapping | – | areaMapping | Element |
| CorrectResponse | Class | 2.28 | CorrectResponse | – | CorrectResponse.Type | ComplexType |
|
Attribute | 2.28 | String | – | interpretation | Attribute |
|
Attribute | 2.28 | Value | – | Value | Element |
| AreaMapping | Class | 2.28 | AreaMapping | – | AreaMapping.Type | ComplexType |
|
Attribute | 2.28 | Double | – | lowerBound | Attribute |
|
Attribute | 2.28 | Double | – | upperBound | Attribute |
|
Attribute | 2.28 | Double | – | defaultValue | Attribute |
|
Attribute | 2.28 | AreaMapEntry | – | areaMapEntry | Element |
| AreaMapEntry | Class | 2.28 | AreaMapEntry | – | AreaMapEntry.Type | ComplexType |
|
Attribute | 2.28 | Enumeration | – | shape | Attribute |
|
Attribute | 2.28 | NormalizedString | – | coords | Attribute |
|
Attribute | 2.28 | Double | – | mappedValue | Attribute |
| OutcomeDeclaration | Class | 2.26 | OutcomeDeclaration | – | OutcomeDeclaration.Type | ComplexType |
|
Attribute | 2.26 | NCName | – | identifier | Attribute |
|
Attribute | 2.26 | Enumeration | – | cardinality | Attribute |
|
Attribute | 2.26 | Enumeration | – | baseType | Attribute |
|
Attribute | 2.26 | Enumeration | – | view | Attribute |
|
Attribute | 2.26 | String | – | interpretation | Attribute |
|
Attribute | 2.26 | AnyURI | – | longInterpretation | Attribute |
|
Attribute | 2.26 | Double | – | normalMinimum | Attribute |
|
Attribute | 2.26 | Double | – | normalMaximum | Attribute |
|
Attribute | 2.26 | Double | – | masteryValue | Attribute |
|
Attribute | 2.26 | DefaultValue | – | defaultValue | Element |
|
Attribute | 2.26 | MatchTable | – | matchTable | Element |
|
Attribute | 2.26 | InterpolationTable | – | interpolationTable | Element |
| TemplateDeclaration | Class | 2.31 | TemplateDeclaration | – | TemplateDeclaration.Type | ComplexType |
|
Attribute | 2.31 | NCName | – | identifier | Attribute |
|
Attribute | 2.31 | Enumeration | – | cardinality | Attribute |
|
Attribute | 2.31 | Enumeration | – | baseType | Attribute |
|
Attribute | 2.31 | Boolean | – | paramVariable | Attribute |
|
Attribute | 2.31 | Boolean | – | mathVariable | Attribute |
|
Attribute | 2.31 | DefaultValue | – | defaultValue | Element |
| TemplateProcessing | Class | 2.32 | TemplateProcessing | – | TemplateProcessing.Type | ComplexType |
|
Attribute | 2.32 | SetValue | – | setTemplateValue | Element |
|
Attribute | 2.32 | Empty | – | exitTemplate | Element |
|
Attribute | 2.32 | TemplateCondition | – | templateCondition | Element |
|
Attribute | 2.32 | SetValue | – | setDefaultValue | Element |
|
Attribute | 2.32 | SetValue | – | setCorrectResponse | Element |
|
Attribute | 2.32 | TemplateConstraint | – | templateConstraint | Element |
| TemplateConstraint | Class | 2.32 | TemplateConstraint | – | TemplateConstraint.Type | ComplexType |
|
Abstract Class | 2.32 | ExpressionGroup | – |
N/A
|
Abstract Type |
| TemplateCondition | Class | 2.32 | TemplateCondition | – | TemplateCondition.Type | ComplexType |
|
Attribute | 2.32 | TemplateIf | – | templateeIf | Element |
|
Attribute | 2.32 | TemplateIf | – | templateElseIf | Element |
|
Attribute | 2.32 | TemplateElse | – | templateElse | Element |
| TemplateIf | Class | 2.32 | TemplateIf | – | TemplateIf.Type | ComplexType |
|
Abstract Class | 2.32 | ExpressionGroup | – |
N/A
|
Abstract Type |
|
Attribute | 2.32 | SetValue | – | setTemplateValue | Element |
|
Attribute | 2.32 | Empty | – | exitTemplate | Element |
|
Attribute | 2.32 | TemplateCondition | – | templateCondition | Element |
|
Attribute | 2.32 | SetValue | – | setDefaultValue | Element |
|
Attribute | 2.32 | SetValue | – | setCorrectResponse | Element |
|
Attribute | 2.32 | TemplateConstraint | – | templateConstraint | Element |
| TemplateElse | Class | 2.32 | TemplateElse | – | TemplateElse.Type | ComplexType |
|
Abstract Class | 2.32 | ExpressionGroup | – |
N/A
|
Abstract Type |
| ItemBody | Class | 2.4 | ItemBody | – | ItemBody.Type | ComplexType |
|
Attribute | 2.4 | RubricBlock | – | rubricBlock | Element |
|
Abstract Class | 2.4 | BlockGroup | – |
N/A
|
Abstract Type |
| ResponseProcessing | Class | 2.29 | ResponseProcessing | – | ResponseProcessing.Type | ComplexType |
|
Attribute | 2.29 | AnyURI | – | template | Attribute |
|
Attribute | 2.29 | AnyURI | – | templateLocation | Attribute |
|
Attribute | 2.29 | XInclude | – | XInclude | Element |
|
Attribute | 2.29 | ResponseCondition | – | responseCondition | Element |
|
Attribute | 2.29 | ResponseProcessingFragment | – | responseProcessingFragment | Element |
|
Attribute | 2.29 | SetValue | – | setOutcomeValue | Element |
|
Attribute | 2.29 | Empty | – | exitResponse | Element |
|
Attribute | 2.29 | LookupOutcomeValue | – | lookupOutcomeValue | Element |
| ResponseCondition | Class | 2.29 | ResponseCondition | – | ResponseCondition.Type | ComplexType |
|
Attribute | 2.29 | ResponseIf | – | responseIf | Element |
|
Attribute | 2.29 | ResponseIf | – | responseElseIf | Element |
|
Attribute | 2.29 | ResponseElse | – | responseElse | Element |
| ResponseIf | Class | 2.29 | ResponseIf | – | ResponseIf.Type | ComplexType |
|
Abstract Class | 2.29 | ExpressionGroup | – |
N/A
|
Abstract Type |
|
Attribute | 2.29 | XInclude | – | XInclude | Element |
|
Attribute | 2.29 | ResponseCondition | – | responseCondition | Element |
|
Attribute | 2.29 | ResponseProcessingFragment | – | responseProcessingFragment | Element |
|
Attribute | 2.29 | SetValue | – | setOutcomeValue | Element |
|
Attribute | 2.29 | Empty | – | exitResponse | Element |
|
Attribute | 2.29 | LookupOutcomeValue | – | lookupOutcomeValue | Element |
| ResponseElse | Class | 2.29 | ResponseElse | – | ResponseElse.Type | ComplexType |
|
Abstract Class | 2.29 | ExpressionGroup | – |
N/A
|
Abstract Type |
| ResponseProcessingFragment | Class | 2.29 | ResponseProcessingFragment | – | ResponseProcessingFragment.Type | ComplexType |
|
Attribute | 2.29 | XInclude | – | XInclude | Element |
|
Attribute | 2.29 | ResponseCondition | – | responseCondition | Element |
|
Attribute | 2.29 | ResponseProcessingFragment | – | responseProcessingFragment | Element |
|
Attribute | 2.29 | SetValue | – | setOutcomeValue | Element |
|
Attribute | 2.29 | Empty | – | exitResponse | Element |
|
Attribute | 2.29 | LookupOutcomeValue | – | lookupOutcomeValue | Element |
| ModalFeedback | Class | 2.23 | ModalFeedback | – | ModalFeedback.Type | ComplexType |
|
Attribute | 2.23 | NCName | – | outcomeIdentifier | Attribute |
|
Attribute | 2.23 | Enumeration | – | showHide | Attribute |
|
Attribute | 2.23 | NCName | – | identifier | Attribute |
|
Attribute | 2.23 | NormalizedString | – | title | Attribute |
|
Attribute | 2.23 | PrintedVariable | – | printedVariable | Element |
|
Attribute | 2.23 | HotText | – | hottext | Element |
|
Attribute | 2.23 | TemplateInline | – | templateInline | Element |
|
Attribute | 2.23 | TemplateBlock | – | templateBlock | Element |
|
Attribute | 2.23 | MathML | – | mathML | Element |
|
Attribute | 2.23 | XInclude | – | XInclude | Element |
|
Abstract Class | 2.23 | Flow-ContentModel | – |
N/A
|
Abstract Type |
|
Attribute | 2.23 | StyleSheet | – | stylesheet | Element |
|
Attribute | 2.23 | APIPAccessibility | See [APIP, 12] | apipAccessibility | Element |
| TemplateDefault | Class | 2.31 | TemplateDefault | – | TemplateDefault.Type | ComplexType |
|
Attribute | 2.31 | NCName | – | templateIdentifier | Attribute |
|
Abstract Class | 2.31 | ExpressionGroup | – |
N/A
|
Abstract Type |
Table 3.4 Mapping between the PIM, PSM and XSD descriptions for the ASI interaction data models.
tr height="20">
| PSM Reference | PIM Reference | XSD Reference | ||||
|---|---|---|---|---|---|---|
| Name | UML Type | Figure | Type | Table | Name | Type |
| AssociateInteraction | Class | 2.10 | AssociateInteraction | – | AssociateInteraction.Type | ComplexType |
|
Attribute | 2.10 | XML Base | – | xml:base | Attribute |
|
Attribute | 2.10 | NCName | – | id | Attribute |
|
Attribute | 2.10 | List of Strings | – | class | Attribute |
|
Attribute | 2.10 | XML Language | – | xml:lang | Attribute |
|
Attribute | 2.10 | String256 | – | label | Attribute |
|
Attribute | 2.10 | NCName | – | responseIdentifier | Attribute |
|
Attribute | 2.10 | Boolean | – | shuffle | Attribute |
|
Attribute | 2.10 | Int | – | minAssociations | Attribute |
|
Attribute | 2.10 | Int | – | maxAssociations | Attribute |
|
Attribute | 2.10 | Prompt | – | prompt | Element |
|
Attribute | 2.10 | SimpleAssociableChoice | – | simpleAssociableChoice | Element |
| ChoiceInteraction | Class | 2.5 | ChoiceInteraction | – | ChoiceInteraction.Type | ComplexType |
|
Attribute | 2.5 | XML Base | – | xml:base | Attribute |
|
Attribute | 2.5 | NCName | – | id | Attribute |
|
Attribute | 2.5 | List of Strings | – | class | Attribute |
|
Attribute | 2.5 | XML Language | – | xml:lang | Attribute |
|
Attribute | 2.5 | String256 | – | label | Attribute |
|
Attribute | 2.5 | NCName | – | responseIdentifier | Attribute |
|
Attribute | 2.5 | Boolean | – | shuffle | Attribute |
|
Attribute | 2.5 | Int | – | minChoices | Attribute |
|
Attribute | 2.5 | Int | – | maxChoices | Attribute |
|
Attribute | 2.5 | Enumeration | – | orientation | Attribute |
|
Attribute | 2.5 | Prompt | – | prompt | Element |
|
Attribute | 2.5 | SimpleChoice | – | simpleChoice | Element |
| CustomInteraction | Class | 2.6 | CustomInteraction | – | CustomInteraction.Type | ComplexType |
|
Attribute | 2.6 | XML Base | – | xml:base | Attribute |
|
Attribute | 2.6 | NCName | – | id | Attribute |
|
Attribute | 2.6 | List of Strings | – | class | Attribute |
|
Attribute | 2.6 | XML Language | – | xml:lang | Attribute |
|
Attribute | 2.6 | String256 | – | label | Attribute |
|
Attribute | 2.6 | NCName | – | responseIdentifier | Attribute |
|
Attribute | 2.6 | Namespace (Lax) Extension | – |
N/A
|
Attribute |
|
Attribute | 2.6 | Namespace (Lax) Extension | – |
N/A
|
Element |
| DrawingInteraction | Class | 2.8 | DrawingMatchInteraction | – | DrawingInteraction.Type | ComplexType |
|
Attribute | 2.8 | XML Base | – | xml:base | Attribute |
|
Attribute | 2.8 | NCName | – | id | Attribute |
|
Attribute | 2.8 | List of Strings | – | class | Attribute |
|
Attribute | 2.8 | XML Language | – | xml:lang | Attribute |
|
Attribute | 2.8 | String256 | – | label | Attribute |
|
Attribute | 2.8 | NCName | – | responseIdentifier | Attribute |
|
Attribute | 2.8 | Prompt | – | prompt | Element |
|
Attribute | 2.8 | Object | – | object | Element |
| EndAttemptInteraction | Class | 2.5 | EndAttemptInteraction | – | EndAttemptInteraction.Type | ComplexType |
|
Attribute | 2.5 | XML Base | – | xml:base | Attribute |
|
Attribute | 2.5 | NCName | – | id | Attribute |
|
Attribute | 2.5 | List of Strings | – | class | Attribute |
|
Attribute | 2.5 | XML Language | – | xml:lang | Attribute |
|
Attribute | 2.5 | String256 | – | label | Attribute |
|
Attribute | 2.5 | NCName | – | responseIdentifier | Attribute |
|
Attribute | 2.5 | String | – | title | Attribute |
|
Attribute | 2.5 | Boolean | – | countAttempt | Attribute |
| ExtendedTextInteraction | Class | 2.14 | ExtendedTextInteraction | – | ExtendedTextInteraction.Type | ComplexType |
|
Attribute | 2.14 | XML Base | – | xml:base | Attribute |
|
Attribute | 2.14 | NCName | – | id | Attribute |
|
Attribute | 2.14 | List of Strings | – | class | Attribute |
|
Attribute | 2.14 | XML Language | – | xml:lang | Attribute |
|
Attribute | 2.14 | String256 | – | label | Attribute |
|
Attribute | 2.14 | NCName | – | responseIdentifier | Attribute |
|
Attribute | 2.14 | Int | – | base | Attribute |
|
Attribute | 2.14 | NCName | – | stringIdentifier | Attribute |
|
Attribute | 2.14 | Int | – | expectedLength | Attribute |
|
Attribute | 2.14 | String | – | patternMask | Attribute |
|
Attribute | 2.14 | String | – | placeHolderText | Attribute |
|
Attribute | 2.14 | Int | – | minStrings | Attribute |
|
Attribute | 2.14 | Int | – | maxStrings | Attribute |
|
Attribute | 2.14 | Int | – | expectedLines | Attribute |
|
Attribute | 2.14 | Enumeration | – | format | Attribute |
|
Attribute | 2.14 | Prompt | – | prompt | Element |
| GapMatchInteraction | Class | 2.7 | GapMatchInteraction | – | GapMatchInteraction.Type | ComplexType |
|
Attribute | 2.7 | XML Base | – | xml:base | Attribute |
|
Attribute | 2.7 | NCName | – | id | Attribute |
|
Attribute | 2.7 | List of Strings | – | class | Attribute |
|
Attribute | 2.7 | XML Language | – | xml:lang | Attribute |
|
Attribute | 2.7 | String256 | – | label | Attribute |
|
Attribute | 2.7 | NCName | – | responseIdentifier | Attribute |
|
Attribute | 2.7 | Boolean | – | shuffle | Attribute |
|
Attribute | 2.7 | Prompt | – | prompt | Element |
|
Attribute | 2.7 | GapText | – | gapText | Element |
|
Attribute | 2.7 | GapImg | – | gapImg | Element |
|
Abstract Class | 2.7 | BlockStaticGroup | – |
N/A
|
Abstract Type |
| GraphicAssociateInteraction | Class | 2.8 | GraphicAssociateInteraction | – | GraphicAssociateInteraction.Type | ComplexType |
|
Attribute | 2.8 | XML Base | – | xml:base | Attribute |
|
Attribute | 2.8 | NCName | – | id | Attribute |
|
Attribute | 2.8 | List of Strings | – | class | Attribute |
|
Attribute | 2.8 | XML Language | – | xml:lang | Attribute |
|
Attribute | 2.8 | String256 | – | label | Attribute |
|
Attribute | 2.8 | NCName | – | responseIdentifier | Attribute |
|
Attribute | 2.8 | Int | – | minAssociations | Attribute |
|
Attribute | 2.8 | Int | – | maxAssociations | Attribute |
|
Attribute | 2.8 | Prompt | – | prompt | Element |
|
Attribute | 2.8 | Object | – | object | Element |
|
Attribute | 2.8 | AssociableHotspot | – | associableHotspot | Element |
| GraphicGapMatchInteraction | Class | 2.8 | GraphicGapMatchInteraction | – | GraphicGapMatchInteraction.Type | ComplexType |
|
Attribute | 2.8 | XML Base | – | xml:base | Attribute |
|
Attribute | 2.8 | NCName | – | id | Attribute |
|
Attribute | 2.8 | List of Strings | – | class | Attribute |
|
Attribute | 2.8 | XML Language | – | xml:lang | Attribute |
|
Attribute | 2.8 | String256 | – | label | Attribute |
|
Attribute | 2.8 | NCName | – | responseIdentifier | Attribute |
|
Attribute | 2.8 | Prompt | – | prompt | Element |
|
Attribute | 2.8 | GapImg | – | gapImg | Element |
|
Attribute | 2.8 | Object | – | object | Element |
|
Attribute | 2.8 | AssociableHotspot | – | associableHotspot | Element |
| GraphicOrderInteraction | Class | 2.8 | GraphicOrderInteraction | – | GraphicOrderInteraction.Type | ComplexType |
|
Attribute | 2.8 | XML Base | – | xml:base | Attribute |
|
Attribute | 2.8 | NCName | – | id | Attribute |
|
Attribute | 2.8 | List of Strings | – | class | Attribute |
|
Attribute | 2.8 | XML Language | – | xml:lang | Attribute |
|
Attribute | 2.8 | String256 | – | label | Attribute |
|
Attribute | 2.8 | NCName | – | responseIdentifier | Attribute |
|
Attribute | 2.8 | Int | – | minChoices | Attribute |
|
Attribute | 2.8 | Int | – | maxChoices | Attribute |
|
Attribute | 2.8 | Prompt | – | prompt | Element |
|
Attribute | 2.8 | Object | – | object | Element |
|
Attribute | 2.8 | hotspotChoice | – | hotspotChoice | Element |
| HotspotInteraction | Class | 2.9 | HotspotInteraction | – | HotspotInteraction.Type | ComplexType |
|
Attribute | 2.9 | XML Base | – | xml:base | Attribute |
|
Attribute | 2.9 | NCName | – | id | Attribute |
|
Attribute | 2.9 | List of Strings | – | class | Attribute |
|
Attribute | 2.9 | XML Language | – | xml:lang | Attribute |
|
Attribute | 2.9 | String256 | – | label | Attribute |
|
Attribute | 2.9 | NCName | – | responseIdentifier | Attribute |
|
Attribute | 2.9 | Int | – | minChoices | Attribute |
|
Attribute | 2.9 | Int | – | maxChoices | Attribute |
|
Attribute | 2.9 | Prompt | – | prompt | Element |
|
Attribute | 2.9 | Object | – | object | Element |
|
Attribute | 2.9 | hotspotChoice | – | hotspotChoice | Element |
| HotTextInteraction | Class | 2.14 | HotTextInteraction | – | HotTextInteraction.Type | ComplexType |
|
Attribute | 2.14 | XML Base | – | xml:base | Attribute |
|
Attribute | 2.14 | NCName | – | id | Attribute |
|
Attribute | 2.14 | List of Strings | – | class | Attribute |
|
Attribute | 2.14 | XML Language | – | xml:lang | Attribute |
|
Attribute | 2.14 | String256 | – | label | Attribute |
|
Attribute | 2.14 | NCName | – | responseIdentifier | Attribute |
|
Attribute | 2.14 | Int | – | minChoices | Attribute |
|
Attribute | 2.14 | Int | – | maxChoices | Attribute |
|
Attribute | 2.14 | Prompt | – | prompt | Element |
|
Abstract Class | 2.14 | BlockStaticGroup | – |
N/A
|
Abstract Type |
| InlineChoiceInteraction | Class | 2.5 | InlineChoiceInteraction | – | InlineChoiceInteraction.Type | ComplexType |
|
Attribute | 2.5 | XML Base | – | xml:base | Attribute |
|
Attribute | 2.5 | NCName | – | id | Attribute |
|
Attribute | 2.5 | List of Strings | – | class | Attribute |
|
Attribute | 2.5 | XML Language | – | xml:lang | Attribute |
|
Attribute | 2.5 | String256 | – | label | Attribute |
|
Attribute | 2.5 | NCName | – | responseIdentifier | Attribute |
|
Attribute | 2.5 | Boolean | – | shuffle | Attribute |
|
Attribute | 2.5 | Boolean | – | required | Attribute |
|
Attribute | 2.5 | InlineChoice | – | inlineChoice | Element |
| MatchInteraction | Class | 2.10 | MatchInteraction | – | MatchInteraction.Type | ComplexType |
|
Attribute | 2.10 | XML Base | – | xml:base | Attribute |
|
Attribute | 2.10 | NCName | – | id | Attribute |
|
Attribute | 2.10 | List of Strings | – | class | Attribute |
|
Attribute | 2.10 | XML Language | – | xml:lang | Attribute |
|
Attribute | 2.10 | String256 | – | label | Attribute |
|
Attribute | 2.10 | NCName | – | responseIdentifier | Attribute |
|
Attribute | 2.10 | Boolean | – | shuffle | Attribute |
|
Attribute | 2.10 | Int | – | minAssociations | Attribute |
|
Attribute | 2.10 | Int | – | maxAssociations | Attribute |
|
Attribute | 2.10 | Prompt | – | prompt | Element |
|
Attribute | 2.10 | SimpleMatchSet | – | simpleMatchSet | Element |
| MediaInteraction | Class | 2.11 | MediaInteraction | – | MediaInteraction.Type | ComplexType |
|
Attribute | 2.11 | XML Base | – | xml:base | Attribute |
|
Attribute | 2.11 | NCName | – | id | Attribute |
|
Attribute | 2.11 | List of Strings | – | class | Attribute |
|
Attribute | 2.11 | XML Language | – | xml:lang | Attribute |
|
Attribute | 2.11 | String256 | – | label | Attribute |
|
Attribute | 2.11 | NCName | – | responseIdentifier | Attribute |
|
Attribute | 2.11 | Boolean | – | autostart | Attribute |
|
Attribute | 2.11 | Int | – | minPlays | Attribute |
|
Attribute | 2.11 | Int | – | maxPlays | Attribute |
|
Attribute | 2.11 | Boolean | – | loop | Attribute |
|
Attribute | 2.11 | Prompt | – | prompt | Element |
|
Attribute | 2.11 | Object | – | object | Element |
| OrderInteraction | Class | 2.13 | OrderInteraction | – | OrderInteraction | ComplexType |
|
Attribute | 2.13 | XML Base | – | xml:base | Attribute |
|
Attribute | 2.13 | NCName | – | id | Attribute |
|
Attribute | 2.13 | List of Strings | – | class | Attribute |
|
Attribute | 2.13 | XML Language | – | xml:lang | Attribute |
|
Attribute | 2.13 | String256 | – | label | Attribute |
|
Attribute | 2.13 | NCName | – | responseIdentifier | Attribute |
|
Attribute | 2.13 | Boolean | – | shuffle | Attribute |
|
Attribute | 2.13 | Int | – | minChoices | Attribute |
|
Attribute | 2.13 | Int | – | maxChoices | Attribute |
|
Attribute | 2.13 | Enumeration | – | orientation | Attribute |
|
Attribute | 2.13 | Prompt | – | prompt | Element |
|
Attribute | 2.13 | SimpleChoice | – | simpleChoice | Element |
| PositionObjectInteraction | Class | 2.12 | PositionObjectInteraction | – | PositionObjectInteraction | ComplexType |
|
Attribute | 2.12 | NCName | – | id | Attribute |
|
Attribute | 2.12 | List of Strings | – | class | Attribute |
|
Attribute | 2.12 | XML Language | – | xml:lang | Attribute |
|
Attribute | 2.12 | String256 | – | label | Attribute |
|
Attribute | 2.12 | NCName | – | responseIdentifier | Attribute |
|
Attribute | 2.12 | List of Integers | – | centrePoint | Attribute |
|
Attribute | 2.12 | Int | – | minChoices | Attribute |
|
Attribute | 2.12 | Int | – | maxChoices | Attribute |
|
Attribute | 2.12 | Object | – | object | Element |
| SelectPointInteraction | Class | 2.8 | SelectPointInteraction | – | SelectPointInteraction | ComplexType |
|
Attribute | 2.8 | XML Base | – | xml:base | Attribute |
|
Attribute | 2.8 | NCName | – | id | Attribute |
|
Attribute | 2.8 | List of Strings | – | class | Attribute |
|
Attribute | 2.8 | XML Language | – | xml:lang | Attribute |
|
Attribute | 2.8 | String256 | – | label | Attribute |
|
Attribute | 2.8 | NCName | – | responseIdentifier | Attribute |
|
Attribute | 2.8 | Int | – | minChoices | Attribute |
|
Attribute | 2.8 | Int | – | maxChoices | Attribute |
|
Attribute | 2.8 | Prompt | – | prompt | Element |
|
Attribute | 2.8 | Object | – | object | Element |
| SliderInteraction | Class | 2.13 | SliderInteraction | – | SliderInteraction | ComplexType |
|
Attribute | 2.13 | XML Base | – | xml:base | Attribute |
|
Attribute | 2.13 | NCName | – | id | Attribute |
|
Attribute | 2.13 | List of Strings | – | class | Attribute |
|
Attribute | 2.13 | XML Language | – | xml:lang | Attribute |
|
Attribute | 2.13 | String256 | – | label | Attribute |
|
Attribute | 2.13 | NCName | – | responseIdentifier | Attribute |
|
Attribute | 2.13 | Double | – | lowerBound | Attribute |
|
Attribute | 2.13 | Double | – | upperBound | Attribute |
|
Attribute | 2.13 | Double | – | step | Attribute |
|
Attribute | 2.13 | Boolean | – | stepLabel | Attribute |
|
Attribute | 2.13 | Enumeration | – | orientation | Attribute |
|
Attribute | 2.13 | Double | – | reverse | Attribute |
|
Attribute | 2.13 | Prompt | – | prompt | Element |
| TextEntryInteraction | Class | 2.14 | TexEntrytInteraction | – | TexEntrytInteraction.Type | ComplexType |
|
Attribute | 2.14 | XML Base | – | xml:base | Attribute |
|
Attribute | 2.14 | NCName | – | id | Attribute |
|
Attribute | 2.14 | List of Strings | – | class | Attribute |
|
Attribute | 2.14 | XML Language | – | xml:lang | Attribute |
|
Attribute | 2.14 | String256 | – | label | Attribute |
|
Attribute | 2.14 | NCName | – | responseIdentifier | Attribute |
|
Attribute | 2.14 | Int | – | base | Attribute |
|
Attribute | 2.14 | NCName | – | stringIdentifier | Attribute |
|
Attribute | 2.14 | Int | – | expectedLength | Attribute |
|
Attribute | 2.14 | String | – | patternMask | Attribute |
|
Attribute | 2.14 | String | – | placeHolderText | Attribute |
| UploadInteraction | Class | 2.6 | UploadInteraction | – | UploadInteraction | ComplexType |
|
Attribute | 2.6 | XML Base | – | xml:base | Attribute |
|
Attribute | 2.6 | NCName | – | id | Attribute |
|
Attribute | 2.6 | List of Strings | – | class | Attribute |
|
Attribute | 2.6 | XML Language | – | xml:lang | Attribute |
|
Attribute | 2.6 | String256 | – | label | Attribute |
|
Attribute | 2.6 | NCName | – | responseIdentifier | Attribute |
|
Attribute | 2.6 | NormalizedString | – | type | Attribute |
|
Attribute | 2.6 | Prompt | – | prompt | Element |
Table 3.5 Mapping between the PIM, PSM and XSD descriptions for the ASI common data models.
| PSM Reference | PIM Reference | XSD Reference | ||||
|---|---|---|---|---|---|---|
| Name | UML Type | Figure | Type | Table | Name | Type |
| A | Class | 2.20 | A | – | A.Type | ComplexType |
|
Attribute | 2.20 | ID | – | id | Attribute |
|
Attribute | 2.20 | List of Strings | – | class | Attribute |
|
Attribute | 2.20 | XML Language | – | xml:lang | Attribute |
|
Attribute | 2.20 | String256 | – | label | Attribute |
|
Attribute | 2.20 | XML Base | – | xml:base | Attribute |
|
Attribute | 2.20 | AnyURI | – | href | Attribute |
|
Attribute | 2.20 | NormalizedString | – | type | Attribute |
|
Abstract Class | 2.20 | InlineGroup | – |
N/A
|
Abstract Type |
| AnyN | Class | 2.22 | AnyN | – | AnyN.Type | ComplexType |
|
Attribute | 2.22 | Integer or VariableRef | – | min | Attribute |
|
Attribute | 2.22 | Integer or VariableRef | – | max | Attribute |
|
Abstract Class | 2.22 | ExpressionGroup | – |
N/A
|
Abstract Type |
| AssociableHotspot | Class | 2.8 | AssociableHotspot | – | AssociableHotspot.Type | ComplexType |
|
Attribute | 2.8 | ID | – | id | Attribute |
|
Attribute | 2.8 | List of Strings | – | class | Attribute |
|
Attribute | 2.8 | XML Language | – | xml:lang | Attribute |
|
Attribute | 2.8 | String256 | – | label | Attribute |
|
Attribute | 2.8 | NCName | – | identifier | Attribute |
|
Attribute | 2.8 | Boolean | – | fixed | Attribute |
|
Attribute | 2.8 | NCName | – | templateIdentifier | Attribute |
|
Attribute | 2.8 | Enumeration | – | showHide | Attribute |
|
Attribute | 2.8 | List of Identifiers | – | matchGroup | Attribute |
|
Attribute | 2.8 | Enumeration | – | shape | Attribute |
|
Attribute | 2.8 | NormalizedString | – | coords | Attribute |
|
Attribute | 2.8 | String | – | hotspotLabel | Attribute |
|
Attribute | 2.8 | Int | – | matchMax | Attribute |
|
Attribute | 2.8 | Int | – | matchMin | Attribute |
| BaseValue | Class | 2.22 | String | – | BaseValue.Type | ComplexType |
|
Attribute | 2.22 | Enumeration | – | baseType | Attribute |
| BlockQuote | Class | 2.20 | BlockQuote | – | BlockQuote.Type | ComplexType |
|
Attribute | 2.20 | ID | – | id | Attribute |
|
Attribute | 2.20 | List of Strings | – | class | Attribute |
|
Attribute | 2.20 | XML Language | – | xml:lang | Attribute |
|
Attribute | 2.20 | String256 | – | label | Attribute |
|
Attribute | 2.20 | XML Base | – | xml:base | Attribute |
|
Attribute | 2.20 | AnyURI | – | cite | Attribute |
|
Abstract Class | 2.20 | BlockGroup | – |
N/A
|
Abstract Type |
| BR | Class | 2.20 | BR | – | BR.Type | ComplexType |
|
Attribute | 2.20 | ID | – | id | Attribute |
|
Attribute | 2.20 | List of Strings | – | class | Attribute |
|
Attribute | 2.20 | XML Language | – | xml:lang | Attribute |
|
Attribute | 2.20 | String256 | – | label | Attribute |
|
Attribute | 2.20 | XML Base | – | xml:base | Attribute |
| BranchRule | Class | 2.21 | BranchRule | – | BranchRule.Type | ComplexType |
|
Attribute | 2.21 | NCName | – | target | Attribute |
|
Abstract Class | 2.21 | ExpressionGroup | – |
N/A
|
Abstract Type |
| Caption | Class | 2.18 | Caption | – | Class.Type | ComplexType |
|
Attribute | 2.18 | ID | – | id | Attribute |
|
Attribute | 2.18 | List of Strings | – | class | Attribute |
|
Attribute | 2.18 | XML Language | – | xml:lang | Attribute |
|
Attribute | 2.18 | String256 | – | label | Attribute |
|
Abstract Class | 2.18 | InlineGroup | – |
N/A
|
Abstract Type |
| Col | Class | 2.17 | Empty | – | Col.Type | ComplexType |
|
Attribute | 2.18 | ID | – | id | Attribute |
|
Attribute | 2.18 | List of Strings | – | class | Attribute |
|
Attribute | 2.18 | XML Language | – | xml:lang | Attribute |
|
Attribute | 2.18 | String256 | – | label | Attribute |
|
Attribute | 2.18 | Int | – | span | Attribute |
| ColGroup | Class | 2.18 | ColGroup | – | ColGroup.Type | ComplexType |
|
Attribute | 2.18 | ID | – | id | Attribute |
|
Attribute | 2.18 | List of Strings | – | class | Attribute |
|
Attribute | 2.18 | XML Language | – | xml:lang | Attribute |
|
Attribute | 2.18 | String256 | – | label | Attribute |
|
Attribute | 2.18 | Int | – | span | Attribute |
|
Attribute | 2.18 | Col | – | col | Element |
| Correct | Class | 2.22 | Empty | – | Correct.Type | ComplexType |
|
Attribute | 2.22 | NCName | – | identifier | Attribute |
| CustomOperator | Class | 2.21 | Custom | – | Custom.Operator | ComplexType |
|
Attribute | 2.21 | NCName | – | class | Attribute |
|
Attribute | 2.21 | AnyURI | – | definition | Attribute |
|
Attribute | 2.21 | Namespace (Lax) Extension | – |
N/A
|
Attribute |
|
Abstract Class | 2.21 | ExpressionGroup | – |
N/A
|
Abstract Type |
|
Attribute | 2.21 | Namespace (Lax) Extension | – |
N/A
|
Element |
| DD | Class | 2.17 | DD | – | DD.Type | ComplexType |
|
Attribute | 2.17 | ID | – | id | Attribute |
|
Attribute | 2.17 | List of Strings | – | class | Attribute |
|
Attribute | 2.17 | XML Language | – | xml:lang | Attribute |
|
Attribute | 2.17 | String256 | – | label | Attribute |
|
Attribute | 2.17 | XML Base | – | xml:base | Attribute |
|
Abstract Class | 2.17 | FlowGroup | – |
N/A
|
Abstract Type |
| Default | Class | 2.22 | Empty | – | Default.Type | ComplexType |
|
Attribute | 2.22 | NCName | – | identifier | Attribute |
| DefaultValue | Class | 2.34 | DefaultValue | – | DefaultValue.Type | ComplexType |
|
Attribute | 2.34 | NormalizedString | – | interpretation | Attribute |
|
Attribute | 2.34 | Value | – | value | Element |
| Div | Class | 2.20 | Div | Div.Type | ComplexType | |
|
Attribute | 2.20 | ID | – | id | Attribute |
|
Attribute | 2.20 | List of Strings | – | class | Attribute |
|
Attribute | 2.20 | XML Language | – | xml:lang | Attribute |
|
Attribute | 2.20 | String256 | – | label | Attribute |
|
Attribute | 2.20 | XML Base | – | xml:base | Attribute |
|
Attribute | 2.20 | PositionObjectStage | – | positionObjectStage | Element |
|
Abstract Class | 2.10 | FlowGroup | – |
N/A
|
Abstract Type |
| DL | Class | 2.17 | DL | – | DL.Type | ComplexType |
|
Attribute | 2.17 | ID | – | id | Attribute |
|
Attribute | 2.17 | List of Strings | – | class | Attribute |
|
Attribute | 2.17 | XML Language | – | xml:lang | Attribute |
|
Attribute | 2.17 | String256 | – | label | Attribute |
|
Attribute | 2.17 | XML Base | – | xml:base | Attribute |
|
Attribute | 2.17 | DD | – | dd | Element |
|
Attribute | 2.17 | DT | – | dt | Element |
| DT | Class | 2.17 | DT | – | DL.Type | ComplexType |
|
Attribute | 2.17 | ID | – | id | Attribute |
|
Attribute | 2.17 | List of Strings | – | class | Attribute |
|
Attribute | 2.17 | XML Language | – | xml:lang | Attribute |
|
Attribute | 2.17 | String256 | – | label | Attribute |
|
Attribute | 2.17 | XML Base | – | xml:base | Attribute |
|
Abstract Class | 2.17 | InlineGroup | – |
N/A
|
Abstract Type |
| Equal | Class | 2.21 | Equal | – | Equal.Type | ComplexType |
|
Attribute | 2.21 | Enumeration | – | toleranceMode | Attribute |
|
Attribute | 2.21 | List of Strings and Doubles | – | tolerance | Attribute |
|
Attribute | 2.21 | Boolean | – | includeLowerBound | Attribute |
|
Attribute | 2.21 | Boolean | – | includeUpperBound | Attribute |
|
Abstract Class | 2.21 | ExpressionGroup | – |
N/A
|
Abstract Type |
| EqualRounded | Class | 2.21 | EqualRounded | – | EqualRounded.Type | ComplexType |
|
Attribute | 2.21 | Enumeration | – | roundingMode | Attribute |
|
Attribute | 2.21 | Integer or VariableRef | – | figures | Attribute |
|
Abstract Class | 2.21 | ExpressionGroup | – |
N/A
|
Abstract Type |
| FeedbackBlock | Class | 2.15 | FeedbackBlock | – | FeedbackBlock.Type | ComplexType |
|
Attribute | 2.15 | NCName | – | outcomeIdentifier | Attribute |
|
Attribute | 2.15 | Enumeration | – | showHide | Attribute |
|
Attribute | 2.15 | NCName | – | identifier | Attribute |
|
Attribute | 2.15 | NCName | – | id | Attribute |
|
Attribute | 2.15 | List of Strings | – | class | Attribute |
|
Attribute | 2.15 | XML Language | – | xml:lang | Attribute |
|
Attribute | 2.15 | String256 | – | label | Attribute |
|
Attribute | 2.15 | XML Base | – | xml:base | Attribute |
|
Abstract Class | 2.15 | BlockGroup | – |
N/A
|
Abstract Type |
|
Abstract Class | 2.15 | Inline-ContentModel | – |
N/A
|
Abstract Type |
|
Attribute | 2.15 | TemplateInline | – | templateInline | Element |
|
Attribute | 2.15 | FeedbackInline | – | feedbackInline | Element |
|
Attribute | 2.15 | PrintedVariable | – | printedVariable | Element |
|
Attribute | 2.15 | StyleSheet | – | stylesheet | Element |
|
Attribute | 2.15 | APIPAccessibility | See [APIP, 12] | apipAccessibility | Element |
| FeedbackInline | Class | 2.15 | FeedbackInline | – | FeedbackInline.Type | ComplexType |
|
Attribute | 2.15 | NCName | – | outcomeIdentifier | Attribute |
|
Attribute | 2.15 | Enumeration | – | showHide | Attribute |
|
Attribute | 2.15 | NCName | – | identifier | Attribute |
|
Attribute | 2.15 | NCName | – | id | Attribute |
|
Attribute | 2.15 | List of Strings | – | class | Attribute |
|
Attribute | 2.15 | XML Language | – | xml:lang | Attribute |
|
Attribute | 2.15 | String256 | – | label | Attribute |
|
Attribute | 2.15 | XML Base | – | xml:base | Attribute |
|
Abstract Class | 2.15 | Inline-ContentModel | – |
N/A
|
Abstract Type |
|
Attribute | 2.29 | Math ML | – | MathML | Element |
|
Attribute | 2.15 | XInclude | – | XInclude | Element |
|
Attribute | 2.15 | TemplateInline | – | templateInline | Element |
|
Attribute | 2.15 | PrintedVariable | – | printedVariable | Element |
| FieldValue | Class | 2.22 | Empty | – | FieldValue.Type | ComplexType |
|
Attribute | 2.22 | NCName | – | fieldIdentifier | Attribute |
|
Abstract Class | 2.22 | ExpressionGroup | – |
N/A
|
Abstract Type |
| Gap | Class | 2.7 | Gap | – | Gap.Type | ComplexType |
|
Attribute | 2.7 | NCName | – | id | Attribute |
|
Attribute | 2.7 | List of Strings | – | class | Attribute |
|
Attribute | 2.7 | XML Language | – | xml:lang | Attribute |
|
Attribute | 2.7 | String256 | – | label | Attribute |
|
Attribute | 2.7 | NCName | – | identifier | Attribute |
|
Attribute | 2.7 | Boolean | – | fixed | Attribute |
|
Attribute | 2.7 | NCName | – | templateIdentifier | Attribute |
|
Attribute | 2.7 | Enumeration | – | showHide | Attribute |
|
Attribute | 2.7 | List of Identifiers | – | matchGroup | Attribute |
|
Attribute | 2.7 | Boolean | – | required | Attribute |
| GapImg | Class | 2.7 | GapImg | – | GapImg.Type | ComplexType |
|
Attribute | 2.7 | NCName | – | id | Attribute |
|
Attribute | 2.7 | List of Strings | – | class | Attribute |
|
Attribute | 2.7 | XML Language | – | xml:lang | Attribute |
|
Attribute | 2.7 | String256 | – | label | Attribute |
|
Attribute | 2.7 | NCName | – | identifier | Attribute |
|
Attribute | 2.7 | Boolean | – | fixed | Attribute |
|
Attribute | 2.7 | NCName | – | templateIdentifier | Attribute |
|
Attribute | 2.7 | Enumeration | – | showHide | Attribute |
|
Attribute | 2.7 | List of Identifiers | – | matchGroup | Attribute |
|
Attribute | 2.7 | Int | – | matchMax | Attribute |
|
Attribute | 2.7 | Int | – | matchMin | Attribute |
|
Attribute | 2.7 | String | – | objectLabel | Attribute |
|
Attribute | 2.7 | Object | – | object | Element |
| GapText | Class | 2.7 | GapText | – | GapText.Type | ComplexType |
|
Attribute | 2.7 | NCName | – | id | Attribute |
|
Attribute | 2.7 | List of Strings | – | class | Attribute |
|
Attribute | 2.7 | XML Language | – | xml:lang | Attribute |
|
Attribute | 2.7 | String256 | – | label | Attribute |
|
Attribute | 2.7 | NCName | – | identifier | Attribute |
|
Attribute | 2.7 | Boolean | – | fixed | Attribute |
|
Attribute | 2.7 | NCName | – | templateIdentifier | Attribute |
|
Attribute | 2.7 | Enumeration | – | showHide | Attribute |
|
Attribute | 2.7 | List of Identifiers | – | matchGroup | Attribute |
|
Attribute | 2.7 | Int | – | matchMax | Attribute |
|
Attribute | 2.7 | Int | – | matchMin | Attribute |
|
Attribute | 2.7 | PrintedVariable | – | printedVariable | Element |
| HotspotChoice | Class | 2.9 | HotspotChoice | – | HotspotChoice.Type | ComplexType |
|
Attribute | 2.9 | XML Base | – | xml:base | Attribute |
|
Attribute | 2.9 | NCName | – | id | Attribute |
|
Attribute | 2.9 | List of Strings | – | class | Attribute |
|
Attribute | 2.9 | XML Language | – | xml:lang | Attribute |
|
Attribute | 2.9 | String256 | – | label | Attribute |
|
Attribute | 2.9 | NCName | – | identifier | Attribute |
|
Attribute | 2.9 | Boolean | – | fixed | Attribute |
|
Attribute | 2.9 | NCName | – | templateIdentifier | Attribute |
|
Attribute | 2.9 | Enumeration | – | showHide | Attribute |
|
Attribute | 2.9 | Enumeration | – | shape | Attribute |
|
Attribute | 2.9 | NormalizedString | – | coords | Attribute |
|
Attribute | 2.9 | String | – | hotspotLabel | Attribute |
| HotText | Class | 2.14 | HotText | – | HotText.Type | ComplexType |
|
Attribute | 2.14 | XML Base | – | xml:base | Attribute |
|
Attribute | 2.14 | NCName | – | id | Attribute |
|
Attribute | 2.14 | List of Strings | – | class | Attribute |
|
Attribute | 2.14 | XML Language | – | xml:lang | Attribute |
|
Attribute | 2.14 | String256 | – | label | Attribute |
|
Attribute | 2.14 | NCName | – | identifier | Attribute |
|
Attribute | 2.14 | Boolean | – | fixed | Attribute |
|
Attribute | 2.14 | NCName | – | templateIdentifier | Attribute |
|
Attribute | 2.14 | Enumeration | – | showHide | Attribute |
|
Attribute | 2.24 | HotText | – | hottext | Element |
|
Attribute | 2.24 | PrintedVariable | – | printedVariable | Element |
|
Attribute | 2.24 | Gap | – | gap | Element |
|
Attribute | 2.24 | TemplateInline | – | templateInline | Element |
|
Attribute | 2.24 | FeedbackInline | – | feedbackInline | Element |
|
Attribute | 2.24 | MathML | – | mathML | Element |
|
Attribute | 2.24 | XInclude | – | XInclude | Element |
|
Abstract Class | 2.24 | Inline-ContentModel | – |
N/A
|
Abstract Type |
| HR | Class | 2.20 | HR | HR.Type | ComplexType | |
|
Attribute | 2.20 | ID | – | id | Attribute |
|
Attribute | 2.20 | List of Strings | – | class | Attribute |
|
Attribute | 2.20 | XML Language | – | xml:lang | Attribute |
|
Attribute | 2.20 | String256 | – | label | Attribute |
|
Attribute | 2.20 | XML Base | – | xml:base | Attribute |
| HTMLText | Class | 2.19 | HTML.Type | HTML.Type | ComplexType | |
|
Attribute | 2.19 | ID | – | id | Attribute |
|
Attribute | 2.19 | List of Strings | – | class | Attribute |
|
Attribute | 2.19 | XML Language | – | xml:lang | Attribute |
|
Attribute | 2.19 | String256 | – | label | Attribute |
|
Attribute | 2.19 | XML Base | – | xml:base | Attribute |
|
Abstract Class | 2.19 | InlineGroup | – |
N/A
|
Abstract Type |
| Img | Class | 2.20 | Img | – | Img.Type | ComplexType |
|
Attribute | 2.20 | ID | – | id | Attribute |
|
Attribute | 2.20 | List of Strings | – | class | Attribute |
|
Attribute | 2.20 | XML Language | – | xml:lang | Attribute |
|
Attribute | 2.20 | String256 | – | label | Attribute |
|
Attribute | 2.20 | XML Base | – | xml:base | Attribute |
|
Attribute | 2.20 | AnyURI | – | src | Attribute |
|
Attribute | 2.20 | String | – | alt | Attribute |
|
Attribute | 2.20 | AnyURI | – | longdesc | Attribute |
|
Attribute | 2.20 | String | – | height | Attribute |
|
Attribute | 2.20 | String | – | width | Attribute |
| Index | Class | 2.21 | Index | – | Index.Type | ComplexType |
|
Attribute | 2.21 | Int or Identifier | – | n | Attribute |
|
Abstract Class | 2.21 | ExpressionGroup | – |
N/A
|
Abstract Type |
| InfoControl | Class | 2.15 | InfoControl | – | InfoControl.Type | ComplexType |
|
Attribute | 2.15 | NCName | – | id | Attribute |
|
Attribute | 2.15 | NormalizedString | – | title | Attribute |
|
Attribute | 2.15 | List of Strings | – | class | Attribute |
|
Attribute | 2.15 | String256 | – | label | Attribute |
|
Attribute | 2.15 | XML Language | – | xml:lang | Attribute |
|
Abstract Class | 2.15 | FlowStaticGroup | – |
N/A
|
Abstract Type |
| InlineChoice | Class | 2.5 | InlineChoice | – | InlineChoice.Type | ComplexType |
|
Attribute | 2.5 | XML Base | – | xml:base | Attribute |
|
Attribute | 2.5 | NCName | – | id | Attribute |
|
Attribute | 2.5 | List of Strings | – | class | Attribute |
|
Attribute | 2.5 | XML Language | – | xml:lang | Attribute |
|
Attribute | 2.5 | String256 | – | label | Attribute |
|
Attribute | 2.5 | NCName | – | responseIdentifier | Attribute |
|
Attribute | 2.5 | Boolean | – | shuffle | Attribute |
|
Attribute | 2.5 | Boolean | – | required | Attribute |
|
Attribute | 2.5 | PrintedVariable | – | printedVariable | Element |
| Inside | Class | 2.22 | Inside | – | inside | ComplexType |
|
Attribute | 2.22 | Enumeration | – | shape | Attribute |
|
Attribute | 2.22 | NormalizedString | – | coords | Attribute |
|
Abstract Class | 2.22 | ExpressionGroup | – |
N/A
|
Abstract Type |
| InterpolationTable | Class | 2.26 | InterpolationTable | – | InterpolationTable.Type | ComplexType |
|
Attribute | 2.26 | DefaultValue | – | defaultValue | Element |
|
Attribute | 2.26 | InterpolationTableEntry | – | interpolationTableEntry | Element |
| InterpolationTableEntry | Class | 2.26 | InterpolationTableEntry | – | InterpolationTableEntry.Type | ComplexType |
|
Attribute | 2.26 | Double | – | sourceValue | Attribute |
|
Attribute | 2.26 | Boolean | – | includeBoundary | Attribute |
|
Attribute | 2.26 | String | – | targetValue | Attribute |
| ItemSessionControl | Class | 2.34 | ItemSessionControl | – | ItemSessionControl.Type | ComplexType |
|
Attribute | 2.34 | Int | – | maxAttempts | Attribute |
|
Attribute | 2.34 | Boolean | – | showFeedback | Attribute |
|
Attribute | 2.34 | Boolean | – | allowReview | Attribute |
|
Attribute | 2.34 | Boolean | – | showSolution | Attribute |
|
Attribute | 2.34 | Boolean | – | allowComments | Attribute |
|
Attribute | 2.34 | Boolean | – | allowSkipping | Attribute |
|
Attribute | 2.34 | Boolean | – | validateResponses | Attribute |
| LI | Class | 2.17 | LI | – | LI.Type | ComplexType |
|
Attribute | 2.17 | ID | – | id | Attribute |
|
Attribute | 2.17 | List of Strings | – | class | Attribute |
|
Attribute | 2.17 | XML Language | – | xml:lang | Attribute |
|
Attribute | 2.17 | String256 | – | label | Attribute |
|
Abstract Class | 2.17 | FlowGroup | – |
N/A
|
Abstract Type |
| Logic0toMany | Class | 2.21 | Logic0toMany | – | Logic0toMany.Type | ComplexType |
|
Abstract Class | 2.21 | ExpressionGroup | – |
N/A
|
Abstract Type |
| Logic1toMany | Class | 2.21 | Logic1toMany | – | Logic1toMany.Type | ComplexType |
|
Abstract Class | 2.21 | ExpressionGroup | – |
N/A
|
Abstract Type |
| LogicPair | Class | 2.21 | LogicPair | – | LogicPair.Type | ComplexType |
|
Abstract Class | 2.21 | ExpressionGroup | – |
N/A
|
Abstract Type |
| LogicSingle | Class | 2.21 | LogicSingle | – | LogicSingle.Type | ComplexType |
|
Abstract Class | 2.21 | ExpressionGroup | – |
N/A
|
Abstract Type |
| LookupOutcomeValue | LookupOutcomeValue | 2.29 | LookupOutcomeValue | – | LookupOutcomeValue.Type | ComplexType |
|
Attribute | 2.29 | NCName | – | identifier | Attribute |
|
Abstract Class | 2.29 | ExpressionGroup | – |
N/A
|
Abstract Type |
| Mapping | Class | 2.34 | Mapping | – | Mapping.Type | ComplexType |
|
Attribute | 2.34 | Double | – | lowerBound | Attribute |
|
Attribute | 2.34 | Double | – | upperBound | Attribute |
|
Attribute | 2.34 | Double | – | defaultValue | Attribute |
|
Attribute | 2.34 | MapeEntry | – | mapEntry | Element |
| MapEntry | Class | 2.34 | MapEntry | – | MapEntry.Type | ComplexType |
|
Attribute | 2.34 | NormalizedString | – | mapKey | Attribute |
|
Attribute | 2.34 | Double | – | mappedValue | Attribute |
|
Attribute | 2.34 | Boolean | – | caseSensitive | Attribute |
| MapResponse | Class | 2.22 | Empty | – | MapResponse.Type | ComplexType |
|
Attribute | 2.22 | NCName | – | identifier | Attribute |
| MatchTable | Class | 2.26 | MatchTable | – | MatchTable.Type | ComplexType |
|
Attribute | 2.26 | DefaultValue | – | defaultValue | Element |
|
Attribute | 2.26 | MatchTableEntry | – | matchTableEntry | Element |
| MatchTableEntry | Class | 2.26 | MatchTableEntry | – | MatchTableEntry.Type | ComplexType |
|
Attribute | 2.26 | Int | – | sourceValue | Attribute |
|
Attribute | 2.26 | String | – | targetType | Attribute |
| MathConstant | Class | 2.22 | Empty | – | MathConstant.Type | ComplexType |
|
Attribute | 2.22 | Enumeration | – | name | Attribute |
| MathOperator | Class | 2.22 | MathOperator | – | MathOperator.Type | ComplexType |
|
Attribute | 2.22 | Enumeration | – | name | Attribute |
|
Abstract Class | 2.22 | ExpressionGroup | – |
N/A
|
Abstract Type |
| Number | Class | 2.21 | Empty | – | Number.Type | ComplexType |
|
Attribute | 2.21 | NCName | – | sectionIdentifier | Attribute |
|
Attribute | 2.21 | List of NCName | – | includeCategory | Attribute |
|
Attribute | 2.21 | List of NCName | – | excludeCategory | Attribute |
| NumericLogic1toMany | Class | 2.21 | NumericLogic1toMany | – | NumericLogic1toMany.Type | ComplexType |
|
Abstract Class | 2.21 | NumericExpressionGroup | – |
N/A
|
Abstract Type |
| Object | Class | 2.25 | Object | – | Object.Type | ComplexType |
|
Attribute | 2.25 | ID | – | id | Attribute |
|
Attribute | 2.25 | List of Strings | – | class | Attribute |
|
Attribute | 2.25 | XML Language | – | xml:lang | Attribute |
|
Attribute | 2.25 | String256 | – | label | Attribute |
|
Attribute | 2.25 | XML Base | – | xml:base | Attribute |
|
Attribute | 2.25 | String | – | data | Attribute |
|
Attribute | 2.25 | NormalizedString | – | type | Attribute |
|
Attribute | 2.25 | String | – | width | Attribute |
|
Attribute | 2.25 | String | – | height | Attribute |
|
Attribute | 2.25 | MathML | – | mathML | Element |
|
Attribute | 2.25 | XInclude | – | XInclude | Element |
|
Attribute | 2.25 | Param | – | param | Element |
|
Abstract Class | 2.25 | Flow-ContentModel | – |
N/A
|
Abstract Type |
| OUL | Class | 2.17 | OUL | – | OUL.Type | ComplexType |
|
Attribute | 2.17 | ID | – | id | Attribute |
|
Attribute | 2.17 | List of Strings | – | class | Attribute |
|
Attribute | 2.17 | XML Language | – | xml:lang | Attribute |
|
Attribute | 2.17 | String256 | – | label | Attribute |
|
Attribute | 2.17 | XML Base | – | xml:base | Attribute |
|
Attribute | 2.17 | LI | – | li | Element |
| OutcomeMinMax | Class | 2.22 | Empty | – | OutcomeMinMax.Type | ComplexType |
|
Attribute | 2.22 | NCName | – | sectionIdentifier | Attribute |
|
Attribute | 2.22 | List of NCName | – | includeCategory | Attribute |
|
Attribute | 2.22 | List of NCName | – | excludeCategory | Attribute |
|
Attribute | 2.22 | NCName | – | outcomeIdentifier | Attribute |
|
Attribute | 2.22 | NCName | – | weightIdentifier | Attribute |
| Param | Class | 2.25 | Param | – | Param.Type | ComplexType |
|
Attribute | 2.25 | String | – | name | Attribute |
|
Attribute | 2.25 | String | – | value | Attribute |
|
Attribute | 2.25 | Enumeration | – | valueType | Attribute |
|
Attribute | 2.25 | NormalizedString | – | type | Attribute |
| PatternMatch | Class | 2.22 | PatternMatch | – | PatternMatch.Type | ComplexType |
|
Attribute | 2.22 | String or VariableRef | – | pattern | Attribute |
|
Abstract Class | 2.22 | ExpressionGroup | – |
N/A
|
Abstract Type |
| PositionObjectStage | Class | 2.12 | PositionObjectStage | – | PositionObjectStage.Type | ComplexType |
|
Attribute | 2.112 | Object | – | object | Element |
|
Attribute | 2.7 | PositionObjectInteraction | – | positionObjectInteraction | Element |
| PrintedVariable | Class | 2.33 | PrintedVariable | – | PrintedVariable.Type | ComplexType |
|
Attribute | 2.33 | NCName | – | id | Attribute |
|
Attribute | 2.33 | List of Strings | – | class | Attribute |
|
Attribute | 2.33 | XML Language | – | xml:lang | Attribute |
|
Attribute | 2.33 | String256 | – | label | Attribute |
|
Attribute | 2.33 | XML Base | – | xml:base | Attribute |
|
Attribute | 2.33 | NCName | – | identifier | Attribute |
|
Attribute | 2.33 | String256 | – | format | Attribute |
|
Attribute | 2.33 | Integer or VariableRef | – | base | Attribute |
|
Attribute | 2.33 | Integer or VariableRef | – | index | Attribute |
|
Attribute | 2.33 | Boolean | – | powerForm | Attribute |
|
Attribute | 2.33 | String256 | – | field | Attribute |
|
Attribute | 2.33 | String256 | – | delimiter | Attribute |
|
Attribute | 2.33 | String256 | – | mappingIndicator | Attribute |
| Prompt | Class | 2.5 | PromptBlock | – | Prompt.Type | ComplexType |
|
Attribute | 2.5 | NCName | – | id | Attribute |
|
Attribute | 2.5 | List of Strings | – | class | Attribute |
|
Attribute | 2.5 | XML Language | – | xml:lang | Attribute |
|
Attribute | 2.5 | String256 | – | label | Attribute |
|
Attribute | 2.5 | MathML | – | mathML | Element |
|
Attribute | 2.5 | XInclude | – | XInclude | Element |
|
Abstract Class | 2.5 | Flow-ContentModel | – |
N/A
|
Abstract Type |
| Q | Class | 2.19 | Q | – | Q.Type | ComplexType |
|
Attribute | 2.19 | ID | – | id | Attribute |
|
Attribute | 2.19 | List of Strings | – | class | Attribute |
|
Attribute | 2.19 | XML Language | – | xml:lang | Attribute |
|
Attribute | 2.19 | String256 | – | label | Attribute |
|
Attribute | 2.19 | XML Base | – | xml:base | Attribute |
|
Attribute | 2.19 | AnyURI | – | cite | Attribute |
|
Abstract Class | 2.19 | InlineGroup | – |
N/A
|
Abstract Type |
| RandomFloat | Class | 2.22 | Empty | – | RandomFloat.Type | ComplexType |
|
Attribute | 2.22 | Float or VariableRef | – | min | Attribute |
|
Attribute | 2.22 | Float or VariableRef | – | max | Attribute |
| RandomInteger | Class | 2.22 | Empty | – | RandomFloat.Type | ComplexType |
|
Attribute | 2.22 | Integer or VariableRef | – | min | Attribute |
|
Attribute | 2.22 | Integer or VariableRef | – | max | Attribute |
|
Attribute | 2.22 | Integer or VariableRef | – | step | Attribute |
| Repeat | Class | 2.22 | Repeat | – | Repeat.Type | Complextype |
|
Attribute | 2.22 | Int or Identifier | – | numberRepeats | Attribute |
|
Abstract Class | 2.21 | ExpressionGroup | – |
N/A
|
Abstract Type |
| RoundTo | Class | 2.22 | RoundTo | – | RoundTo.Type | ComplexType |
|
Attribute | 2.22 | Enumeration | – | roundingMode | Attribute |
|
Attribute | 2.22 | Integer or VariableRef | – | figures | Attribute |
|
Abstract Class | 2.22 | ExpressionGroup | – |
N/A
|
Abstract Type |
| RubricBlock | Class | 2.30 | RubricBlock | – | RubricBlock.Type | ComplexType |
|
Attribute | 2.30 | NCName | – | id | Attribute |
|
Attribute | 2.30 | List of Strings | – | class | Attribute |
|
Attribute | 2.30 | String | – | use | Attribute |
|
Attribute | 2.30 | XML Language | – | xml:lang | Attribute |
|
Attribute | 2.30 | String256 | – | label | Attribute |
|
Attribute | 2.30 | XML Base | – | xml:base | Attribute |
|
Attribute | 2.30 | Enumeration | – | view | Attribute |
|
Abstract Class | 2.30 | Flow-ContentModel | – |
N/A
|
Abstract Type |
|
Attribute | 2.30 | MathML | – | mathML | Element |
|
Attribute | 2.30 | XInclude | – | XInclude | Element |
|
Attribute | 2.30 | TemplateBlock | – | templateBlock | Element |
|
Attribute | 2.30 | TemplateInline | – | templateInline | Element |
|
Attribute | 2.30 | PrintedVariable | – | printedVariable | Element |
|
Attribute | 2.30 | StyleSheet | – | stylesheet | Element |
|
Attribute | 2.30 | APIPAccessibility | See [APIP, 12] | apipAccessibility | Element |
| RubricBlockTemplateBlock | Class | 2.30 | RubricBlock | – | RubricBlockTemplateBlock.Type | ComplexType |
|
Attribute | 2.30 | XML Base | – | xml:base | Attribute |
|
Attribute | 2.30 | NCName | – | id | Attribute |
|
Attribute | 2.30 | List of Strings | – | class | Attribute |
|
Attribute | 2.30 | XML Language | – | xml:lang | Attribute |
|
Attribute | 2.30 | String256 | – | label | Attribute |
|
Attribute | 2.30 | NCName | – | templateIdentifier | Attribute |
|
Attribute | 2.30 | NCName | – | identifier | Attribute |
|
Attribute | 2.30 | Enumeration | – | showhide | Attribute |
|
Abstract Class | 2.30 | Flow-ContentModel | – |
N/A
|
Abstract Type |
|
Attribute | 2.30 | MathML | – | mathML | Element |
|
Attribute | 2.30 | XInclude | – | XInclude | Element |
|
Attribute | 2.30 | TemplateBlock | – | templateBlock | Element |
|
Attribute | 2.30 | PrintedVariable | – | printedVariable | Element |
|
Attribute | 2.30 | StyleSheet | – | stylesheet | Element |
|
Attribute | 2.30 | APIPAccessibility | See [APIP, 12] | apipAccessibility | Element |
| RubricBlockTemplateInline | Class | 2.30 | RubricBlock | – | RubricBlockTemplateinline.Type | ComplexType |
|
Attribute | 2.30 | XML Base | – | xml:base | Attribute |
|
Attribute | 2.30 | NCName | – | id | Attribute |
|
Attribute | 2.30 | List of Strings | – | class | Attribute |
|
Attribute | 2.30 | XML Language | – | xml:lang | Attribute |
|
Attribute | 2.30 | String256 | – | label | Attribute |
|
Attribute | 2.30 | NCName | – | templateIdentifier | Attribute |
|
Attribute | 2.30 | NCName | – | identifier | Attribute |
|
Attribute | 2.30 | Enumeration | – | showhide | Attribute |
|
Abstract Class | 2.30 | Inline-ContentModel | – |
N/A
|
Abstract Type |
|
Attribute | 2.30 | MathML | – | mathML | Element |
|
Attribute | 2.30 | XInclude | – | XInclude | Element |
|
Attribute | 2.30 | TemplateInline | – | templateInline | Element |
|
Attribute | 2.30 | PrintedVariable | – | printedVariable | Element |
| SetValue | Class | 2.32 | SetValue | – | SetValue.Type | ComplexType |
|
Attribute | 2.32 | NCName | – | identifier | Attribute |
|
Abstract Class | 2.32 | ExpressionGroup | – |
N/A
|
Abstract Type |
| SimpleAssociableChoice | Class | 2.10 | SimpleAssociableChoice | SimpleAssociableChoice.Type | ComplexType | |
|
Attribute | 2.10 | NCName | – | id | Attribute |
|
Attribute | 2.10 | List of Strings | – | class | Attribute |
|
Attribute | 2.10 | XML Language | – | xml:lang | Attribute |
|
Attribute | 2.10 | String256 | – | label | Attribute |
|
Attribute | 2.10 | NCName | – | identifier | Attribute |
|
Attribute | 2.10 | Boolean | – | fixed | Attribute |
|
Attribute | 2.10 | NCName | – | templateIdentifier | Attribute |
|
Attribute | 2.10 | Enumeration | – | showHide | Attribute |
|
Attribute | 2.10 | List of Identifiers | – | matchGroup | Attribute |
|
Attribute | 2.10 | Int | – | matchMax | Attribute |
|
Attribute | 2.10 | Int | – | matchMin | Attribute |
|
Abstract Class | 2.10 | FlowStaticGroup | – |
N/A
|
Abstract Type |
| SimpleChoice | Class | 2.5 | SimpleChoice | SimpleChoice.Type | ComplexType | |
|
Attribute | 2.5 | NCName | – | id | Attribute |
|
Attribute | 2.5 | List of Strings | – | class | Attribute |
|
Attribute | 2.5 | XML Language | – | xml:lang | Attribute |
|
Attribute | 2.5 | String256 | – | label | Attribute |
|
Attribute | 2.5 | NCName | – | identifier | Attribute |
|
Attribute | 2.5 | Boolean | – | fixed | Attribute |
|
Attribute | 2.5 | NCName | – | templateIdentifier | Attribute |
|
Attribute | 2.5 | Enumeration | – | showHide | Attribute |
|
Abstract Class | 2.5 | FlowStaticGroup | – |
N/A
|
Abstract Type |
| SimpleMatchSet | Class | 2.10 | SimpleMatchSet | SimpleMatchSet.Type | ComplexType | |
|
Attribute | 2.10 | SimpleAssociableChoice | – | simpleAssociableChoice | Element |
| StatsOperator | Class | 2.22 | StatsOperator | – | StatsOperator.Type | ComplexType |
|
Attribute | 2.22 | Enumeration | – | name | Attribute |
|
Abstract Class | 2.22 | ExpressionGroup | – |
N/A
|
Abstract Type |
| StringMatch | Class | 2.22 | StringMatch | – | StringMatch | ComplexType |
|
Attribute | 2.22 | Boolean | – | caseSensitive | Attribute |
|
Attribute | 2.22 | Boolean | – | substring | Attribute |
|
Abstract Class | 2.22 | ExpressionGroup | – |
N/A
|
Abstract Type |
| Stylesheet | Class | 2.4 | Stylesheet | – | Stylesheet.Type | ComplexType |
|
Attribute | 2.4 | AnyURI | – | href | Attribute |
|
Attribute | 2.4 | NormalizedString | – | type | Attribute |
|
Attribute | 2.4 | NormalizedString | – | title | Attribute |
|
Attribute | 2.4 | NormalizedString | – | media | Attribute |
| Substring | Class | 2.21 | Substring | – | Substring.Type | ComplexType |
|
Attribute | 2.21 | Boolean | – | caseSensitive | Attribute |
|
Abstract Class | 2.21 | ExpressionGroup | – |
N/A
|
Abstract Type |
| Table | Class | 2.18 | Table | – | Table.Type | ComplexType |
|
Attribute | 2.18 | NCName | – | id | Attribute |
|
Attribute | 2.18 | List of Strings | – | class | Attribute |
|
Attribute | 2.18 | XML Language | – | xml:lang | Attribute |
|
Attribute | 2.18 | String256 | – | label | Attribute |
|
Attribute | 2.18 | XML Base | – | xmlbase | Attribute |
|
Attribute | 2.18 | String | – | summary | Attribute |
|
Attribute | 2.18 | Caption | – | caption | Element |
|
Attribute | 2.18 | Col | – | col | Element |
|
Attribute | 2.18 | ColGrouo | – | colgroup | Element |
|
Attribute | 2.18 | TablePart | – | thead | Element |
|
Attribute | 2.18 | TablePart | – | tfoot | Element |
|
Attribute | 2.18 | TablePart | – | tbody | Element |
| TablePart | Class | 2.18 | TablePart | – | TablePart.Type | ComplexType |
|
Attribute | 2.18 | NCName | – | id | Attribute |
|
Attribute | 2.18 | List of Strings | – | class | Attribute |
|
Attribute | 2.18 | XML Language | – | xml:lang | Attribute |
|
Attribute | 2.18 | String256 | – | label | Attribute |
|
Attribute | 2.18 | TR | – | tr | Attribute |
| TDH | Class | 2.18 | TDH | – | TDH.Type | ComplexType |
|
Attribute | 2.18 | NCName | – | id | Attribute |
|
Attribute | 2.18 | List of Strings | – | class | Attribute |
|
Attribute | 2.18 | XML Language | – | xml:lang | Attribute |
|
Attribute | 2.18 | String256 | – | label | Attribute |
|
Attribute | 2.18 | NCName | – | headers | Attribute |
|
Attribute | 2.18 | Enumeration | – | scope | Attribute |
|
Attribute | 2.18 | String | – | abbr | Attribute |
|
Attribute | 2.18 | String | – | axis | Attribute |
|
Attribute | 2.18 | Int | – | rowspan | Attribute |
|
Attribute | 2.18 | Int | – | colspan | Attribute |
|
Attribute | 2.18 | Enumeration | – | align | Attribute |
|
Attribute | 2.18 | Enumeration | – | valign | Attribute |
|
Abstract Class | 2.18 | FlowGroup | – |
N/A
|
Abstract Type |
| TemplateBlock | Class | 2.15 | TemplateBlock | – | TemplateBlock.Type | ComplexType |
|
Attribute | 2.15 | XML Base | – | xml:base | Attribute |
|
Attribute | 2.15 | NCName | – | id | Attribute |
|
Attribute | 2.15 | List of Strings | – | class | Attribute |
|
Attribute | 2.15 | XML Language | – | xml:lang | Attribute |
|
Attribute | 2.15 | String256 | – | label | Attribute |
|
Attribute | 2.15 | NCName | – | templateIdentifier | Attribute |
|
Attribute | 2.15 | Enumeration | – | showHide | Attribute |
|
Attribute | 2.15 | NCName | – | identifier | Attribute |
|
Abstract Class | 2.15 | Flow-ContentModel | – |
N/A
|
Abstract Type |
|
Attribute | 2.15 | MathML | – | mathML | Element |
|
Attribute | 2.15 | XInclude | – | XInclude | Element |
|
Attribute | 2.15 | TemplateInline | – | templateInline | Element |
|
Attribute | 2.15 | TemplateBlock | – | templateBlock | Element |
|
Attribute | 2.15 | FeedbackInline | – | feedbackInline | Element |
|
Attribute | 2.15 | TemplateBlockFeedbackBlock | – | feedbackBlock | Element |
|
Attribute | 2.15 | PrintedVariable | – | printedVariable | Element |
|
Attribute | 2.15 | StyleSheet | – | stylesheet | Element |
|
Attribute | 2.15 | APIPAccessibility | See [APIP, 12] | apipAccessibility | Element |
| TemplateBlockFeedbackBlock | Class | 2.15 | TemplateBlockFeedbackBlock | – | TemplateBlockFeedbackBlock.Type | ComplexType |
|
Attribute | 2.15 | NCName | – | outcomeIdentifier | Attribute |
|
Attribute | 2.15 | Enumeration | – | showHide | Attribute |
|
Attribute | 2.15 | NCName | – | identifier | Attribute |
|
Attribute | 2.15 | NCName | – | id | Attribute |
|
Attribute | 2.15 | List of Strings | – | class | Attribute |
|
Attribute | 2.15 | XML Language | – | xml:lang | Attribute |
|
Attribute | 2.15 | String256 | – | label | Attribute |
|
Attribute | 2.15 | XML Base | – | xml:base | Attribute |
|
Abstract Class | 2.15 | Flow-ContentModel | – |
N/A
|
Abstract Type |
|
Attribute | 2.15 | MathML | – | mathML | Element |
|
Attribute | 2.15 | XInclude | – | XInclude | Element |
|
Attribute | 2.15 | TemplateInline | – | templateInline | Element |
|
Attribute | 2.15 | TemplateBlock | – | templateBlock | Element |
|
Attribute | 2.15 | FeedbackInline | – | feedbackInline | Element |
|
Attribute | 2.15 | TemplateBlockFeedbackBlock | – | feedbackBlock | Element |
|
Attribute | 2.15 | PrintedVariable | – | printedVariable | Element |
|
Attribute | 2.15 | StyleSheet | – | stylesheet | Element |
|
Attribute | 2.15 | APIPAccessibility | See [APIP, 12] | apipAccessibility | Element |
| TemplateInline | Class | 2.31 | TemplateInline | – | TemplateInline.Type | ComplexType |
|
Attribute | 2.31 | XML Base | – | xml:base | Attribute |
|
Attribute | 2.15 | NCName | – | id | Attribute |
|
Attribute | 2.15 | List of Strings | – | class | Attribute |
|
Attribute | 2.15 | XML Language | – | xml:lang | Attribute |
|
Attribute | 2.15 | String256 | – | label | Attribute |
|
Attribute | 2.15 | NCName | – | templateIdentifier | Attribute |
|
Attribute | 2.15 | Enumeration | – | showHide | Attribute |
|
Attribute | 2.15 | NCName | – | identifier | Attribute |
|
Attribute | 2.24 | HotText | – | hottext | Element |
|
Attribute | 2.24 | PrintedVariable | – | printedVariable | Element |
|
Attribute | 2.24 | Gap | – | gap | Element |
|
Attribute | 2.24 | TemplateInline | – | templateInline | Element |
|
Attribute | 2.24 | FeedbackInline | – | feedbackInline | Element |
|
Attribute | 2.24 | MathML | – | mathML | Element |
|
Attribute | 2.24 | XInclude | – | XInclude | Element |
|
Abstract Class | 2.24 | Inline-ContentModel | – |
N/A
|
Abstract Type |
| TestVariables | Class | 2.22 | Empty | – | TestVariables.Type | ComplexType |
|
Attribute | 2.22 | NCName | – | sectionIdentifier | Attribute |
|
Attribute | 2.22 | List of NCName | – | includeCategory | Attribute |
|
Attribute | 2.22 | List of NCName | – | excludeCategory | Attribute |
|
Attribute | 2.22 | NCName | – | outcomeIdentifier | Attribute |
|
Attribute | 2.22 | NCName | – | weightIdentifier | Attribute |
|
Attribute | 2.2 | Enumeration | – | baseType | Attribute |
| TimeLimits | Class | 2.34 | TimeLimits | – | TimeLimits.Type | ComplexType |
|
Attribute | 2.34 | Double | – | minTime | Attribute |
|
Attribute | 2.34 | Double | – | maxTime | Attribute |
|
Attribute | 2.34 | Boolean | – | allowLateSubmission | Attribute |
| TR | Class | 2.18 | ID | – | TR.Type | ComplexType |
|
Attribute | 2.18 | NCName | – | id | Attribute |
|
Attribute | 2.18 | List of Strings | – | class | Attribute |
|
Attribute | 2.18 | XML Language | – | xml:lang | Attribute |
|
Attribute | 2.18 | String256 | – | label | Attribute |
|
Attribute | 2.18 | TDH | – | td | Element |
|
Attribute | 2.18 | TDH | – | th | Element |
| Value | Class | 2.34 | Value | – | Value.Type | ComplexType |
|
Attribute | 2.34 | NCName | – | fieldIdentifier | Attribute |
|
Attribute | 2.34 | Enumeration | – | baseType | Attribute |
| Variable | Class | 2.22 | Empty | – | Variable.Type | ComplexType |
|
Attribute | 2.22 | NCName | – | identifier | Attribute |
|
Attribute | 2.22 | NCName | – | weightIdentifier | Attribute |
| VariableMapping | Class | 2.33 | VariableMapping | – | VariableMapping.Type | ComplexType |
|
Attribute | 2.33 | NCName | – | sourceIdentifier | Attribute |
|
Attribute | 2.33 | NCName | – | targetIdentifier | Attribute |
| Weight | Class | 2.33 | Weight | – | Weight.Type | ComplexType |
|
Attribute | 2.33 | NCName | – | identifier | Attribute |
|
Attribute | 2.33 | Double | – | value | Attribute |
Table 3.6 Mapping between the PIM, PSM and XSD descriptions for the ASI abstract class data models.
| PSM Reference | PIM Reference | XSD Reference | ||||
|---|---|---|---|---|---|---|
| Name | UML Type | Figure | Type | Table | Name | Type |
| Block-ContentModel | Abstract Class | 2.16 | Block-Contentmodel | – |
N/A
|
Abstract Type |
|
Attribute | 2.16 | HTMLText | – | pre | Element |
|
Attribute | 2.16 | HTMLText | – | h1 | Element |
|
Attribute | 2.16 | HTMLText | – | h2 | Element |
|
Attribute | 2.16 | HTMLText | – | h3 | Element |
|
Attribute | 2.16 | HTMLText | – | h4 | Element |
|
Attribute | 2.16 | HTMLText | – | h5 | Element |
|
Attribute | 2.16 | HTMLText | – | h6 | Element |
|
Attribute | 2.16 | HTMLText | – | p | Element |
|
Attribute | 2.16 | HTMLText | – | address | Element |
|
Attribute | 2.16 | DL | – | dl | Element |
|
Attribute | 2.16 | OUL | – | ol | Element |
|
Attribute | 2.16 | HR | – | hr | Element |
|
Attribute | 2.16 | OUL | – | ul | Element |
|
Attribute | 2.16 | BlockQuote | – | bockquote | Element |
|
Attribute | 2.16 | Table | – | table | Element |
|
Attribute | 2.16 | Div | – | div | Element |
| BlockGroup | Abstract Class | 2.15 | BlockGroup | – |
N/A
|
Abstract Type |
|
Attribute | 2.15 | PositionObjectInteraction | – | positionObjectInteraction | Element |
|
Attribute | 2.15 | CustomInteraction | – | customInteraction | Element |
|
Attribute | 2.15 | DrawingInteraction | – | drawingInteraction | Element |
|
Attribute | 2.15 | GapMatchInteraction | – | gapMatchInteraction | Element |
|
Attribute | 2.15 | MatchInteraction | – | matchInteraction | Element |
|
Attribute | 2.15 | GraphicGapMatchInteraction | – | graphicGapMatchInteraction | Element |
|
Attribute | 2.15 | HotspotInteraction | – | hotspotInteraction | Element |
|
Attribute | 2.15 | GraphicOrderInteraction | – | graphicOrderInteraction | Element |
|
Attribute | 2.15 | SelectPointInteraction | – | selectPointInteraction | Element |
|
Attribute | 2.15 | GraphicAssociateInteraction | – | graphicAssociateInteraction | Element |
|
Attribute | 2.15 | SliderInteraction | – | sliderInteraction | Element |
|
Attribute | 2.15 | ChoiceInteraction | – | choiceInteraction | Element |
|
Attribute | 2.15 | MediaInteraction | – | mediaInteraction | Element |
|
Attribute | 2.15 | HottextInteraction | – | hottextInteraction | Element |
|
Attribute | 2.15 | OrderInteraction | – | orderInteraction | Element |
|
Attribute | 2.15 | extendedTextInteraction | – | extendedTextInteraction | Element |
|
Attribute | 2.15 | UploadInteraction | – | uploadInteraction | Element |
|
Attribute | 2.15 | AssociateInteraction | – | associateInteraction | Element |
|
Attribute | 2.15 | FeedbackBlock | – | feedbackBlock | Element |
|
Attribute | 2.15 | TemplateBlock | – | templateBlock | Element |
|
Attribute | 2.15 | InfoControl | – | infoControl | Element |
|
Attribute | 2.15 | MathML | – | mathML | Element |
|
Attribute | 2.15 | XInclude | – | XInclude | Element |
|
Abstract Class | 2.15 | Block-ContentModel | – |
N/A
|
Abstract Type |
| BlockStaticGroup | Abstract Class | 2.16 | BlockStaticGroup | – |
N/A
|
Abstract Type |
|
Attribute | 2.16 | FeedbackBlock | – | feedbackBlock | Element |
|
Attribute | 2.16 | TemplateBlock | – | templateBlock | Element |
|
Attribute | 2.16 | MathML | – | mathML | Element |
|
Attribute | 2.16 | XInclude | – | XInclude | Element |
|
Abstract Class | 2.16 | Block-ContentModel | – |
N/A
|
Abstract Type |
| ExpressionGroup | Abstract Class | 2.21 | ExpressionGroup | – |
N/A
|
Abstract Type |
|
Attribute | 2.21 | Logic1toMany | – | and | Element |
|
Attribute | 2.21 | LogicPair | – | gt | Element |
|
Attribute | 2.21 | LogicSingle | – | not | Element |
|
Attribute | 2.21 | LogicPair | – | lt | Element |
|
Attribute | 2.21 | LogicPair | – | gte | Element |
|
Attribute | 2.21 | LogicPair | – | lte | Element |
|
Attribute | 2.21 | Logic1toMany | – | or | Element |
|
Attribute | 2.21 | NumericLogic1toMany | – | sum | Element |
|
Attribute | 2.21 | LogicPair | – | durationLT | Element |
|
Attribute | 2.21 | LogicPair | – | durationGTE | Element |
|
Attribute | 2.21 | LogicPair | – | subtract | Element |
|
Attribute | 2.21 | LogicPair | – | divide | Element |
|
Attribute | 2.21 | Logic0toMany | – | multiple | Element |
|
Attribute | 2.21 | Logic0toMany | – | ordered | Element |
|
Attribute | 2.21 | CustomOperator | – | customOperator | Element |
|
Attribute | 2.21 | LogicSingle | – | random | Element |
|
Attribute | 2.21 | Number | – | numberIncorrect | Element |
|
Attribute | 2.21 | Number | – | numberCorrect | Element |
|
Attribute | 2.21 | Number | – | numberPresented | Element |
|
Attribute | 2.21 | Number | – | numberResponded | Element |
|
Attribute | 2.21 | Number | – | numberSelected | Element |
|
Attribute | 2.21 | Substring | – | substring | Element |
|
Attribute | 2.21 | EqualRounded | – | equalRounded | Element |
|
Attribute | 2.21 | Empty | – | null | Element |
|
Attribute | 2.21 | LogicPair | – | delete | Element |
|
Attribute | 2.21 | LogicPair | – | match | Element |
|
Attribute | 2.21 | Index | – | index | Element |
|
Attribute | 2.21 | LogicPair | – | power | Element |
|
Attribute | 2.21 | Equal | – | equal | Element |
|
Attribute | 2.21 | LogicPair | – | contains | Element |
|
Attribute | 2.21 | LogicSingle | – | containerSize | Element |
|
Attribute | 2.21 | Correct | – | correct | Element |
|
Attribute | 2.21 | Default | – | default | Element |
|
Attribute | 2.21 | AnyN | – | anyN | Element |
|
Attribute | 2.21 | LogicPair | – | integerDivide | Element |
|
Attribute | 2.21 | LogicPair | – | integerModulus | Element |
|
Attribute | 2.21 | LogicSingle | – | isNull | Element |
|
Attribute | 2.21 | LogicPair | – | member | Element |
|
Attribute | 2.21 | Logic1toMany | – | product | Element |
|
Attribute | 2.21 | LogicSingle | – | round | Element |
|
Attribute | 2.21 | LogicSingle | – | truncate | Element |
|
Attribute | 2.21 | FieldValue | – | fieldValue | Element |
|
Attribute | 2.21 | RandomInteger | – | randomInteger | Element |
|
Attribute | 2.21 | RandomFloat | – | randomFloat | Element |
|
Attribute | 2.21 | Variable | – | variable | Element |
|
Attribute | 2.21 | OutcomeMinMax | – | outcomeMinimum | Element |
|
Attribute | 2.21 | OutcomeMinMax | – | outcomeMaximum | Element |
|
Attribute | 2.21 | TestVariables | – | testVariables | Element |
|
Attribute | 2.21 | LogicSingle | – | integerToFloat | Element |
|
Attribute | 2.21 | Inside | – | inside | Element |
|
Attribute | 2.21 | BaseValue | – | baseValue | Element |
|
Attribute | 2.21 | PatternMatch | – | patternMatch | Element |
|
Attribute | 2.21 | MapResponse | – | mapResponsePoint | Element |
|
Attribute | 2.21 | MapResponse | – | mapResponse | Element |
|
Attribute | 2.21 | StringMatch | – | stringMatch | Element |
|
Attribute | 2.21 | Repeat | – | repeat | Element |
|
Attribute | 2.21 | RoundTo | – | roundTo | Element |
|
Attribute | 2.21 | Logic1toMany | – | lcm | Element |
|
Attribute | 2.21 | Logic1toMany | – | gcd | Element |
|
Attribute | 2.21 | Logic1toMany | – | min | Element |
|
Attribute | 2.21 | Logic1toMany | – | max | Element |
|
Attribute | 2.21 | MathConstant | – | mathConstant | Element |
|
Attribute | 2.21 | StatsOperator | – | statsOperator | Element |
|
Attribute | 2.21 | MathOperator | – | mathOperator | Element |
| Flow-ContentModel | Abstract Class | Flow-ContentModel | – |
N/A
|
Abstract Type | |
|
Attribute | 2.16 | HTMLText | – | pre | Element |
|
Attribute | 2.16 | HTMLText | – | h1 | Element |
|
Attribute | 2.16 | HTMLText | – | h2 | Element |
|
Attribute | 2.16 | HTMLText | – | h3 | Element |
|
Attribute | 2.16 | HTMLText | – | h4 | Element |
|
Attribute | 2.16 | HTMLText | – | h5 | Element |
|
Attribute | 2.16 | HTMLText | – | h6 | Element |
|
Attribute | 2.16 | HTMLText | – | p | Element |
|
Attribute | 2.16 | HTMLText | – | address | Element |
|
Attribute | 2.16 | DL | – | dl | Element |
|
Attribute | 2.16 | OUL | – | ol | Element |
|
Attribute | 2.16 | HR | – | hr | Element |
|
Attribute | 2.16 | OUL | – | ul | Element |
|
Attribute | 2.16 | BlockQuote | – | bockquote | Element |
|
Attribute | 2.16 | Table | – | table | Element |
|
Attribute | 2.16 | Div | – | div | Element |
|
Attribute | 2.16 | Img | – | img | Element |
|
Attribute | 2.16 | BR | – | br | Element |
|
Attribute | 2.16 | Object | – | object | Element |
|
Attribute | 2.16 | HTMLText | – | em | Element |
|
Attribute | 2.16 | A | – | a | Element |
|
Attribute | 2.16 | HTMLText | – | code | Element |
|
Attribute | 2.16 | HTMLText | – | span | Element |
|
Attribute | 2.16 | HTMLText | – | sub | Element |
|
Attribute | 2.16 | HTMLText | – | acronym | Element |
|
Attribute | 2.16 | HTMLText | – | big | Element |
|
Attribute | 2.16 | HTMLText | – | tt | Element |
|
Attribute | 2.16 | HTMLText | – | keyboard | Element |
|
Attribute | 2.16 | Q | – | q | Element |
|
Attribute | 2.16 | HTMLText | – | i | Element |
|
Attribute | 2.16 | HTMLText | – | dfn | Element |
|
Attribute | 2.16 | HTMLText | – | abbr | Element |
|
Attribute | 2.16 | HTMLText | – | strong | Element |
|
Attribute | 2.16 | HTMLText | – | sup | Element |
|
Attribute | 2.16 | HTMLText | – | var | Element |
|
Attribute | 2.16 | HTMLText | – | small | Element |
|
Attribute | 2.16 | HTMLText | – | samp | Element |
|
Attribute | 2.16 | HTMLText | – | b | Element |
|
Attribute | 2.16 | HTMLText | – | cite | Element |
| FlowGroup | Abstract Class | 2.24 | FlowGroup | – |
N/A
|
Abstract Type |
|
Attribute | 2.24 | PrintedVariable | – | printedVariable | Element |
|
Attribute | 2.24 | FeedbackBlock | – | feedbackBlock | Element |
|
Attribute | 2.24 | HotText | – | hottext | Element |
|
Attribute | 2.24 | FeedbackInline | – | feedbackInline | Element |
|
Attribute | 2.24 | TemplateBlock | – | templateBlock | Element |
|
Attribute | 2.24 | TemplateInline | – | templateInline | Element |
|
Attribute | 2.24 | MathML | – | mathML | Element |
|
Attribute | 2.24 | XInclude | – | XInclude | Element |
|
Attribute | 2.24 | textEntryInteraction | – | textEntryInteraction | Element |
|
Attribute | 2.24 | InlineChoiceInteraction | – | inlineChoiceInteraction | Element |
|
Attribute | 2.24 | EndAttemptInteraction | – | endAttemptInteraction | Element |
|
Attribute | 2.24 | CustomInteraction | – | customInteraction | Element |
|
Attribute | 2.24 | DrawingInteraction | – | drawingInteraction | Element |
|
Attribute | 2.24 | GapMatchInteraction | – | gapMatchInteraction | Element |
|
Attribute | 2.24 | MatchInteraction | – | matchInteraction | Element |
|
Attribute | 2.24 | GraphicGapMatchInteraction | – | graphicGapMatchInteraction | Element |
|
Attribute | 2.24 | HotspotInteraction | – | hotspotInteraction | Element |
|
Attribute | 2.24 | GraphicOrderInteraction | – | graphicOrderInteraction | Element |
|
Attribute | 2.24 | SelectPointInteraction | – | selectPointInteraction | Element |
|
Attribute | 2.24 | GraphicAssociateInteraction | – | graphicAssociateInteraction | Element |
|
Attribute | 2.24 | SliderInteraction | – | sliderInteraction | Element |
|
Attribute | 2.24 | ChoiceInteraction | – | choiceInteraction | Element |
|
Attribute | 2.24 | MediaInteraction | – | mediaInteraction | Element |
|
Attribute | 2.24 | HottextInteraction | – | hottextInteraction | Element |
|
Attribute | 2.24 | OrderInteraction | – | orderInteraction | Element |
|
Attribute | 2.24 | extendedTextInteraction | – | extendedTextInteraction | Element |
|
Attribute | 2.24 | UploadInteraction | – | uploadInteraction | Element |
|
Attribute | 2.24 | AssociateInteraction | – | associateInteraction | Element |
|
Abstract Class | 2.24 | Flow-ContentModel | – |
N/A
|
Abstract Type |
| FlowStaticGroup | Abstract Class | 2.24 | FlowStaticGroup | – |
N/A
|
Abstract Type |
|
Attribute | 2.24 | PrintedVariable | – | printedVariable | Element |
|
Attribute | 2.24 | FeedbackBlock | – | feedbackBlock | Element |
|
Attribute | 2.24 | FeedbackInline | – | feedbackInline | Element |
|
Attribute | 2.24 | TemplateBlock | – | templateBlock | Element |
|
Attribute | 2.24 | TemplateInline | – | templateInline | Element |
|
Attribute | 2.24 | MathML | – | mathML | Element |
|
Attribute | 2.24 | XInclude | – | XInclude | Element |
|
Abstract Class | 2.24 | Flow-ContentModel | – |
N/A
|
Abstract Type |
| Inline-ContentModel | Abstract Class | 2.16 | Inline-ContentModel | – |
N/A
|
Abstract Type |
|
Attribute | 2.16 | Img | – | img | Element |
|
Attribute | 2.16 | BR | – | br | Element |
|
Attribute | 2.16 | Object | – | object | Element |
|
Attribute | 2.16 | HTMLText | – | em | Element |
|
Attribute | 2.16 | A | – | a | Element |
|
Attribute | 2.16 | HTMLText | – | code | Element |
|
Attribute | 2.16 | HTMLText | – | span | Element |
|
Attribute | 2.16 | HTMLText | – | sub | Element |
|
Attribute | 2.16 | HTMLText | – | acronym | Element |
|
Attribute | 2.16 | HTMLText | – | big | Element |
|
Attribute | 2.16 | HTMLText | – | tt | Element |
|
Attribute | 2.16 | HTMLText | – | keyboard | Element |
|
Attribute | 2.16 | Q | – | q | Element |
|
Attribute | 2.16 | HTMLText | – | i | Element |
|
Attribute | 2.16 | HTMLText | – | dfn | Element |
|
Attribute | 2.16 | HTMLText | – | abbr | Element |
|
Attribute | 2.16 | HTMLText | – | strong | Element |
|
Attribute | 2.16 | HTMLText | – | sup | Element |
|
Attribute | 2.16 | HTMLText | – | var | Element |
|
Attribute | 2.16 | HTMLText | – | small | Element |
|
Attribute | 2.16 | HTMLText | – | samp | Element |
|
Attribute | 2.16 | HTMLText | – | b | Element |
|
Attribute | 2.16 | HTMLText | – | cite | Element |
| NumericExpressionGroup | Abstract Class | 2.21 | NumericExpressionGroup | – |
N/A
|
Abstract Type |
|
Attribute | 2.21 | NumericLogic1toMany | – | sum | Element |
|
Attribute | 2.21 | LogicPair | – | subtract | Element |
|
Attribute | 2.21 | LogicPair | – | divide | Element |
|
Attribute | 2.21 | Logic0toMany | – | multiple | Element |
|
Attribute | 2.21 | Logic0toMany | – | ordered | Element |
|
Attribute | 2.21 | CustomOperator | – | customOperator | Element |
|
Attribute | 2.21 | LogicSingle | – | random | Element |
|
Attribute | 2.21 | Number | – | numberIncorrect | Element |
|
Attribute | 2.21 | Number | – | numberCorrect | Element |
|
Attribute | 2.21 | Number | – | numberPresented | Element |
|
Attribute | 2.21 | Number | – | numberResponded | Element |
|
Attribute | 2.21 | Number | – | numberSelected | Element |
|
Attribute | 2.21 | Empty | – | null | Element |
|
Attribute | 2.21 | LogicPair | – | delete | Element |
|
Attribute | 2.21 | Index | – | index | Element |
|
Attribute | 2.21 | LogicPair | – | power | Element |
|
Attribute | 2.21 | LogicSingle | – | containerSize | Element |
|
Attribute | 2.21 | Correct | – | correct | Element |
|
Attribute | 2.21 | Default | – | default | Element |
|
Attribute | 2.21 | LogicPair | – | integerDivide | Element |
|
Attribute | 2.21 | LogicPair | – | integerModulus | Element |
|
Attribute | 2.21 | Logic1toMany | – | product | Element |
|
Attribute | 2.21 | LogicSingle | – | round | Element |
|
Attribute | 2.21 | LogicSingle | – | truncate | Element |
|
Attribute | 2.21 | FieldValue | – | fieldValue | Element |
|
Attribute | 2.21 | RandomInteger | – | randomInteger | Element |
|
Attribute | 2.21 | RandomFloat | – | randomFloat | Element |
|
Attribute | 2.21 | Variable | – | variable | Element |
|
Attribute | 2.21 | OutcomeMinMax | – | outcomeMinimum | Element |
|
Attribute | 2.21 | OutcomeMinMax | – | outcomeMaximum | Element |
|
Attribute | 2.21 | TestVariables | – | testVariables | Element |
|
Attribute | 2.21 | LogicSingle | – | integerToFloat | Element |
|
Attribute | 2.21 | BaseValue | – | baseValue | Element |
|
Attribute | 2.21 | MapResponse | – | mapResponsePoint | Element |
|
Attribute | 2.21 | MapResponse | – | mapResponse | Element |
|
Attribute | 2.21 | Repeat | – | repeat | Element |
|
Attribute | 2.21 | RoundTo | – | roundTo | Element |
|
Attribute | 2.21 | Logic1toMany | – | lcm | Element |
|
Attribute | 2.21 | Logic1toMany | – | gcd | Element |
|
Attribute | 2.21 | Logic1toMany | – | min | Element |
|
Attribute | 2.21 | Logic1toMany | – | max | Element |
|
Attribute | 2.21 | MathConstant | – | mathConstant | Element |
|
Attribute | 2.21 | StatsOperator | – | statsOperator | Element |
|
Attribute | 2.21 | MathOperator | – | mathOperator | Element |
3.2 Metadata Guidelines
The mapping between the PIM and PSM descriptions for the QTI Metadata is detailed in Table 3.7.
Table 3.7 Mapping between the PIM, PSM and XSD descriptions for the metadata data models.
| PSM Reference | PIM Reference | XSD Reference | ||||
|---|---|---|---|---|---|---|
| Name | UML Type | Figure | Type | Table | Name | Type |
| QTIMetadata | Class | 2.37 | QTIMetadata | – | QTIMetadata.Type | ComplexType |
|
Attribute | 2.37 | Boolean | – | itemTemplate | Element |
|
Attribute | 2.37 | Boolean | – | timeDependent | Element |
|
Attribute | 2.37 | Boolean | – | composite | Element |
|
Attribute | 2.37 | Enumeration | – | interactionType | Element |
|
Attribute | 2.37 | Enumeration | – | feedbackType | Element |
|
Attribute | 2.37 | Boolean | – | solutionAvailable | Element |
|
Attribute | 2.37 | String256 | – | toolName | Element |
|
Attribute | 2.37 | String256 | – | toolVersion | Element |
|
Attribute | 2.37 | String256 | – | toolVendor | Element |
3.3 Usage Data Guidelines
The mapping between the PIM and PSM descriptions for the QTI Usage Data is detailed in Table 3.8.
Table 3.8 Mapping between the PIM, PSM and XSD descriptions for the usagedata data models.
| PSM Reference | PIM Reference | XSD Reference | ||||
|---|---|---|---|---|---|---|
| Name | UML Type | Figure | Type | Table | Name | Type |
| UsageData | Class | 2.39 | UsageData | – | UsageData.Type | ComplexType |
|
Attribute | 2.39 | AnyURI | – | glossary | Attribute |
|
Attribute | 2.39 | OrdinaryStatistic | – | ordinaryStatistic | Element |
|
Attribute | 2.39 | CategorizedStatistic | – | categorizedStatistic | Element |
| CategorizedStatistic | Class | 2.39 | CategorizedStatistic | – | CategorizedStatistic.Type | ComplexType |
|
Attribute | 2.39 | NCName | – | name | Attribute |
|
Attribute | 2.39 | AnyURI | – | glossary | Attribute |
|
Attribute | 2.39 | AnyURI | – | context | Attribute |
|
Attribute | 2.39 | Integer | – | caseCount | Attribute |
|
Attribute | 2.39 | Double | – | stdError | Attribute |
|
Attribute | 2.39 | Double | – | stdDeviation | Attribute |
|
Attribute | 2.39 | Date | – | lastUpdated | Attribute |
|
Attribute | 2.39 | TargetObject | – | targetObject | Element |
|
Attribute | 2.39 | Mapping | – | mapping | Element |
| OrdinaryStatistic | Class | 2.39 | OrdinaryStatistic | – | OrdinaryStatistic.Type | ComplexType |
|
Attribute | 2.39 | NCName | – | name | Attribute |
|
Attribute | 2.39 | AnyURI | – | glossary | Attribute |
|
Attribute | 2.39 | AnyURI | – | context | Attribute |
|
Attribute | 2.39 | Integer | – | caseCount | Attribute |
|
Attribute | 2.39 | Double | – | stdError | Attribute |
|
Attribute | 2.39 | Double | – | stdDeviation | Attribute |
|
Attribute | 2.39 | Date | – | lastUpdated | Attribute |
|
Attribute | 2.39 | TargetObject | – | targetObject | Element |
|
Attribute | 2.39 | Value | – | value | Element |
| TargetObject | Class | 2.40 | TargetObject | – | OrdinaryStatistic.Type | ComplexType |
|
Attribute | 2.40 | String | – | name | Attribute |
|
Attribute | 2.40 | NCName | – | partIdentifier | Attribute |
| Mapping | Class | 2.40 | Mapping | – | Mapping.Type | ComplexType |
|
Attribute | 2.40 | Double | – | lowerBound | Attribute |
|
Attribute | 2.40 | Double | – | upperBound | Attribute |
|
Attribute | 2.40 | Double | – | defaultValue | Attribute |
|
Attribute | 2.40 | MapEntry | – | mapEntry | Element |
| MapEntry | Class | 2.40 | MapEntry | – | MapEntry.Type | ComplexType |
|
Attribute | 2.40 | NormalizedString | – | mapKey | Attribute |
|
Attribute | 2.40 | Double | – | mappedValue | Attribute |
|
Attribute | 2.40 | Boolean | – | caseSensitive | Attribute |
| Value | Class | 2.40 | Value | – | Value.Type | ComplexType |
|
Attribute | 2.40 | NCName | – | fieldIdentifier | Attribute |
|
Attribute | 2.40 | Enumeration | – | baseType | Attribute |
3.4 Result Reporting Guidelines
The mapping between the PIM and PSM descriptions for the QTI Result Reporting is detailed in Table 3.9.
Table 3.9 Mapping between the PIM, PSM and XSD descriptions for the result reporting data models.
| PSM Reference | PIM Reference | XSD Reference | ||||
|---|---|---|---|---|---|---|
| Name | UML Type | Figure | Type | Table | Name | Type |
| AssessmentResult | Class | 2.42 | AssessmentResult | – | AssessmentResult.Type | ComplexType |
|
Attribute | 2.42 | Context | – | context | Element |
|
Attribute | 2.42 | TestResult | – | testResult | Element |
|
Attribute | 2.42 | ItemResult | – | itemResult | Element |
| Context | Class | 2.42 | Context | – | Context.Type | ComplexType |
|
Attribute | 2.42 | NCName | – | sourcedId | Attribute |
|
Attribute | 2.42 | SessionIdentifier | – | sessionIdentifier | Element |
| SessionIdentifier | Class | 2.42 | SessionIdentifier | – | SessionIdentifier.Type | ComplexType |
|
Attribute | 2.42 | AnyURI | – | sourceID | Attribute |
|
Attribute | 2.42 | NormalizedString | – | identifier | Attribute |
| TestResult | Class | 2.42 | TestResult | – | TestResult.Type | ComplexType |
|
Attribute | 2.42 | NormalizedString | – | identifier | Attribute |
|
Attribute | 2.42 | DateTime | – | datestamp | Attribute |
|
Attribute | 2.42 | ResponseVariable | – | responseVariable | Element |
|
Attribute | 2.42 | TemplateVariable | – | templateVariable | Element |
|
Attribute | 2.42 | OutcomeVariable | – | outcomeVariable | Element |
| ResponseVariable | Class | 2.42 | ResponseVariable | – | ResponseVariable.Type | ComplexType |
|
Attribute | 2.42 | NCName | – | identifier | Attribute |
|
Attribute | 2.42 | Enumeration | – | cardinality | Attribute |
|
Attribute | 2.42 | Enumeration | – | baseType | Attribute |
|
Attribute | 2.42 | List of NCName | – | choiceSequence | Attribute |
|
Attribute | 2.42 | CorrectResponse | – | correctResponse | Element |
|
Attribute | 2.42 | CandidateResponse | – | candidateResponse | Element |
| CandidateResponse | Class | 2.42 | CandidateResponse | – | CandidateResponse.Type | ComplexType |
|
Attribute | 2.42 | Value | – | value | Element |
| CorrectResponse | Class | 2.42 | CorrectResponse | – | CorrecteResponse.Type | ComplexType |
|
Attribute | 2.40 | String | – | interpretation | Attribute |
|
Attribute | 2.42 | Value | – | value | Element |
| TemplateVariable | Class | 2.42 | TemplateVariable | – | TemplateVariable.Type | ComplexType |
|
Attribute | 2.42 | NCName | – | identifier | Attribute |
|
Attribute | 2.42 | Enumeration | – | cardinality | Attribute |
|
Attribute | 2.42 | Enumeration | – | baseType | Attribute |
|
Attribute | 2.42 | Value | – | value | Element |
| OutcomeVariable | Class | 2.42 | OutcomeVariable | – | OutcomeVariable.Type | ComplexType |
|
Attribute | 2.42 | NCName | – | identifier | Attribute |
|
Attribute | 2.42 | Enumeration | – | cardinality | Attribute |
|
Attribute | 2.42 | Enumeration | – | baseType | Attribute |
|
Attribute | 2.42 | Enumeration | – | view | Attribute |
|
Attribute | 2.42 | String | – | interpretation | Attribute |
|
Attribute | 2.42 | String | – | longInterpretation | Attribute |
|
Attribute | 2.42 | Double | – | normalMaximum | Attribute |
|
Attribute | 2.42 | Double | – | normalMiniimum | Attribute |
|
Attribute | 2.42 | Double | – | masteryValue | Attribute |
|
Attribute | 2.42 | Value | – | value | Element |
| Value | Class | 2.40 | Value | – | Value.Type | ComplexType |
|
Attribute | 2.40 | NCName | – | fieldIdentifier | Attribute |
|
Attribute | 2.40 | Enumeration | – | baseType | Attribute |
4. XSD File Documentation
The XSD file documentation has been produced by the Oxygen XML Editing tool (version 14.0).
4.1 Assessment, Section and Item XSD Documentation
Click on the Section header to access this documentation for the data model.
4.2 Metadata XSD Documentation
Click on the Section header to access this documentation for the data model.
4.3 Usage Data XSD Documentation
Click on the Section header to access this documentation for the data model.
4.4 Result Reporting XSD Documentation
Click on the Section header to access this documentation for the data model.
Appendix A - Listing of the XSDs
The XSD files are:
- QTI Assessment, Section and Item XSD – imsqti_v2p1.xsd
- QTI Metadata XSD – imsqti_metadata_v2p1.xsd
- QTI Usage Data XSD – imsqti_usagedata_v2p1.xsd
- QTI Result Reporting XSD – imsqti_result_v2p1.xsd
These file were generated by the I-BATv1.0 tool using the PSM representations described in Section 2. Documentation of the XSDs is supplied in Section 4.
About This Document
| Title | 1EdTech Question & Test Interoperability (QTI) XSD Binding |
| Editors | Colin Smythe (1EdTech) and Mark McKell (1EdTech) |
| Co-Chairs | Wilbert Kraan (JISC, UK), Jens Schwendel (BPS Bildungsportal Sachsen, GmbH, Germany) and Young Jin Kweon (KERIS, South Korea) |
| Version | 2.1 |
| Version Date | 31 August 2012 |
| Release | Final 1.0 |
| Status | Final Release |
| Summary | This document contains the description of the 1EdTech Question & Test Interoperability v2.1 XSD binding. The binding rules are given primarily in the form of an XML Schema. Four separate XSDs are described for the: Assessments, Sections and Items; QTI Metadata; Usage Data; and Results Reporting. |
| Revision Information | This version supersedes the 1EdTech Question & Test Interoperability v2.0 specification. |
| Purpose | This document is made available for adoption by the public community at large. |
| Document Location | http://www.imsglobal.org/question/qtiv2p1/imsqti_bindv2p1.html |
List of Contributors
The following individuals contributed to the development of this document:
| Name | Organization |
|---|---|
| Odette Auzende | Université Pierre et Marie Curie (France) |
| Dick Bacon | JISC/CETIS (UK) |
| Niall Barr | University of Glasgow/1EdTech (UK) |
| Lance Blackstone | Pearson (USA) |
| Jeanne Ferrante | ETS (USA) |
| Helene Giroire | Université Pierre et Marie Curie (France) |
| Pierre Gorissen | SURF (The Netherlands) |
| Regina Hoag | ETS (USA) |
| Wilbert Kraan | JISC/CETIS (UK) |
| Gopal Krishnan | Pearson (USA) |
| Young Jin Kweon | KERIS (South Korea) |
| Steve Lay | Cambridge Assessment (UK) |
| Francoise LeCalvez | Université Pierre et Marie Curie (France) |
| David McKain | JISC/CETIS (UK) |
| Mark McKell | 1EdTech (USA) |
| Sue Milne | JISC/CETIS (UK) |
| Jens Schwendel | BPS Bildungsportal Sachsen GmbH (Germany) |
| Graham Smith | JISC/CETIS (UK) |
| Colin Smythe | 1EdTech (UK) |
| Yvonne Winkelmann | BPS Bildungsportal Sachsen GmbH (Germany) |
| Rowin Young | JISC/CETIS (UK) |
Revision History
| Version No. | Release Date | Comments |
|---|---|---|
| Final Release 1.0 | 31 August 2012 | The first formal release of the Final Release version of this document. |
1EdTech Consortium, Inc. (“1EdTech”) is publishing the information contained in this document (“Specification”) for purposes of scientific, experimental, and scholarly collaboration only.
1EdTech makes no warranty or representation regarding the accuracy or completeness of the Specification.
This material is provided on an “As Is” and “As Available” basis.
The Specification is at all times subject to change and revision without notice.
It is your sole responsibility to evaluate the usefulness, accuracy, and completeness of the Specification as it relates to you.
1EdTech would appreciate receiving your comments and suggestions.
Please contact 1EdTech through our website at http://www.imsglobal.org
Please refer to Document Name: 1EdTech QTI v2.1 XSD Binding Final Release v1.0
Date: 31 August 2012.

